Biomolecules Flashcards

(68 cards)

1
Q

What is the difference between DNA and RNA?

A

DNA has no -OH group on 2’ atom

How well did you know this?
1
Not at all
2
3
4
5
Perfectly
2
Q

What is a nucleotide and nucleoside difference?

A

Nucleoside - sugar and base

Nucleotide - sugar, base and connected to phosphate

How well did you know this?
1
Not at all
2
3
4
5
Perfectly
3
Q

What is an anti and syn nucleoside?

A
How well did you know this?
1
Not at all
2
3
4
5
Perfectly
4
Q

What is the α and β anomer of a nucleoside?

A
How well did you know this?
1
Not at all
2
3
4
5
Perfectly
5
Q

What is the config of the sugar ring?

A

Sugar ring not flat

CH2OH and nucleobase above sugar ring

2’ and 3’ OH groups below sugar ring

How well did you know this?
1
Not at all
2
3
4
5
Perfectly
6
Q

What are the base structures?

A
How well did you know this?
1
Not at all
2
3
4
5
Perfectly
7
Q

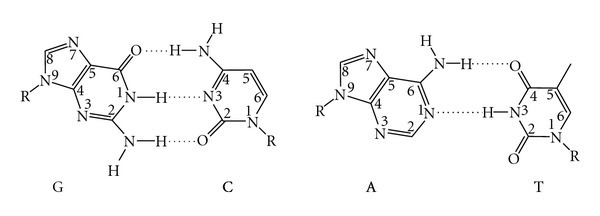
What are the watson-crick base pairs?

A
How well did you know this?
1
Not at all
2
3
4
5
Perfectly
8
Q

What is 5’ to 3’ and vice versa?

A

5’-GCAT-3’ = GCAT

How well did you know this?
1
Not at all
2
3
4
5
Perfectly
9
Q

How does antisense oligonucleotides used for therapy?

A

Antisense oligo DNA bonds to mRNA from the virus - forms duplex

Duplex bonds to RNase-H which hydrolyses mRNA to prevent translation

How well did you know this?
1
Not at all
2
3
4
5
Perfectly
10
Q

What is solid-phase synthesis of oligonucleotides?

A

Solid support on beads: controlled pore glass or polystyrene

Molecules bound to this support or resin during synthesis

How well did you know this?
1
Not at all
2
3
4
5
Perfectly
11
Q

What are the benefits of solid-phase over solution chemistry?

A

Large XS of reagents can be added to drive reactions quickly to completion

Impurities and XS reagents washed away, so less purification steps

Can be automated

How well did you know this?
1
Not at all
2
3
4
5
Perfectly
12
Q

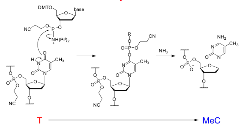
What is the direction of the phosphoramidite method?

A

3’ to 5’ direction

Takes advantage of the more reaction 5’-OH group, as not hindered

How well did you know this?
1
Not at all
2
3
4
5
Perfectly
13
Q

What are the steps of the phosphoramidite method?

A

Step 1: activation and coupling - to 5’-OH

Step 2: capping - stops unreacted 5’ from reacting

Step 3: oxidation - P(III) to P(V)

Step 4: Detritylation - for next cycle

After finished, oligonucleotide cleaved from support, deprotected, & purified

How well did you know this?
1
Not at all
2
3
4
5
Perfectly
14
Q

What is the 1st step in the phosphoramidite method?

A

Detritylation with TFA/TCA (strong acid)

How well did you know this?
1
Not at all
2
3
4
5
Perfectly
15
Q

What is useful in the detritylation step of the phosphoramidite method?

A

The cation has a delocalised structure and is coloured
Step can be monitored by UV/Vis

How well did you know this?
1
Not at all
2
3
4
5
Perfectly
16
Q

Why is tritylation required?

A

Prevents 5’-OH polymerizing as the resin is functionalization

How well did you know this?
1
Not at all
2
3
4
5
Perfectly
17
Q

What is the 2nd step in the phosphoramidite method?

