Biomoleküle Flashcards

(320 cards)

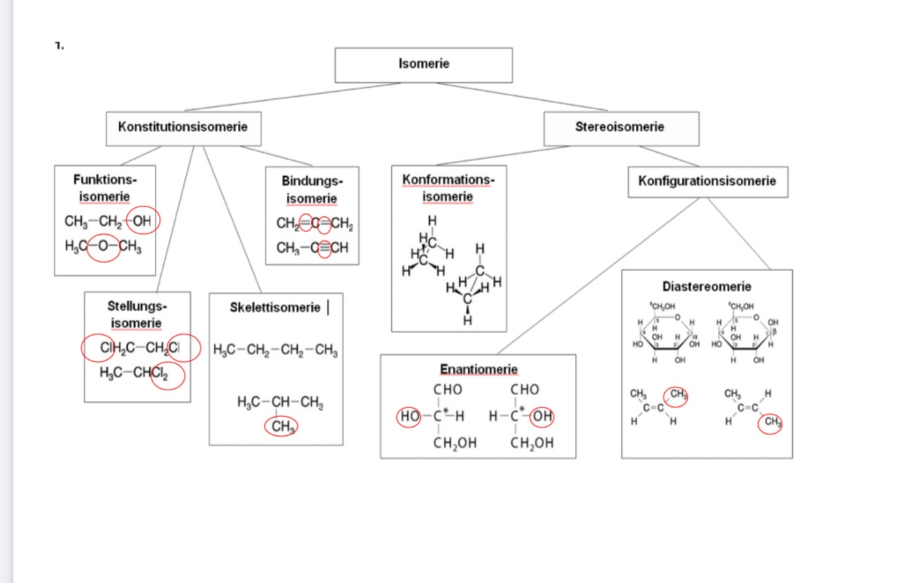
1
Q

Konstitutionsisomerie

A

Verbindungen mit gleicher Molekülformel

Unterscheideb sich in der Reiehnfolge der Verknüpfung der Atome -> ihrer Konstitution

How well did you know this?
1
Not at all
2
3
4
5
Perfectly
2
Q

Arten der Konstituitionsisomerie

A

Funktionsisomere

Skelettisomere

Stellungsisomere

Bindungs-/Valenzisomere

How well did you know this?
1
Not at all
2
3
4
5
Perfectly
3
Q

Funktionsisomere

A

Besitzen unterschiedliche funktionelle Gruppen

How well did you know this?
1
Not at all
2
3
4
5
Perfectly
4
Q

Skelettisomere

A

Haben verschieden verzweigte Kohlenstoffketten

How well did you know this?
1
Not at all
2
3
4
5
Perfectly
5
Q

Stellungsisomerie

A

Haben die gleichen funktionellen Gruppen, nur an verschiedenen Positionen

How well did you know this?
1
Not at all
2
3
4
5
Perfectly
6
Q

Bindungs-/Valenzisomere

A

Unterscheiden sich in der Anzahl und/oder der Position von Einfach- und Mehrfachbindungen

How well did you know this?
1
Not at all
2
3
4
5
Perfectly
7
Q

Stereoisomerie

A

Verbindungen mit gleicher Molekülformel und Konstitution, aber unterschiedlicher Anordnung ihrer Atome im dreidimensionalen Raum

How well did you know this?
1
Not at all
2
3
4
5
Perfectly
8
Q

Welche arten der Stereoisomerie gibt es?

A

Konformationsisomere

Konfigurationsisomere

Entatiomere

Diastereomere

How well did you know this?
1
Not at all
2
3
4
5
Perfectly
9
Q

Konfirmationsisomere

A

Verschiedene räumliche Anordnung der Atome oder Atomgruppen, können aber durch Rotation und Einfachbindungen die gleiche Struktur annehmen

How well did you know this?
1
Not at all
2
3
4
5
Perfectly
10
Q

Konfigurationsisomere

A

Lassen sich dagegen nur durch lösen von Bindungen ineinander überführen

How well did you know this?
1
Not at all
2
3
4
5
Perfectly
11
Q

Entantiomere/optische Isomere

A

Eine Art von Konfigurationsisomer

Verhalten sich wie Bild und Spiegelbild

How well did you know this?
1
Not at all
2
3
4
5
Perfectly
12
Q

Diastereoisomere

A

Eine Art von Konfigurationsisomerie

Alle Konfigurationsisomere die keine Entantiomere sind

How well did you know this?
1
Not at all
2
3
4
5
Perfectly
13
Q
A
How well did you know this?
1
Not at all
2
3
4
5
Perfectly
14
Q

Wie lassen sich Konfigurationsisomere ineinander überführen?

