Bioestatística Flashcards

(62 cards)

1
Q

O que a epidemiologia estuda?

A

Distribuição e determinantes de frequência de doenças nas populações humanas, propondo medidas de prevenção, controle e erradicação de doenças a partir disso

How well did you know this?
1
Not at all
2
3
4
5
Perfectly
2
Q

O que é a estatística?

A

Ciência de coletar, sintetizar e analisar dados - uso do raciocínio probabilístico (previsibilidade das ocorrências)

How well did you know this?
1
Not at all
2
3
4
5
Perfectly
3
Q

Quais as etapas para o início da realização de uma pesquisa? (5)

A

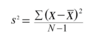
Definição de objetivos do estudo
Revisão do tema
Definição de uma pergunta de pesquisa bem delimitada
Escolha do desenho de estudo
Definição de outros métodos de pesquisa

How well did you know this?
1
Not at all
2
3
4
5
Perfectly
4
Q

O que faz a estatística descritiva?

A

Resumo e apresentação de dados

How well did you know this?
1
Not at all
2
3
4
5
Perfectly
5
Q

O que faz a estatística inferencial?

A

Conclusão sobre conjuntos maiores (população) quando apenas parte desse conjunto (amostra) foi estudada

How well did you know this?
1
Not at all
2
3
4
5
Perfectly
6
Q

O que faz a bioestatística?

A

Aplicação de métodos estatísticos para solução de problemas biológicos

How well did you know this?
1
Not at all
2
3
4
5
Perfectly
7
Q

O que é unidade de uma pesquisa e quais seus tipos (2)?

A

Unidade é o que está sendo estudado Ex: pessoa, setor censitário, município, etc

Pode ser experimental (quando sofre intervenção) ou observacional (quando não sofre intervenção)

How well did you know this?
1
Not at all
2
3
4
5
Perfectly
8
Q

O que são dados?

A

Informações (numéricas ou não) obtidas de uma unidade de pesquisa

How well did you know this?
1
Not at all
2
3
4
5
Perfectly
9
Q

O que são dados primários e dados secundários?

A

Primários: coletados diretamente das unidades de pesquisa
Secundários: coletados de registros já existentes

How well did you know this?
1
Not at all
2
3
4
5
Perfectly
10
Q

O que é variável?

A

Dados que variam entre as unidades

How well did you know this?
1
Not at all
2
3
4
5
Perfectly
11
Q

Quais são os tipo (2) e subtipos (4) de variáveis?

A

Quantitativas: discretas e contínuas
Qualitativas/categóricas: nominais e ordinais

How well did you know this?
1
Not at all
2
3
4
5
Perfectly
12
Q

O que são variáveis dependentes e independentes?

A

Dependentes: relacionadas ao desfecho - essenciais
Independentes: outros dados não essenciais

How well did you know this?
1
Not at all
2
3
4
5
Perfectly
13
Q

O que são variáveis de exposição, desfecho e confusão?

A

Exposição: fatores de risco, proteção ou associados
Desfecho: resultado/foco do estudo
Confusão: fatores associados ao desfecho - análise deve ser ajustada a partir deles

How well did you know this?
1
Not at all
2
3
4
5
Perfectly
14
Q

O que é população/universo?

A

Conjunto de unidades que apresentam uma ou mais características em comum, mas não necessariamente o mesmo desfecho

How well did you know this?
1
Not at all
2
3
4
5
Perfectly
15
Q

O que é amostra?

A

Qualquer fração de uma determinada população

How well did you know this?
1
Not at all
2
3
4
5
Perfectly
16
Q

Quando uma amostra é considerada boa?

A

Quando ela é representativa da população de origem, ou seja, quando ela possui as mesmas características

How well did you know this?
1
Not at all
2
3
4
5
Perfectly
17
Q

Como pode ser a seleção de uma amostra e qual o tipo mais adequado?

A

Probabilística: todas unidades da população possuem a mesma probabilidade de fazer parte da amostra
Não probabilística/de conveniência

A mais adequada é a amostra probabilística, pois não possui viés de seleção

How well did you know this?
1
Not at all
2
3
4
5
Perfectly
18
Q

Qual etapa é essencial antes da realização de análise e síntese de dados de um estudo?

