Biogeochemistry Practical Help Flashcards

(32 cards)

1
Q

This question is about land records in biogeochemistry.

Examine the RockEval data and associated interpretation guides.

Explaining your reasoning, comment on Total organic carbon as an indicator of petroleum source rock potential.

A
  • TOC %
  • Measures the quantity but not the quality of organic carbon in sediments or rocks
  • Minimum TOC value for an effective source rock is 0.5%
    • <0.5 Poor
    • 0.5 - 1.0 Fair
    • 1 - 2 Good
    • 2 - 4 Very good
    • 4 Excellent
How well did you know this?
1
Not at all
2
3
4
5
Perfectly
2
Q

This question is about land records in biogeochemistry.

Examine the RockEval data and associated interpretation guides.

Explaining your reasoning, comment on S1 as an indicator of petroleum source rock potential.

A
  • Represents hydrocarbons that can be thermally distilled from the rock
  • Indicates free bitumen
  • Quality values are identical to those for TOC%
    • < 0.5 Poor
    • 0.5 - 1.0 Fair
    • 1 - 2 Good
    • 2 - 4 Very good
    • 4 Excellent
How well did you know this?
1
Not at all
2
3
4
5
Perfectly
3
Q

This question is about land records in biogeochemistry.

Examine the RockEval data and associated interpretation guides.

Explaining your reasoning, comment on S2 as an indicator of petroleum source rock potential.

A
  • Represents hydrocarbons generated by thermal degredation of the kerogen
  • Indicates potential bitumen
  • Note quality values are five times those for TOC%
  • Minimum S2 value for an effective source rock is t.f. 2.5 mg/g rock.
  • Trick: divide S2 by 5 to make comparable with scale.
How well did you know this?
1
Not at all
2
3
4
5
Perfectly
4
Q

This question is about land records in biogeochemistry.

Examine the RockEval data and associated interpretation guides.

Explaining your reasoning, comment on Thickness needed for the sample to achieve a high-quality Source Potential Index

A
  • SPI is a simple method for ranking source rock productivity bc it integrates both source rock richness and thickness
  • SPI is a measure of the petroleum potential of a source rock and is best for immature rocks.
How well did you know this?
1
Not at all
2
3
4
5
Perfectly
5
Q

This question is about land records in biogeochemistry.

Examine the RockEval data and associated interpretation guides.

Explaining your reasoning, comment on S2/S3 for kerogen typing and organic source indication.

A

Classifications not given in exam!

  • > 15 = Type I
  • 15 - 10 = Type II
  • 10 - 5 = Type II/III
  • 5 - 1 = Type III
  • < 1 = Type IV
  • Always check by plotting HI on modified Van Krevelyn diagram (see figure)
How well did you know this?
1
Not at all
2
3
4
5
Perfectly
6
Q

This question is about land records in biogeochemistry.

Examine the RockEval data and associated interpretation guides.

Explaining your reasoning, comment on Tmax as a maturity indicator.

A
  • Reflects previous heat experienced by kerogen
  • Classifications not given in exam:
    • < 435 = immature
    • 435 - 445 = early mature
    • 445 - 450 = peak mature
    • 450 - 470 = late mature
    • > 470 = post mature
How well did you know this?
1
Not at all
2
3
4
5
Perfectly
7
Q

This question is about land records in biogeochemistry.

Examine the RockEval data and associated interpretation guides.

Explaining your reasoning, comment on Production index as a maturity indicator.

A
  • Reflects the ratio of generated to potential hydrocarbons
    • <0.1 = immature
    • 0.1 - 0.15 = early mature
    • 0.25-0.4 = peak mature
    • >0.4 = late mature
How well did you know this?
1
Not at all
2
3
4
5
Perfectly
8
Q

This question is about land records in biogeochemistry.

Examine the RockEval data and associated interpretation guides.

Explaining your reasoning, comment on Bitumen/TOC as a maturity indicator, commenting on whether any evidence of migrated oil exists in the sample.

A
  • Reflects the ratio of generated to potential hydrocarbons
    • <0.05 = immature
    • 0.05-0.1 = early mature
    • 0.15-0.25 = peak mature
    • > 0.25 = contaminated or migrated oil
How well did you know this?
1
Not at all
2
3
4
5
Perfectly
9
Q

This question is about land records in biogeochemistry.

Examine the RockEval data and associated interpretation guides.

Explaining your reasoning, Provide a coherent interpretation of depositional and post-burial history using the complete data set.

A

Comment on:

  • The type(s) of organic matter:
    • terrestrial/lacustrine (Type III kerogens),
    • marine (Type II kerogens),
    • algal (Type I kerogens)
  • What setting the organic matter is deposited in:
    • marine (immature PI),
    • near shore (early mature PI),
  • Oil prone (Early mature Bit/TOC), or gas prone (Peak mature Bit/TOC)?
  • Was burial great enough to generate oil (or gas if gas prone)? Look at T plotted on diagram
How well did you know this?
1
Not at all
2
3
4
5
Perfectly
10
Q

This question is about marine records in biogeochemistry.