A

Activation and coupling
Mix of nucleoside phosphoramidites with tetrazole (weak acid) which reacts with a nucleoside on the resin

How well did you know this?
1
Not at all
2
3
4
5
Perfectly
18
Q

What is the 3rd step in the phosphoramidite method?

A

Capping to prevent them reacting in next coupling step
Mix of acetic acid, N-methylimidazole and pyridine
Reacts with any acetitc acid formed to prevent acid-catalysed detritylation

How well did you know this?
1
Not at all
2
3
4
5
Perfectly
19
Q

What is the 4th step in the phosphoramidite method?

A

Oxn of P(III) to P(V) using iodine, water and pyridine
As unstable to acid, so must protect

How well did you know this?
1
Not at all
2
3
4
5
Perfectly
20
Q

How do you cleave oligonucleotide from support in phosphoramidite method?

A

Succinyl linker used as can be cleaved by conc aq ammonia

How well did you know this?
1
Not at all
2
3
4
5
Perfectly
21
Q

How are synthetic oligos purified?

A

Gel filtration - separates components according to size
Also HPLC purification

Impurities include truncated oligos, cleaved PG, chemically-modded bases

How well did you know this?
1
Not at all
2
3
4
5
Perfectly
22
Q

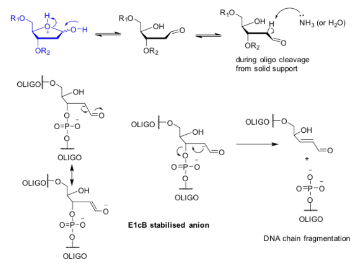
What is depurination?

A

Side reaction in oligo synthesis, loss of purine

How well did you know this?
1
Not at all
2
3
4
5
Perfectly
23
Q

What can occur after depurination?

A

DNA chain cleavage

How well did you know this?
1
Not at all
2
3
4
5
Perfectly
24
Q

What occurs in mutagenesis?

