back
front
Its fixed
<p>What is a alditol ? A deoxy sugar ?</p>
<p>When the aldehyde group of an aldose is reduced to an alcohol, its considered alditol. * A deoxy sugar on the other hand contains a hydrogen that replaces a hydroxyl group on the sugar</p>

Its fixed
What are monosaccharides ? Trioses ?
The most basic structural units, and the simplest one contains three carbon atoms called trioses.
Its fixed
What are carbohydrates called with four, five and six carbon atoms ?
Its fixed
What are aldoses ? ketoses ? Basic structure of monosaccharide?
Aldoses is when carbohydrates contain a aldehyde group. And Ketoses contain a ketone group ( check back in the posters)
Its fixed
<p>What are optical isomers ? Enantiomers ?</p>
<p>Also called stereoisomers, they are compounds that have the same chemical formula , these molecules differ from one another only in terms of the spatial arrangement of their component atoms. * A special isomerism exists between stereoisomers that are non identical and nonsuperimposable mirror images of each other which are called Enantiomers. {{3 1 0.png}}</p>

Its fixed
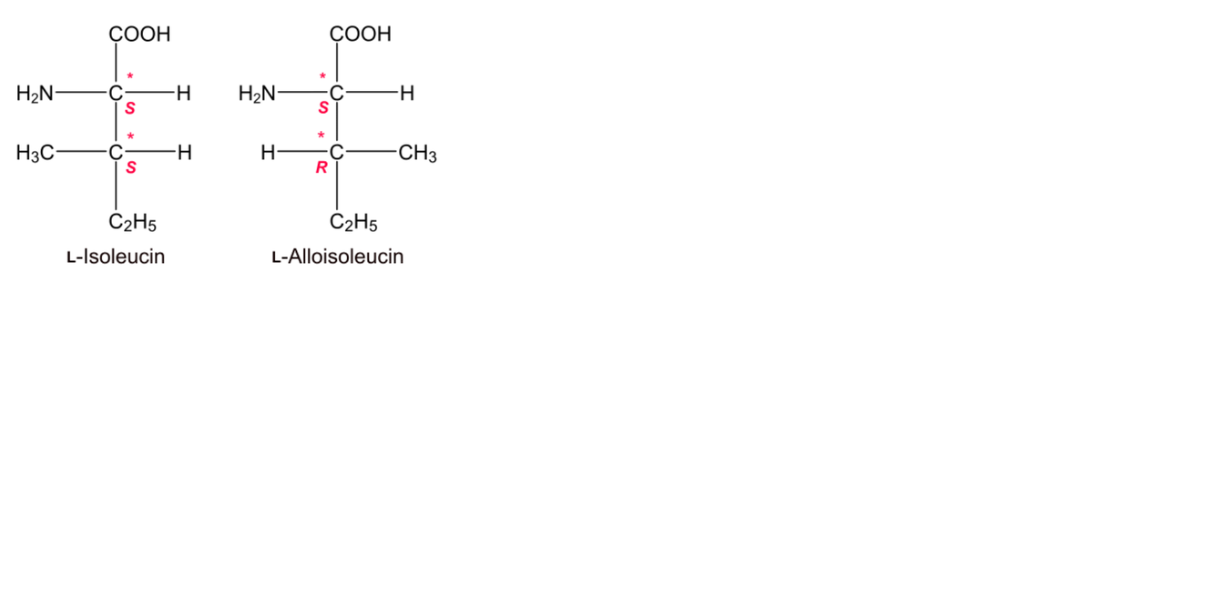
<p>What are the three types of stereoisomers ?</p>
<p>The same sugars in different optical families (d-glucose and L-glucose) such as Enantiomers Two sugars that are in the same family (both are either Ketoses or aldoses and have the same number of carbons) that are not identical and are not mirror images of each other are diastereoisomers (refer back to poster page) A special subtype of diastereoisomers are those that differ in configuration at exactly at one chiral center. These are defined as epimers such as example below {{4 1 0.png}}</p>

Its fixed
<p>What is hemiacetals ? hemiketals ?</p>
<p>They can undergo intermolecular reactions to form cyclic form. Its an organic compound usually formed as an intermediate product formed from aldoses. * Hemiketals comes from ketone {{5 1 0.png}}</p>

Its fixed
<p>Pyranose ? Furanose rings ?</p>
<p>Due to ring strain, the only cyclic molecules that are stable in solution are six membered --pyranose or five membered --furanose * Basically ring strain is when a molecule is not stable enough and deviating angle of 109.5 {{6 1 0.png}}</p>

Its fixed
<p>What is Anomeric carbon? A-anomer ? B-anomer ?</p>
<p>Whether a hemiketal or hemiacetal is formed, the carbonyl carbon becomes a chiral in the process. In glucose, the a-anomer has the OH group of C-1 trans to the -CH2OH substiuent (axial and down) The b-anomer has the OH group of C-1 cis to the -CH2OH substituent (equatorial and up)</p>
<p></p>
<p></p>