A

Durch das lösen von Bindungen

How well did you know this?
1
Not at all
2
3
4
5
Perfectly
15
Q

Chiralität

A

Verhalten wie Bild und Spiegelbild

„Händigkeit“

How well did you know this?
1
Not at all
2
3
4
5
Perfectly
16
Q

Eigenschaften Entantiomere

A

-Chiral

-besitzen mindestens ein asymmetrisches Kohlenstoffatom (vier verschiedene Substituenten)

How well did you know this?
1
Not at all
2
3
4
5
Perfectly
17
Q

Wie nennt man ein assymmetrisches Kohlenstoffatom auch noch?

A

Chiralitätszentrum

How well did you know this?
1
Not at all
2
3
4
5
Perfectly
18
Q

Wie kennzeichnet man das Chiralitäts zentrum?

A

Mit einem *

How well did you know this?
1
Not at all
2
3
4
5
Perfectly
19
Q

Diastereomere Eigenschaften

A

-Sind keine Entantiomere

-Besitzen mindestens 2 assymmetrische Kohlenstoffatome

How well did you know this?
1
Not at all
2
3
4
5
Perfectly
20
Q

Wie stelle ich eine Fischerprojektion auf?

A
  1. Die längste C-Kette wird beim zeichnen vertikal angeordnet
  2. Das höchst oxidierte C-Atom steht an der Spitze der längsten C Kette
  3. Alle asymmetrischen C-Atome werden (ggf. nach und nach) in die Papierebene gebracht
  4. Die Atome, die beim Zeichnen ober- oder unterhalb eines Chiralitätszentrums angeordnet sind, liegen hinter der Papierebene
  5. Die Atome die beim Zeichnen links und rechts eines Chiralitätszentrums angeodnet sind, liegen vor der Papierebene, dem Betrachter zugewandt
How well did you know this?
1
Not at all
2
3
4
5
Perfectly
21
Q

Wofür wird die Fischer Projektion gebraucht?

A

Es ist eine Möglichkeit ein Molekül so aufzuzeichnen, dass die dredimensionale STruktur erhalten bleibt, aber es auf einem flachen Blatt Papier steht

How well did you know this?
1
Not at all
2
3
4
5
Perfectly
22
Q

Was versteht FISCHER unter der D- und L-Konfiguration?

A

Beschreibt die Stellung der funktionellen Gruppe am asymmetrischen C Atom

(bei mehreren bezieht sich diese auf das unterste C Molekül)

Ist die funktionelle Gruppe links, dann liegt die L Konfiguration vor, wenn rechts dann D

How well did you know this?
1
Not at all
2
3
4
5
Perfectly
23
Q

Was ist irreführend an der generellen Darstellung einer Aminosäure als H2N-CHR-COOH ?

A

Diese ungeladene Form einer Aminosäure existiert praktisch nicht

Im festen Zustand liegen Aminosäuren als Zwitterionen vor (Aminogruppe NH+ und Carboxylathruppe COO-)

How well did you know this?
1
Not at all
2
3
4
5
Perfectly
24
Q

Wie verhalten sich Aminosäuren in Lösungen?

A

sie bilden einen ioselektrischen Punkt ( Der Punkt an dem pH(I)erreicht wird), und ebenfalls Zwitterionen