A

Limpeza dos dados (checagem e, se possível, correção de variáveis discrepantes)

How well did you know this?
1
Not at all
2
3
4
5
Perfectly
19
Q

Como deve ser o título de uma tabela ou gráfico?

A

Deve conter informações sobre o que, com quem, onde e quando dos dados contidos
Além disso, devem estar acima de tabelas e abaixo de figuras e gráficos

How well did you know this?
1
Not at all
2
3
4
5
Perfectly
20
Q

Para que tipo de variáveis deve ser utilizado o gráfico de barras verticais?

A

Qualitativas - demonstrando sua frequência absoluta ou sua frequência relativa

How well did you know this?
1
Not at all
2
3
4
5
Perfectly
21
Q

Para que tipo de variáveis deve ser utilizada a tabela?

A

Variáveis qualitativas

How well did you know this?
1
Not at all
2
3
4
5
Perfectly
22
Q

Para que tipo de variáveis deve ser utilizado o gráfico de setores/pie chart?

A

Variáveis qualitativas cujas frequências relativas resultam em 100% de frequência absoluta

How well did you know this?
1
Not at all
2
3
4
5
Perfectly
23
Q

Para que tipo de variáveis deve ser utilizado o histograma?

A

Variáveis qualitativas contínuas

How well did you know this?
1
Not at all
2
3
4
5
Perfectly
24
Q

Para que tipo de variáveis deve ser utilizado o gráfico de dispersão?

