Binomial Theorem Flashcards

(16 cards)

1
Q
A
How well did you know this?
1
Not at all
2
3
4
5
Perfectly
2
Q
A
How well did you know this?
1
Not at all
2
3
4
5
Perfectly
3
Q
A
How well did you know this?
1
Not at all
2
3
4
5
Perfectly
4
Q
A
How well did you know this?
1
Not at all
2
3
4
5
Perfectly
5
Q

nCr when n,r taken out for summation

A
How well did you know this?
1
Not at all
2
3
4
5
Perfectly
6
Q

numerically greatest term formula and concept

A
How well did you know this?
1
Not at all
2
3
4
5
Perfectly
7
Q

Middle term if n=odd

A
How well did you know this?
1
Not at all
2
3
4
5
Perfectly
8
Q

Middle term if n=even

A
How well did you know this?
1
Not at all
2
3
4
5
Perfectly
9
Q

what should be the approach for these type of q

A
How well did you know this?
1
Not at all
2
3
4
5
Perfectly
10
Q

shortcut for this

A
How well did you know this?
1
Not at all
2
3
4
5
Perfectly
11
Q

expand these

A
How well did you know this?
1
Not at all
2
3
4
5
Perfectly
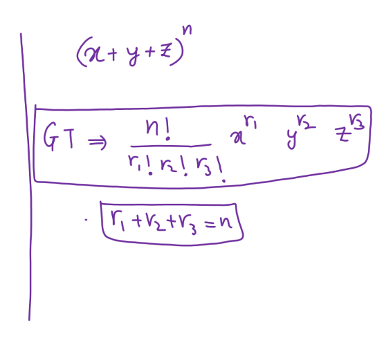
12
Q

Multinomial Binomial Theorem

A
How well did you know this?
1
Not at all
2
3
4
5
Perfectly
13
Q

Multinomial theorem eg

A
How well did you know this?
1
Not at all
2
3
4
5
Perfectly
14
Q

what should be kept in mind while these questions

A

the value of y should not be less than 2 as the OG y is 2+…..

How well did you know this?
1
Not at all
2
3
4
5
Perfectly
15
Q

what should be the approach for these kind of problems

A

write the ratios in this forms and find r and n

How well did you know this?
1
Not at all
2
3
4
5
Perfectly
16
Q

whats the approach for these of questions