Base (always ticked) Flashcards

(74 cards)

1
Q
A
How well did you know this?
1
Not at all
2
3
4
5
Perfectly
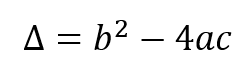
2
Q

Consider two linear equations.
If the gradient of 2 equations is the same but they have different y-intercepts, how many solutions do they have?

A

0

How well did you know this?
1
Not at all
2
3
4
5
Perfectly
3
Q

show f(x) when reflected in the vertical axis

A

f(-x)

How well did you know this?
1
Not at all
2
3
4
5
Perfectly
4
Q

Consider two linear equations.
If the gradients of the 2 equations are different, how many solutions do they have?

A

1

How well did you know this?
1
Not at all
2
3
4
5
Perfectly
5
Q

value of discriminant when no solution

A

< 0

less than 0

How well did you know this?
1
Not at all
2
3
4
5
Perfectly
6
Q

State the rule for the function

A
How well did you know this?
1
Not at all
2
3
4
5
Perfectly
7
Q
A
How well did you know this?
1
Not at all
2
3
4
5
Perfectly
8
Q

state the expression for the axis of symmetry

A
How well did you know this?
1
Not at all
2
3
4
5
Perfectly
9
Q
A
How well did you know this?
1
Not at all
2
3
4
5
Perfectly
10
Q
A
How well did you know this?
1
Not at all
2
3
4
5
Perfectly
11
Q

log(a)-log(b)

A
How well did you know this?
1
Not at all
2
3
4
5
Perfectly
12
Q

How does the domain of the inverse relate to the original function?

A

It is equivalent to the range.

How well did you know this?
1
Not at all
2
3
4
5
Perfectly
13
Q

formula for the discriminant

A
How well did you know this?
1
Not at all
2
3
4
5
Perfectly
14
Q
A
How well did you know this?
1
Not at all
2
3
4
5
Perfectly
15
Q

log(1)

A

0

How well did you know this?
1
Not at all
2
3
4
5
Perfectly
16
Q

Formula for completing the square

A
How well did you know this?
1
Not at all
2
3
4
5
Perfectly
17
Q
A
How well did you know this?
1
Not at all
2
3
4
5
Perfectly
18
Q

show f(x) when dilated by a factor of a from the horizontal axis

A

af(x)

How well did you know this?
1
Not at all
2
3
4
5
Perfectly
19
Q
A
How well did you know this?
1
Not at all
2
3
4
5
Perfectly
20
Q
A
How well did you know this?
1
Not at all
2
3
4
5
Perfectly
21
Q
A
How well did you know this?
1
Not at all
2
3
4
5
Perfectly
22
Q

State the rule for the function

A

Graph of y=a^x where a>0

How well did you know this?
1
Not at all
2
3
4
5
Perfectly
23
Q
A
How well did you know this?
1
Not at all
2
3
4
5
Perfectly
24
Q

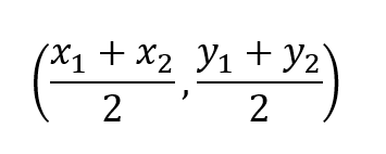
state the formula for finding the midpoint of two coordinates

A
How well did you know this?
1
Not at all
2
3
4
5
Perfectly
25
26
27
28
State the rule for the function
29
show f(x) when dilated by a factor of a from the vertical axis
f(x/a)
30
31
32
value of discriminant when 2 solutions
> 0 | greater than 0
33
34
Consider two linear equations. If the gradient of 2 the equations is the same and the y-int is the same, how many solutions do they have?
infinite
35
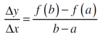
Formula for finding the equation of a straight line (linear function)
36
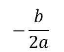
State the Quadratic formula
37
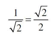
# using log laws...
38
show f(x) when translated k units in the positive direction of the vertical axis.
f(x)+k
39
40
Formula for finding the distance between two points ("the distance formula")
41
show f(x) when translated h units in the positive direction of the horizontal axis.
f(x-h)
42
value of discriminant when 1 solution
= 0
43
44
45
show f(x) when reflected in the horizontal axis
-f(x)
46
# using log laws...
47
# using log laws...
48
49
50
What kind of function can you use the discriminant with?
Quadratic | The discriminant ONLY works with quadratic equations
51
WHY would you use the discriminant?
To find the number of solutions to a quadratic equation
52
Annotation for "maximum" in a question
53
Annotation for "minimum" in a question
54
Annotation for "Independent" in a probability question
Pr(A)* Pr(B)=Pr(AnB)
55
56
state the formula for the discriminant
57
58
59
State the rule for the function
60
How does the domain of the inverse relate to the original function?
It is equivalent to the range.
61
## Footnote Note, same rough shape for the graph of any function y=x^(1/even positive integer) eg: x^1/2, x^1/4, x^1/6...
62
## Footnote Note, same ROUGH shape for the graph of any function y=1/x^(odd integer >1) eg: 1/x^(3), 1/x^(5), 1/x^(7)...
63
## Footnote Note, same ROUGH shape for the graph of any function y=1/x^(even integer >1) eg: 1/x^2, 1/x^4, 1/x^6...
64
Formula for completing the square
65
domain of an inverse function =
range of the original function
66
range of an inverse function =
domain of the original function
67
"f(x) has an inverse" means...
f(x) is a one-to-one function | "one to one" is your annotation if this comes up in a question
68
69
Write in interval notation: R+
(0,ထ) | does NOT include 0
70
Write in interval notation: R-
(–ထ, 0)
71
What does "continuous" mean, in terms of the *values* related to the function
y value on LHS = y value on RHS or f(x) value on LHS = f(x) value on RHS (use a limit on one/both sides where undefined)
72
## Footnote asymptotes at x=0 and y=0
73
74