How well did you know this?
1
Not at all
2
3
4
5
Perfectly
25
Wann entsteht die Kationform der Aminosäuren
Wenn der pH Wert unter 1 fällt, dort wird die Carboylatgruppe protoniert
26
Wann bildet sich die Anionform der Aminosäuren?
Wenn der pH Wert über 1 fällt, dort wird die Ammoniumgruppe protoniert
27
Wovon hängt ab wie Aminosäuren in wässrigen Lösungen reagieren? (sauer, basisch, neutral)
An den Seitenketten (also polar und umpolar)
28
Was ist der isoelektrische Punkt?
Der pH Wert, bei dem die Konzentration des Zwitterions am höchsten ist. An diesem Punkt ist die Aminosäure wegen der starken Anziehungskräfte zwischen den Ionen am unlöslichsten
29
Aminosäure in verschiedenen Formen
30
pH Wert nach Seitenkette: -H
6
31
pH Wert nach Seitenkette: -CH2-OH
5,7
32
pH Wert nach Seitenkette: -(CH2)4-NH2
9,7
33
pH Wert nach Seitenkette: -(CH2)2-COOH
3,2
34
pH Wert nach Seitenkette: -CH3
6
35
Wie messe ich den pH Wert der wässrigen Lösung einer AS?
Jeweils eine Spargelspitze der Aminosäure in 1ml demineralisiertem Wasser lösen und dann den pH Wert der Lösung mittels Indikatoren messen Blindprobe mit Wasser durchführen
36
Welcher pH Wert ist hier zu messen?
1
37
Welcher pH Wert ist hier zu messen?
3,2
38
Welcher pH Wert ist hier zu messen?
7
39
Welcher pH Wert ist hier zu messen?
12
40
Elektronenpaarbindungen in Proteinen Beispiel
Die SH Gruppen von Cysteinbausteinen bilden unter Abspaltung von Wasserstoff eine Disulfidbrücke
41
Ionenbindungen in Proteinen Beispiel
Ammoniumgruppe und Carboxylatgruppen sind über elektrostatische Anziehung verbunden
42
Wasserstoffbindungen in Proteinen Beispiel
In der Sekunbdärstruktur: Zwischen H Atom einer NH Gruppe und dem Carboxylsauerstoffatom einer anderen Peptidbindung
43
Van Der Waals bindungen in Proteinen Beispiel
Wechselwirkung zwischen zwei umpolaren Molekülteilen (leucinreste)
44
Inwiefern beeinflusst der pH-Wert der Umgebung ein Protein?
Die Tertiärstruktur von Proteinen hängt von dem pH-Wert der Umgebung ab Ionen- und Wasserstoffbrückenbindungen ändern sich bei pH Änderungen -> evtl. Denaturierung
45
46
47
48
Was für eine Stereochemische Bindung liegt bei L- und D- Mannose vor?
Enantiomere Verhalten wie Bild und spiegelbild
49
Wie wandert eine AS in einer Gel Elektrophorese wenn ihr IEP mit dem pH übereinstimmt?
Sie bleibt am Startpunkt, da sie als Zwitterion vorliegt
50
Wie wandert eine AS in einer Gel Elektrophorese wenn ihr IEP unter dem pH der Lösung ist?
Zum Pluspol, da die AS zweifach negativ geladen ist
51
Wie wandert eine AS in einer Gel Elektrophorese wenn ihr IEP über dem pH der Lösung ist?
Zum Minuspol, da die AS zweifach positiv geladen ist
52
Allose
53
Altose
54
Glucose
55
Mannose
56
Gulose
57
Idose
58
Galactose
59
Talose
60
Aldohexosen Merksatz
ALLe ALTen Gänse Möchten Gern Im GArten Tanzen
61
Aldohexosen
62
Wie viele stereoisomere Aldohexosen gibt es?
16, da vier asymmetrischen C Atome vorhanden sind 2^4=16 Zu jedem der Diastereomere existiert ein Enantiomer der L-Reihe
63
L-(-)-Glycerinaldehyd
64
D-(+)-Erythose
65
Wie kalibriert ich das Polarimeter?
Kürette wird mit Wasser gefüllt und der Analysator auf Null gestellt -> Analysator so lange drehen bis kein Licht mehr durchdringt
66
Wann ist eine Substanz rechtsdrehend?
Wenn sie das Licht im Uhrzeigersinn dreht -> als + gekennzeichnet
67
Wann ist eine Substanz linksdrehend?
Wenn sie das Licht gegen den Uhrzeigersinn dreht -> als - gekennzeichnet