Examine the chromatogram and biomarker ratios/abundances given below. Explaining your reasoning, comment on the significance of the values in the unknown sample:

Biodegradation.

A
  • Alkanes present = Low biodegradation, < 4 (probably this)
  • Alkanes missing & isoprenids present = Medium, < 5
  • Isoprenids missing & hopanes/steranes present = Severe, (< 8)
  • All gone = extreme (> 8)
How well did you know this?
1
Not at all
2
3
4
5
Perfectly
11
Q

This question is about marine records in biogeochemistry.

Examine the chromatogram and biomarker ratios/abundances given below. Explaining your reasoning, comment on the significance of the values in the unknown sample:

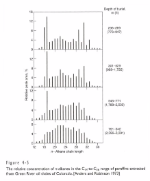
Alkane chain length.

A
  • Short chains (C15, C17, C19) = algae or bacteria
  • Long-chain n-alkanes (C25 - C35) with odd predominance i.e. C27, C29, C31 = higher plants
  • Terrigenous/aquatic ratio
    “TAR” = (C27, C29, C31) / (C15, C17, C19)
How well did you know this?
1
Not at all
2
3
4
5
Perfectly
12
Q

This question is about marine records in biogeochemistry.

Examine the chromatogram and biomarker ratios/abundances given below. Explaining your reasoning, comment on the significance of the values in the unknown sample:

Odd/even predominance.

A
  • OEP done by measuring heights of peaks and putting into the following eqns:
  • Odd to even preference (OEP1) =
  • *(C21 + 6C23 + C25) / (4C22 + 4C24)**
  • Odd to even preference (OEP2) =
  • *(C25 + 6C27 + C29) / (4C26 + 4C28)**
  • TIP: If more odd = immature,
  • If no odd dominance = mature
  • Odd molecules lost with maturation - breakdown of kerogen and flush of hydrocarbons - no odd dominance
  • Odd dominance in shallow rocks represented by dominant peaks of C15 and C17, and C29, C31 and C33.
How well did you know this?
1
Not at all
2
3
4
5
Perfectly
13
Q

This question is about marine records in biogeochemistry.

Examine the chromatogram and biomarker ratios/abundances given below. Explaining your reasoning, comment on the significance of the values in the unknown sample:

Pristane/phytane ratio.

A
  • > 1 = oxic conditions
  • < 1 = anoxic conditions
  • Phytol to phytane under reducing conditions
  • Phytol to pristance under oxidising conditions
How well did you know this?
1
Not at all
2
3
4
5
Perfectly
14
Q

This question is about marine records in biogeochemistry.

Examine the chromatogram and biomarker ratios/abundances given below. Explaining your reasoning, comment on the significance of the values in the unknown sample:

Homohopane index C35/[C31-35]).

A
  • > 0.1 = anoxic conditions
  • C35 preserved in sulfur rich, anoxic environments
How well did you know this?
1
Not at all
2
3
4
5
Perfectly
15
Q

This question is about marine records in biogeochemistry.

Examine the chromatogram and biomarker ratios/abundances given below. Explaining your reasoning, comment on the significance of the values in the unknown sample:

Trisnorhopane Ts/(Ts+Tm) ratio.

A
  • Indicates maturity ranging from 0 (immature)
  • to 0.5 (start oil window)
  • and 1.0 (wet gas window)
How well did you know this?
1
Not at all
2
3
4
5
Perfectly
16
Q

This question is about marine records in biogeochemistry.

Examine the chromatogram and biomarker ratios/abundances given below. Explaining your reasoning, comment on the significance of the values in the unknown sample:

Sterane C27, C28, C29 relative abundance.

A
  • > 50% C27 = marine organisms
  • > 40% C28 = lacustrine organisms
  • > 60% C29 = land plants
  • C27 steranes produced by algae
  • C28 prevalent in lacustrine env.s
  • C29 produced by land plants
17
Q

This question is about marine records in biogeochemistry.

Examine the chromatogram and biomarker ratios/abundances given below. Explaining your reasoning, comment on the significance of the values in the unknown sample:

Sterane C29 20S/(20S+20R) ratio.

A
  • Indicates maturity ranging from 0 (immature)
  • to 0.5 (start oil window)
18
Q

This question is about marine records in biogeochemistry.

Examine the chromatogram and biomarker ratios/abundances given below. Explaining your reasoning, comment on the significance of the values in the unknown sample:

Provide a coherent interpretation of depositional and post burial history using the complete data set.

A

Comment on:

  • Deposition environment
    • anoxic marine
    • lacustrine
  • Was source rock heated to T’s which would have generated oil? Is the source rock approaching T’s which would have generated oil.
19
Q

This question is about marine records in biogeochemistry.

Examine the chromatogram and biomarker ratios/abundances given below. Explaining your reasoning, comment on the significance of the values in the unknown sample:

How can the presense of Pr and Ph tell you something of the alkane next to it?

A

C17 next to Pr

and C18 next to Ph

20
Q

This question is about analytical procedures in biogeochemistry.

Examine the UV response, mass spectrum and IR spectrum of the unknown compound and state the molecular weight.