A

DNA chain grows on thymine base

How well did you know this?
1
Not at all
2
3
4
5
Perfectly
25
What is a side reaction with acrylonitrile in oligo synthesis?
Need a scavenger
26
What is the scavenger required for acrylonitrile?
Diethylamine
27
What are the steps in phosphoramidite monomer synethsis?
1) Protection of amines (not needed for T) 2) Tritylation of 5' OH 3) Protected phosphorylation of 3' OH
28
What is the 1st step of phosphoramidite monomer synthesis?
29
What is the 2nd and 3rd steps of phosphoramidite monomer synthesis?
Cannot react at 3' OH as sterically hindered
30
How are nucleotides added to the synthetic resin?
31
What are the differences of DNA and RNA synthesis?
2'-OH in RNA makes more difficult t-butyldimethylsilyl group used to protect 2'-OH group, removed using TBAF at end Longer coupling times due to steric of pg Capping reagent changed as to negate effect of acyl exchange at protected amino groups of bases
32
What occurs in RNA synthesis if 2'-OH not protected?
Backbone migration or cleavage
33
What are the steps in RNA synthesis?
1) Acylation 2) Tritylation 3) TMSCl protection of 2'-OH 4) Phosphorylation of 3'-OH 5) Deprotection of 2'-OH
34
What is the first step in RNA synthesis?
35
What are the 2nd and 3rd steps of RNA sytnthesis?
36
What is the 4th step of RNA synthesis?
37
What is epigenetics caused by?
DNA with modified nucleobases which interact with proteins to regulate gene expression
38
What are endo and exonucleases?
Endonuclease - enzyme that cleaves within dsDNA (specific to a sequence) Exonuclease - enzyme that cleaves from termini of ssDNA and/or dsDNA (normally termini specific)
39
What is DNA ligase?
Enzyme which covalently joins 5' phosphate and 3'-OH of two dsDNAs
40
What is the use of PCR?
Exponential amplification of dsDNA
41
What are the number of copies in PCR?
No of copies = 2N where N is the number of cycles (exponential)
42
What are the steps of PCR?
Deaturation (~90C) - causes H bonds to break so single stranded Annealing (~50C) - polymerase binds to new ssDNA on primers Extension (~72C) - polymerase adds nucleosides to grow complementary strand and form 2xdsDNA
43
What direction does DNA polymerase work for replication?
5' to 3' direction Active site holds new nucleosides in correct direction
44
How do proofing exonuclases work?
3' to 5' exconuclease remvoes incorrect bases at the end
45
What types of ends do endonucleases make?
Always leave a 5' phosphate and 3' hydroxyl
46
What is required for a ligase?
ATP required Enzyme joins together dsDNA/dsRNA with "sticky" duplex forming ends Can do with blunt but less efficient
47
What are the steps of ligase action?
48
How are restriction and ligation enzymes used?
Restriction enzymes cut DNA with sticky ends Fragments with matching overhangs introduced Ligase causes phosphodiester bond to be formed
49
What is a vector and the transformation process?
Vector - plasmid Transformation - insertion into bacteria Single colony of bacteria will produce a single DNA clone
50
What is polymerase chain assembly?
Larger and larger fragments of genes produced until full length template is synthesised
51
How are errors in gene synthesis corrected?
Repair enzymes: Cleave 2nd/3rd bond 3' to mismatch on both strands Single stand exonuclease then chews up overhanging ssDNA 3' to 5' Then polymerase chain assembly
52
Why are 2 different endonuclease sites used for inserting genes into vectors?
Otherwise the backbone can religate and DNA can insert in both directions
53
What is Gibson assembly?
1-step isothermal recombination of DNAs Requires exonuclease, polymerase, and a ligase No restriction sites required
54
What is the mechanism of the gibson assembly?
55
What is a problem with PCR?
Mutations are also replicated
56
What is error-prone PCR?
Use unequal dNTPs, add Mn2+, etc. Increases error rate
57
Why is directed evolution used for asymm synthesis?
When completed: * increase in yield and stereselec * reduction in waste * elimination of heavy metals * reduction in cost * avoids need for high-pressure hydrogenation equipment
58
How is mRNA synthesised?
Process: 1) Initiation - RNA polymerase binds to promoter on DNA and forms first few bonds 2) Elongation - new strand has nucleotides added to it 3) Termination
59
How can you do RNA analysis?
Relies on enzyme reverse transcriptase which synthesises a complementary DNA (cDNA) strand from RNA RNAse H degrades RNA when bound to DNA cDNA can then be amplified and analysed
60
How can you complete reverse transcription?
* Analyse mRNA using a poly-T tail, as m-RNA only has an A-tail * Random primers - used to analyse total RNA, not just mRNA * Gene-specific primers - used to analyse specific RNA sequences
61
What is Western Blotting?
Used to analyse specific proteins form a cell Can therefore detect changes in levels of specific single proteins without purification (uses antibodies)
62
How does a protein recognized?
1 antibody bonds to protein of interest 2nd recognises primary antibody and is conjugated to the enzyme Enzyme oxidises luminol and releases light via chemiluminescence
63
How does a protein recognized?
1 antibody bonds to protein of interest 2nd recognises primary antibody and is conjugated to the enzyme Enzyme oxidises luminol and releases light via chemiluminescence
64
What is the mechanism for luminol chemiliminescence?
65
What is RNA interference (RNAi)?
small strands of dsRNA containing an antisense strand complementary to a seqence in the target mRNA Then RISC binds and cleaves the target mRNA
66
How does CRISPR-Cas9 work?
Gene editing tech Breaks ds at specific place in genome by Cas9 and guide RNA (gRNA) Then knock-out or knock-in occurs
67
What is knock-out in CRISPR?
Frame-shift disrupts original gene sequence Means cannot express a protein
68
What is knock-in in CRISPR?
New sequence gives new function