68
Welche Reaktionsgleichung liegt der Mutarotation zu Grunde?
69
Warum stellt sich der Endwert des Drehwinkels nicht auf das arithmetische Mittel der Drehwerte von alpha und beta D Glucose ein?
Im Gleichgewicht in der wässrigen Lösung sind beide Stoffe nicht in einem 1:1 Verhältnis vorhanden
70
Was bezeichnet man als Mutarotation?
Der Fakt, dass sich der Wert der spezifischen Drehung kontinuierlich ändert, bis ein Wert von 52,7 erreicht ist, wenn man alpha und beta d Glukose in Wasser löst
71
Fischer zur Haworth Projektion 1
Die Fischer Projektion wird von der senkrechten in die waagerechte gebracht Substituten die nach L zeigen zeigen nach oben, nach rechts nun nach unten
72
Fischer zur Haworth Projektion 2
Kohlenstoffatomkette wird zu einem Ring gebogen, wobei die Ausrichtung der Substituierten erhalten bleibt
73
Fischer zur Haworth Projektion 3
Damit eine Reaktion zwischen der **Carbonylgruppe des C1 Atoms und der Hydroxygruppe des C3 Atoms** möglich ist, muss die **Einfachbindung zwischen den Kohlenstoffatomen C4 und C5 gegen den Uhrzeigersinn gedreht** werden
74
Die Ringbildung erfolgt durch **nukleophile Addition** Das Sauerstoffatom der Hydroxygruppe greift nukleophil am positiv polarisierten C der Carbonylgruppe an Durch intramolekulare Protonenwanderung entsteht ein sechsgliedrigerer Ring, bei dem aus der Carbonylgruppe am C1 eine neue Hydroxygruppe entstanden ist
75
Was sind Pyranoseformen?
Sechsgliedrige Ringe
76
Was sind Furanoseringe?
Fünfgliedrige Ringe
77
Was sind Pyranosen und Furanosen?
Halbketale
78
Wodurch entsteht die Pyranoide Form?
Durch die Reaktion der Hydroxygruppe am C6 Atom mit dem carbonyl C atom der Ketogruppe am C2 Atom
79
Wodurch entsteht die furanoide Formen?
Durch die Bildung des halbketals zwischen der Hydroxygruppe am C5 Atom mit dem Carbonyl C2 Atom
80
Ergänze um alpha und beta Formen
81
Obwohl Fructose ein Keton ist, reagiert sie bei der Fehling Probe und der TOLLENS Probe positiv Der Grund ist, dass in alkalischer Lösung eine Isomerierung zwischen D-Fructose und D-Glucose stattfindet. Beschreibe dem Mechanismus der Isomerierung mit dieser Abbildung
In alkalischer Lösung steht die Kettenform der D-Fructose mit der Kettenform der D-Glucose im Gleichgewicht. Unter dem katalytischen Einfluss von Hydroxidionen kann jeweils ein Proton des C1-Atoms unter Ausbildung einer C=C Zweifachbindung abgespalten werden Dabei entsteht als instabiles Zwischenprodukt ein Endiol, das auch in der Aldehydform im Gleichgewicht steht. Die Ausbildung dieses Gleichgewichts wird auch als Keto-Endiol Tautomerie bezeichnet
82
D-Fructose und D- Glucose stehen in alkalischen Lösungen mit einem weiteren Kohlenhydrat im Gleichgewicht. Welches ist das?
D-Mannose
83
Vorkommen Glucose
Früchte, Honig, Baustein in Kohlenhydraten wie Stärke
84
Vorkommen Fructose
Früchte, Honig, Baustein in Kohlenhydraten wie Inulin
85
Name Glucose
Traubenzucker
86
Name Fructose
Fruchtzucker
87
Molekülformel Glucose
C6H12O6
88
Molekülformel Fructose
C6H12O6
89
Molare Masse Glucose
180 g*mol
90
Molare Masse Fructose
180 g*mol
91
Schmelztemperatur Glucose
146 Grad Celsius
92
Schmelztemperatur Fructose
104 Grad Celsius
93
Fehling und Tollens Probe bei Fructose und Glucose
positiv
94
Was weist eine Fehling Probe nach?
Eine Aldehyd Gruppe
95
Was weist eine Tollens Probe nach?
Aldehydnachweis
96
Welcher Zusammenhang besteht zwischen der Lage der OH Gruppen in der Fischer und Haworth Formel?