A
  • Identify the highest m/z fragment in the spectrum indicating the molecular ion.
  • Confirm with M+.-15 ion.
  • Is the ion odd indicating an odd number of nitrogens?
  • If even, N-free or even number of N.
21
Q

This question is about analytical procedures in biogeochemistry.

Examine the UV response, mass spectrum and IR spectrum of the unknown compound and state the Halogen content..

A
  • A+2/A ratios
  • Inspect the spectrum for the presence or absense of dramatic peaks for A+2 elements (Cl, Br, Si, O or S)
  • Loss of halogen ion = subtract A+2 mass from M+.
    • Cl 37
    • Br 81
    • Si 30
    • O 18
    • S 34
22
Q

This question is about analytical procedures in biogeochemistry.

Examine the UV response, mass spectrum and IR spectrum of the unknown compound and state the Number of rings and double bonds.

A
  • Carbon can only have 4 bonds
  1. Divide molecular weight by 14 (assuming CH2 units) to give number of C’s (divide by 13 when aromatic structure : C-H not H-C-H).
  2. Multiply number of C’s by 12 to give weight of C’s.
  3. Subtract C weight value from molecular ion to give hydrogens
  • If other elements present
    • Replace each halogen with H
    • Ignore any S and O
  • For CxHyNz use R&DB = x - ½y + ½z + 1
23
Q

This question is about analytical procedures in biogeochemistry.

Examine the UV response, mass spectrum and IR spectrum of the unknown compound and state the Conjugation.

A
  • If 2 or more bonds check UV spectrum
  • Strong response/UV absorption indicates conjugated double bonds, e.g. aromatic rings
24
Q

This question is about analytical procedures in biogeochemistry.

Examine the UV response, mass spectrum and IR spectrum of the unknown compound and state the Molecule stability.

A
  • General inspection (stable or unstable)
  • Does it have many lines indicating many easily broken bonds? (aliphatic)
  • Does it have few lines indicating very stable ions? (aromatic)
  • e.g. answer = unstable, therefore not very aromatic (or v.v.)
25
This question is about analytical procedures in biogeochemistry. Examine the UV response, mass spectrum and IR spectrum of the unknown compound and state Any important ion series.
* What characteristic ions are present? * What does the fragmentation pattern tell you about the structure of the molecule? * **_Alkanes_ m/z 57, 71, 85**, **99, 113** * **_Alkenes_ m/z 55, 69, 83, 97, 111** * **Molecular ion** M+ * **Strong** **molecular ion** (aromatic) * In unbranched alkanes/enes bonds between C atoms have similar strengths so give peaks 14 units apart
26
This question is about analytical procedures in biogeochemistry. Examine the UV response, mass spectrum and IR spectrum of the unknown compound and state Any diagnostic IR bands.
* Check your ideas with the IR spectra which is excellent for revealing the functional groups that often correspond to fragment ions. * C-O 1000-1300 * C=O 1640-1750 * **C-H _2850-3100_ (aliphatic bands)** * O-H 2500-3300 (very broad) * N-H 3200-3500 * O-H 3200-3550 (broad)
27
This question is about analytical procedures in biogeochemistry. Examine the UV response, mass spectrum and IR spectrum of the unknown compound and give a Suggested name and structure.
Prefixes: 1. meth- 2. eth- 3. prop- 4. but- 5. pent- 6. hex- 7. hept- 8. oct- 9. non- 10. dec- 11. undec- 12. dodec- 13. tridec- 14. tetradec- 15. pentadec- 16. hexadec- 17. heptadec- 18. octadec- 19. nonadec- 20. icos- * Alkane (**-ane**) *or* Alkene (**-ene**) * Alkene has one or more double bonds
28
Give the eqns for Odd to even preferences, OEP1 and OEP2.
Odd to even preference (OEP1) = **(C21 + 6C23 + C25) / (4C22 + 4C24)** Odd to even preference (OEP2) = **(C25 + 6C27 + C29) / (4C26 + 4C28)** if OEP \< 1 → Immature if OEP ~= 1 → Mature e. g. OEP = 0.86 Immature e. g. OEP = 0.94 Mature
29
State how the quality of kerogen can be used to determine the main product at peak maturity. I.e. whether the organic matter is oil- or gas-prone
* Type I, Oil * Type II, Oil * Type II/III, Oil/gas * Type III, Gas * Type IV, None
30
This question is about analytical procedures in biogeochemistry. *Examine the UV response, mass spectrum and IR spectrum of the unknown compound and state the Number of rings and double bonds.* Give the equation needed to answer this question.
For **CxHyNz** use **R&DB** = **x - ½y + ½z + 1**
31
List the hydrocarbon prefixes 11-20
11 undec- 12 dodec- 13 tridec- 14 tetradec- 15 pentadec- 16 hexadec- 17 heptadec- 18 octadec- 19 nonadec- 20 icos
32
List the hydrocarbon prefixes 1-10
1. meth- 2. eth- 3. prop- 4. but- 5. pent- 6. hex- 7. hept- 8. oct- 9. non- 10. dec-