Its fixed
What is Haworth projection?
A useful method for describing the three dimensional conformation of cyclic structures. Haworth projections depict cyclic sugars as planar five or six membered rings with the top and bottom faces of the ring nearly perpendicular to the page.
Its fixed
<p>What is mutarotation ?</p>
<p>The spontaneous change of configuration about C-1 (a-anomer) which occurs more rapidly when the reaction is catalyzed with an acid or base. Mutarotation results in a mixture that contains both a- and b-anomers at equilibrium concentrations (for glucose : 36% a, 64% b). The a-anomeric configuration is less favored because the hydroxyl group of the anomeric carbon is axial adding to the steric strain of the molecule.</p>
<p></p>

Its fixed
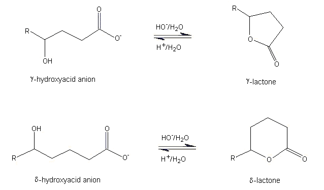
<p>What is a Lactone?</p>
<p>When the aldoses in question is in ring form, oxidation yields that lactone instead- a cyclic ester with a carbonyl group persisting on the anomeriotic carbon. (look in the posters)</p>

Its fixed
<p>Tautomerization ? Enol ?</p>
<p>It refers to the rearrangement of bonds in a compound, usually by moving a hydrogen and forming a double bond. In this case, the ketone group picks up a hydrogen while the double bond is moved between adjacent carbons, resulting in a Enol * Enol is a compound with a double bond and an alcohol group {{11 0 0.png}}</p>

Its fixed
<p>What is esterification ?</p>
<p>Its similar to the phosphorylation of glucose in which a phosphate ester is formed. Phosphorylation of glucose is extremely important in the metabolic reaction of glycolysis in which a phosphate group is transferred from ATP to glucose, thus phosophorylating glucose while forming ADP. (check the posters)</p>

Its fixed
What are actetals ? Glycosidic bonds ?
When hemiacetals react with alcohols–The anomeric hydroxyl group is transformed into an alkoxy group, yielding a mixture of a- and b- actetals (with water as a leaving group). The resulting carbon-oxygen (C-O) bonds are called glycosidic bonds and the actetals are formed as glycosides.
What are furanosides ? Pyranosides ?
Glycosides derived from furanose rings are referred as the furanosides And those derived from pyranose rings are (you know what) also check the posters!
* Also note that glycosidic formation is a dehydration reaction; thus breaking a glycosidic bond requires hydrolysis
<p>From a metabolic standpoint, does it make sense for carbohydrates to get oxidized or reduced?</p>
<p>Carbohydrates gets oxidized while reducing other groups, this is the because aerobic metabolism requires reduced forms of electron carriers to facilitate processes such as oxidative phosphorylation. Because Carbohydrates are a primary energy source they are oxidized. {{15 0 0.png}}</p>

Explain the difference between esterification and glycosidic formation ?
Esterification is the reaction by which a hydroxyl group reacts with either the carboxylic acid or a carboxylic acid derivative to form an ester. Glycoside formation refers to the reaction between an alcohol and a hemiacetal (or hemiketal) group on a sugar to yield an alkoxy group.
<p>What are the 3 most important sugars that are disacharrides ?</p>
<p>* Sucrose * Maltose * Lactose * These disacharrides(Glycosidic bonds formed between hydroxyl groups of two monosacharrides) {{17 1 0.png}}</p>

What are polysaccharides ?
Long chains of monosaccharide linked together by glycosidic bonds. While glucose is the most frequently encountered monosaccharide, it is not the only one.
What is a homopolysaccharide ? heteropolysaccharide? And what are the three most important biological polysaccharide?
A polysaccharide composed entirely of glucose (or any other monosaccharide) is referred as the homopolysaccharide
Can we humans digest cellulose ?
Since cellulose is the main structural component of plants, we are not able to digest the cellulose because we lack the cellulase enzyme responsible for hydrolyzing cellulose to glucose monomers; in fact, humans can not digest any b-linked sugars (look at the poster)
What are starches ? Amylose ? amylopectin ?
They are polysacharrides that more digestible by humans because they are linked a-d-glucose monomers. Look at the posters
What is amylose degraded into ? Also what can you tell us more about amylopectin ?
Its degraded into a- amylase and b-amylase . * B-amylase cleaves amylose at the reducing end of the polymer (the end with free anomeric carbon) to yield Maltose. * While the a-amylase cleaves randomly along the chain to yield shorter polysaccharide chains, Maltose and glucose. Also amylopectin is highly branched, debranching enzymes degrade the polysaccharide chain. * This bottom illustration is for b-amylase {{22 2 0.png}}Also for a-amylase this is the illustration ----{{22 2 1.png}}
What are monosaccharides ? Aldonic acids ? Reducing sugar ?
Contain alcohols with either aldehyde or ketone. As such these functional groups undergo the same reactions that they do when present in other compounds. Just like other aldehyde, they can be oxidized to carboxylic acids; these oxidized aldoses are called aldonic acids. Because aldoses can be oxidized they are considered reducing agents. Any monosaccharide with a hemiacetal ring is considered a reducing sugar . {{29 1 0.png}}