Nach rechts stehende Gruppen sind in der Haworth Formel unterhalb der Ringebene, links orientierte Gruppen liegen oberhalb der Ringebene
97
Weshalb liegen in der Ringform zwei Isomere vor? Benenne sie
Durch den Ringschluss wird das c1 Atom asymmetrisch -> dadurch sind zwei stereoisomere Moleküle möglich alpha und beta D-Glucose
98
Erläutern sie, warum die OH-Gruppe am C1 Atom reaktiver ist als die OH-Gruppen an allen anderen C-Atomen
Das C1-Atom ist in der Halbacetalform sowohl verethert als auch gleichzeitig mit einer Hydoxyform verbunden Wegen der beiden elektronegativen Substituenten ist dieses C Atom besonders reaktiv
99
Welche Aussagen kann man über die Zucker Glucose und Mannose nach dem durchführen eines Kupfersulfat, Fehling und Bromthymolblau Test treffen?
-> Glucose und Mannose besitzen mehr als 2 OH-Gruppen und eine endständige Aldehyd (CHO) Gruppe ->Eine Carboxygruppe (COOH) ist nicht vorhanden
100
Wie stehen alpha und beta Glucose in einer Lösung im Gleichgewicht?
Über die offene Aldehyd Kette
101
Wie kann man die Mutarotation beobachten?
Mit dem Polarimeter -> Änderung des Drehwinkels
102
Wie kann man alpha und Beta Form unterscheiden?
OH Gruppe am C Atom (1 oder 2) : Steht unten: alpha Steht oben:beta
103
Warum reagiert Fructose bei der Fehling und Tollensprobe positiv, wenn es doch ein Keton ist?
In alkalischer Lösung findet eine Isomerierung zwischen D-Fructose und D-Glucose stattfindet
104
Was ist das einzige physikalische Unterscheidungsmerkmal von Enantiomeren?
Die optische Aktivität der Substanzen
105
Was bedeutet Racemat?
Die Mischung von zwei Enantiomere zu gleichen Konzentrationen -> sie sind optisch inaktiv
106
Was ist die Halbacetal Bildung?
Addition eines O Atoms der Hydroxygruppe an das C-Atom der Carbonylgruppe Mit anschließender intramolekularer Protonenumlagerung
107
Was bezeichnet man als anomeres C Atom?
Durch den Ringschluss (Halbacetal Bildung) entsteht am C1 Atom ein neues Chiralitätszentrum -> hier wird zwischen alpha und beta Form unterschieden
108
Wann ist ein zucker reduzierend?
-Verfügt über eine freie anomere OH Gruppe -> das anomere C-Atom von mindestens einem Zucker befindet sich nicht in Bindung -> Dadurch ist es reaktionsfreudig
109
Was ist das anomere C Atom einer sechsgliedrigen Kette?
C1
110
Was ist das anomere C Atom einer fünfgliedrigen Kette?
C2
111
Fructopyranose
112
Fructofuranose
113
Alpha und Beta Glucose
114
Pyran
115
Pyran
116
Furan
117
Furan
118
Warum kommt es zu einer Keto Endiol Tautomerie bei den Nachweisreaktionen?
Weil die Lösung alkalisch sind
119
Beta Galactose
120
Beta Fructose
121
Saccharose ist eine Verbindung aus?
122
Lactose ist eine Verbindung aus?
123
Maltose ist eine Verbindung aus?
124
Maltose ist eine Verbindung aus?
125
126
Trehalose ist eine Verbindung aus?
127
Alpha 1 -> 2 Beta Verbindung
128
Beta 1 -> 4 Beta
129
Alpha 1 -> 4 Alpha
130
Alpha 1 -> 1 alpha
131
Halbacetalbildung 1
132
Halbacetalbildung 2
133
Halbacetalbildung 3
134
Acetalbildung 1
135
Acetalbildung 2
136
Acetalbildung 3
137
Acetalbildung 3
138
Acetalbildung 4
139
Welche Teile gibt es im Stammbaum der Aldosen?
Aldotriosen-Aldohexosen
140
Welche C Atome kann man bei den Aldosen frei drehen?
Das obere und untere
141
Wie viele Stereoisomere gibt es je nach Aldosenart?
Triosen: 2 Terosen: 4 Pentosen: 8
142
143
144
145
146
147
148
149
150
151
152
153
154
Fette sind Ester aus…