A

Associação entre duas variáveis quantitativas

How well did you know this?
1
Not at all
2
3
4
5
Perfectly
25
Para que tipo de variáveis deve ser utilizado o diagrama de caixas/box plot?
Variáveis quantitativas que não têm uma distribuição normal
26
Para que são utilizadas as medidas de tendência central e de dispersão?
Avaliação de variáveis quantitativas
27
Quais são e o que são as medidas de tendência central? (3)
Média: soma de todos dados/número de observações Mediana: valor que divide uma série de dados em duas metades iguais (percentil 50%) Moda: valor que mais se repete
28
Por que é importante para a análise de dados saber se eles têm ou não uma distribuição normal?
Para saber qual teste estatístico será feito para a sua análise
29
O que indicam as medidas de dispersão/de variabilidade?
O quanto a amostra varia
30
Quais são as medidas de dispersão? (4)
Amplitude de variação Variância Desvio padrão Amplitude entre quartis
31
O que é a amplitude de variação?
Diferença entre valores extremos - quanto maior a amplitude, maior é a variação da amostra
32
O que é variância?
Soma dos quadrados dos desvios de cada valor em relação à média/número de observações Difícil interpretação - usada apenas para conseguir o desvio padrão
33
O que é o desvio padrão?
Raiz quadrada positiva da variância Utilizado para interpretar variáveis qualitativas com distribuição normal
34
O que é amplitude entre quartis?
Quartis: dividem série ordenada em 4 grupos (25% das observações em cada grupo) - Q1, Q2 (mediana), Q3 e Q4 Permite avaliar a variação dos dados
35
Como podem ser classificadas as distribuições de variáveis? (3)
Simétrica ou assimétrica Contínua ou descontínua Unimodal, bimodal ou polimodal
36
O que é uma curva normal?
Curva em formato de sino que apresenta valores centrais que são mais frequentes e valores extremos que são mais raros
37
Verdadeiro ou falso: a distribuição normal de variáveis não se refere apenas às variáveis relacionadas com normalidade
VERDADEIRO. Há variáveis “fora da normalidade” que tem distribuição normal Ex: peso em pessoas com artrite reumatoide forma uma curva normal
38
Quais as propriedades de uma curva normal/de Gauss? (8)
Pode ser observada em gráficos ou pelo teste de Kolmogorov-Smirnoff Formato de sino Curva simétrica em relação à média Média, mediana e moda coincidentes Área sobre a curva totaliza 100% da amostra Entre média +/- DP = 68% da amostra Entre média +/- 2DP = 95% da amostra Entre média +/- 3DP = 99,7% da amostra
39
Verdadeiro ou falso: há pessoas que possuem variáveis de valores extremos de forma fisiológica, essas são consideradas “outliers”
VERDADEIRO. Outliers possuem valores extremos de variável em condições normais Ex: pode haver um indivíduo que possui 40 de glicemia sem nenhuma condição patológica associada
40
Quais medidas de posição e dispersão são utilizadas para variáveis com distribuição simétrica?
Medida de posição = média Medida de dispersão = desvio padrão
41
Quais medidas de posição e dispersão são utilizadas para variáveis com distribuição assimétrica?
Medida de posição = mediana Medida de dispersão = intervalo interquartílico
42
Verdadeiro ou falso: a bioestatística inferencial é utilizada para checar se os resultados encontrados em uma amostra são válidos para sua população de origem
VERDADEIRO. A bioestatística inferencial é utilizada para checar se a variabilidade de uma amostra é correspondente à sua população de origem
43
O que é a probabilidade de um evento e para que ela é utilizada?
Quantidade de sucesso/quantidade de fracasso Ou seja, é a chance de um evento acontecer, sendo ultimada para determinar as escolhas a partir de risco
44
Verdadeiro ou falso: a medicina utiliza a probabilidade para tomada de decisões, visto que os eventos são incertos. Mas, é importante considerar que a probabilidade é feita a partir de dados prévios populacionais, ou seja, nem sempre são válidos para um indivíduo
VERDADEIRO. A probabilidade ajuda na tomada de decisão a partir da medida de riscos e benefícios, mas é sempre baseada em dados populacionais, o que significa que ela não é uma certeza individual
45
O que é erro?
Variação aleatória e indeterminada, resulta da dispersão inerente de qualquer medida Pode ser controlado estatisticamente, mas está sempre presente, principalmente em amostras pequenas
46
O que é viés?
Variação sistemática/metodológica, resultante de uma distorção de uma operação realizada no estudo Pode ser corrigido pelo método
47
O que é o teorema do limite central?
Cada amostra possui uma média, desvio padrão e distribuição Em amostras normais: médias de amostras aleatórias têm distribuição normal Em amostras não normais: média de amostras grandes têm distribuição normal
48
O que é erro padrão e qual sua utilização?
Desvio padrão das médias: DP/raiz do tamanho das amostras Ou seja, quanto menor a amostra, menor o erro padrão Ele é utilizado para o cálculo do intervalo de confiança
49
O que é intervalo de confiança e quais seus limites?
Estimativa de precisão dos dados do estudo Limites = média +/- 1,96 erro padrão
50
O que significa um intervalo de confiança de 95%?
Significa que 95% das vezes a média populacional está dentro deste intervalo
51
O que é significância estatística?
Valor em que dois grupos são considerados diferentes - por convenção, foi definido que o valor de erro tolerado é de 5% Ou seja, quando dois grupos são coincidentes, eles não possuem diferença estatisticamente significante (p>0,05)
52
O que é H0 e H1?
H0 = hipótese nula - não há diferença entre grupos comparados H1 - há diferença entre os grupos comparados
53
O que é erro 1/alfa e o quanto ele é tolerado?
Erro alfa é a chance de confirmar H1 quando H0 é o real - ou seja, a chance de falar que dois grupos são diferentes quando eles são iguais p é a estimativa desse erro - máximo de 5%
54
O que significa p<0,05?
Ao dizer que H1 é real (os grupos são diferentes), há apenas 5% de chance de estar errado (H0 ser o certo)
55
O que é erro 2/beta e o quanto ele é tolerado?
Erro beta é a chance de confirmar H0 quando H1 é o real - ou seja, a chance de falar que dois grupos são iguais quando eles são diferentes Limite de 20%
56
Por que há maior tolerância para o erro beta do que para o erro alfa?
O erro alfa gera alteração de conduta (pois confirma que dois grupos são diferentes), por isso que ele é menos tolerado
57
O que define qual teste estatístico é feito em um estudo?
Os tipos de variáveis
58
Quais testes estatísticos são feitos em variáveis com distribuição normal?
Testes paramétricos
59
Quando é realizado o teste de T Student?
Variáveis qualitativas dicotômicas X variáveis quantitativas Ex: sexo X glicemia
60
Quando é realizada a correlação de Pearson/linear simples?
Variáveis quantitativas
61
Quando é realizada a regressão linear simples?
Variáveis quantitativas
62
Quando é realizado o teste do qui-quadrado?
Variáveis qualitativas (dicotômicas ou politômicas)