Glycerin und Fettsäuren
155
Womit sind die 3 Hydroxygruppen eines fettes meist verestert?
Langkettige Carbonsäuremolekülen
156
Wie nennt man Fette dessen 3 Hydroxygruppen mit carbonsäureresten verestert sind?
Triglyceride
157
Wie lang sind die Carbonsäure Moleküle in Fetten?
C4-C24
158
Was sind essentielle Fettsäuren?
Fettsäuren, welche der Körper nicht selber herstellen kann -> müssen über Nahrung aufgenommen werden
159
Was sind ungesättigte Fettsäuren?
Fettsäuren mit einer oder mehreren Doppelbindungen im Fettsäurerest des Moleküls
160
Was sind Omega-3-Fettsäuren?
Hat am drittletzten C Atom eine Doppelbindung
161
Wie werden Fette eingeteilt?
Nach ihrem Aggregatszustand bei Zimmertemperatur Feste, halbfeste, flüssige/fette Öle
162
Sind Fette Reinstoffe?
Nein, sie sind aus vielen verschiedenen Triglyceriden zusammengebaut
163
Welche funktionelle Gruppe haben Alkansäuren und wie lautet ihre allgemeine Summenformel?
Funktionelle Gruppe: Carboxygruppe (–COOH) Summenformel: CₙH₂ₙ₊₁COOH
164
Wie heißt Dodecansäure im Alltag, wie lautet ihre Formel und wo kommt sie vor?
Trivialname: Laurinsäure Summenformel: C₁₁H₂₃COOH Vorkommen: Kokosnüsse
165
Was ist Palmitinsäure und wie ist sie aufgebaut?
IUPAC-Name: Hexadecansäure Summenformel: C₁₅H₃₁COOH Vorkommen: In Fetten Aufbau: Carboxygruppe (hydrophil) + langer Alkylrest (hydrophob)
166
Was unterscheidet die Eigenschaften von Ameisensäure und Hexadecansäure?
Ameisensäure: Eigenschaften durch hydrophile Carboxygruppe Hexadecansäure: Eigenschaften durch hydrophoben Alkylrest → Unterschiedliche Löslichkeit in Wasser
167
Welche Stoffklassen entstehen aus gesättigten Kohlenwasserstoffen durch funktionelle Gruppen?
Hydroxygruppe → Alkanole (Alkohole) Carbonylgruppe → Alkanale (Aldehyde) & Alkanone (Ketone) Carboxygruppe → Alkansäuren (Carbonsäuren)
168
Gib die Umwandlungskette für Methan bis Methansäure an.
Methan → Methanol → Methanal → Methansäure (Alkan → Alkanol → Alkanal → Alkansäure)
169
Gib Beispiele für die homologe Reihe der Alkansäuren (bis Butansäure).
Methansäure (HCOOH) Ethansäure (CH₃COOH) Propansäure (C₂H₅COOH) Butansäure (C₃H₇COOH)
170
Wie lautet die Halbstrukturformel und Schmelztemperatur von Ölsäure?
Halbstrukturformel: CH₃(CH₂)₇CH=CH(CH₂)₇COOH Schmelztemperatur: 16 °C Salzname: Oleat
171
Was ist Linolsäure? Gib Formel und Eigenschaften an.
Formel: CH₃(CH₂)₄CH=CHCH₂CH=CH(CH₂)₇COOH Einfach: C₁₇H₃₁COOH Schmelztemperatur: −10 °C Salzname: Linolat
172
Was ist Linolensäure?
Formel: CH₃(CH₂)CH=CHCH₂CH=CHCH₂CH=CH(CH₂)₇COOH Einfach: C₁₇H₂₉COOH Schmelztemperatur: −11 °C Salzname: Linolenat
173
Welche Fettsäure kann eine Transfettsäure bilden?
Die Ölsäure (ungesättigt) – sie enthält eine Doppelbindung, die in trans-Form überführt werden kann.
174
Was ist die einfachste natürliche Carbonsäure
Ameisensäure
175
Wofür ist Oxalessigsäure wichtig und wie lautet ihre Formel?
Rolle: Akzeptormolekül im Citrat-Zyklus (Zellatmung) Summenformel: C₄H₆O
176
Wo findet man Oxalsäure?
n Rhabarber – Summenformel: C₂H₂O₄
177
Benzoesäure
C₇H₆O₂
178
Was ist die Funktion von Carbonsäuren in Lebensmitteln?
Sie dienen als Säuerungs- und Konservierungsmittel.
179
Sorbinsäure
C₆H₈O₂
180
Warum haben Alkansäuren die höchsten Siedetemperaturen?
Wegen starker Wasserstoffbrückenbindungen zwischen Carboxygruppen und der Möglichkeit zur Dimerbildung.
181
Warum haben Alkohole höhere Siedepunkte als Alkane?
Weil Alkoholmoleküle untereinander Wasserstoffbrückenbindungen eingehen können.
182
Warum haben Alkane die niedrigsten Siedepunkte?
Nur van-der-Waals-Kräfte wirken – schwächer als Wasserstoffbrückenbindungen.
183
Wo liegen die Siedepunkte von Aldehyden (Alkanalen)?
Zwischen Alkanen und Alkoholen – mittlere Polarität, aber keine Wasserstoffbrücken untereinander.
184
Wie verändert sich die Siedetemperatur mit zunehmender Molekülmasse?
Sie steigt, da die van-der-Waals-Kräfte mit der Molekülgröße zunehmen.
185
Was bewirkt Verzweigung in isomeren Alkanen wie Pentan und Hexan?
Mehr Verzweigung → kleinere Oberfläche → geringere van-der-Waals-Kräfte → niedrigere Siedetemperatur
186
Wie unterscheiden sich die Siedetemperaturen der Pentanole?
Je nach Position der OH-Gruppe und Moleküloberfläche – alle haben Wasserstoffbrücken, aber unterschiedlich effektiv
187
Warum haben Ether wie Butylmethylether niedrigere Siedepunkte als Alkohole?
Sie können keine Wasserstoffbrücken untereinander bilden – nur van-der-Waals-Kräfte wirken.
188
Welche Kräfte wirken zwischen Pentanolmolekülen?
Wasserstoffbrückenbindungen – stark, daher hohe Siedepunkte
189
Welche Kräfte wirken zwischen Ethermolekülen?
Nur van-der-Waals-Kräfte – schwächer als bei Alkoholen
190
Wie erklärt man die abnehmende Siedetemperatur in der Reihe: Pentan-1-ol → Pentan-2-ol → Pentan-3-ol → 2,2-Dimethylpropan-1-ol?
Mit abnehmender Oberfläche und abnehmender Effektivität der Wasserstoffbrücken sinkt der Siedepunkt.
191
Wie verändert sich die Löslichkeit von Alkansäuren in Wasser mit zunehmender Kettenlänge?
Sie nimmt ab, weil der hydrophile Einfluss der Carboxygruppe geringer wird und der hydrophobe Alkylrest überwiegt.
192
Wie verändert sich die Löslichkeit in Heptan mit zunehmender Kettenlänge?
Sie nimmt zu, da längere Alkylreste besser in lipophilen (unpolaren) Lösungsmitteln löslich sind.
193
Wie verhält sich Methansäure in verschiedenen Lösungsmitteln?
Sehr gut löslich in Wasser (XXX) Eingeschränkt in Ethanol (X) Nicht löslich in Heptan
194
Wann sind Alkansäuren amphiphil?
Wenn sie eine polare Carboxygruppe und einen unpolaren Alkylrest besitzen → z. B. Ethansäure oder Propansäure
195
Was passiert mit der Viskosität und Siedetemperatur bei längeren Alkansäuren?
Mehr Van-der-Waals-Kräfte Höhere Viskosität Höhere Siedetemperatur
196
Welche Lösungsmittel eignen sich für kurze vs. lange Alkansäuren?
Kurze: gut löslich in Wasser Lange: besser löslich in unpolaren Lösungsmitteln wie Heptan
197
Welche Alkansäure zeigt die stärkste Reaktion mit Mg-Band oder Ca-Körnern?
Methansäure (HCOOH) – reagiert am stärksten, da sie die höchste Acidität hat.
198
Wie lautet die allgemeine Protolyse-Gleichung einer Carbonsäure?
R–COOH ⇌ R–COO⁻ + H₃O⁺
199
Warum sind Carbonsäuren überhaupt sauer?
Die Carboxygruppe kann ein H⁺ abgeben und wird durch Mesomerie stabilisiert (Carboxylat-Anion).
200
Was bewirkt der –I-Effekt der Carbonylgruppe?
Der Sauerstoff zieht Elektronen an, schwächt so die O–H-Bindung → Förderung der Dissoziation (Säurestärke ↑)
201
Warum nimmt die Acidität mit zunehmender Kettenlänge ab?
Der +I-Effekt des Alkylrests wirkt elektronenschiebend → stabilisiert die O–H-Bindung → Dissoziation ↓
202
Welche zwei Effekte beeinflussen die Säurestärke von Alkansäuren maßgeblich?
–I-Effekt der Carbonylgruppe (Säurestärke ↑) +I-Effekt des Alkylrests (Säurestärke ↓)
203
–I-Effekt
elektronenziehend, „Minus-Induktiver Effekt“ Ein Atom oder eine Gruppe zieht Elektronen stärker zu sich hin.
204
–I-Effekt Auswirkungen
Erhöht die Polarität von Bindungen Stabilisiert negative Ladungen in der Nähe Fördert die Dissoziation von Säuren → Säurestärke ↑
205
Beispiele für –I-Gruppen
Halogene (F, Cl, Br, I) NO₂, CN, COOH C=O (wie bei Carbonsäuren!)
206
+I-Effekt
(elektronenschiebend, „Plus-Induktiver Effekt“): Ein Atom oder eine Gruppe schiebt Elektronen von sich weg, also in die Bindung hinein.
207
+I-Effekt Auswirkungen
Verringert die Polarität von Bindungen Stabilisiert positive Ladungen Schwächt Säureeigenschaften → Säurestärke ↓
208
Beispiele für +I-Gruppen:
Alkylgruppen (–CH₃, –C₂H₅ usw.) Metalle
209
Induzierende Effekte Alkansäure
Die C=O-Gruppe zieht Elektronen → –I-Effekt, erleichtert H⁺-Abspaltung Ein längerer Alkylrest (z. B. bei Propansäure) schiebt Elektronen → +I-Effekt, erschwert H⁺-Abspaltung
210
Wie heißt die Rückreaktion zur Spaltung eines Fettes?
Verseifung – die Hydrolyse von Estern in Gegenwart einer Base
211
Was ist ein Phospholipid?
Ein Molekül aus Glycerin, 2 Fettsäuren (lipophil) und 1 Phosphat-Gruppe
212
Wie ist ein Phospholipid aufgebaut (polar/unpolar)?
Schwanz: 2 Fettsäuren → unpolar / lipophil Kopf: Phosphat + Cholin → polar / hydrophil
213
Warum eignen sich Phospholipide zur Bildung von Biomembranen?
Weil sie amphiphil sind und in Wasser Doppelschichten bilden: Hydrophober Teil nach innen Hydrophiler Teil nach außen
214
Was ist eine Micelle?
Ein Kugel-artiger Verband von Phospholipiden mit den hydrophoben Schwänzen nach innen, um z. B. Öl in Wasser zu lösen.
215
Was ist ein Liposom?
Eine geschlossene Blase aus einer Doppellipidschicht, die innen und außen von Wasser umgeben ist – wie ein Mini-Membranbehälter.
216
Warum lagern sich Phospholipide spontan zu Doppelschichten zusammen?
„Gleiches löst sich in Gleichem“: Lipophile Schwänze lagern sich aneinander Hydrophile Köpfe interagieren mit Wasser (Wasserstoffbrücken)
217
Warum haben ungesättigte Fettsäuren niedrigere Schmelzpunkte?
Durch Knicke an den cis-Doppelbindungen können sich Moleküle schlechter packen → weniger Van-der-Waals-Kräfte.
218
Warum sind gesättigte Fettsäuren bei Raumtemperatur meist fest?
Weil sie eine geradlinige Struktur haben → starke zwischenmolekulare Wechselwirkungen (vdW-Kräfte) → hoher Schmelzpunkt.
219
Warum enthalten Öle mehr ungesättigte Fettsäuren als feste Fette?
Ungesättigte Fettsäuren verhindern durch ihre Knickstruktur ein dichtes Packen → bleiben flüssig bei Raumtemperatur.
220
Warum ist eine fettarme Ernährung oft sinnvoll?
Weniger Energieüberschuss Reduziertes Risiko für Übergewicht und Herz-Kreislauf-Erkrankungen Achtung: Ungesättigte Fettsäuren sollten trotzdem enthalten sein!
221
Was misst man in der Polarimetrie?
Den Drehwinkel α des polarisierten Lichts → Maß für die optische Aktivität
222
Wie berechnet man den spezifischen Drehwinkel [ α ] [α]?
223
Was ist der Unterschied zwischen Racemat und Meso-Verbindung?
Racemat: Mischung zweier Enantiomere Meso-Verbindung: Einzelmolekül mit intramolekularer Spiegelebene, daher optisch inaktiv
224
Wie hängt der Drehwinkel α α mit der Probenlänge zusammen?
Der Drehwinkel α α ist proportional zur Länge d d des Probenröhrchens bei konstanter Konzentration.
225
Was ist die meso-Weinsäure und warum ist sie optisch inaktiv?
Meso-Weinsäure hat eine intramolekulare Spiegelebene, wodurch sich die optische Aktivität aufhebt → optisch inaktiv.
226
Wie unterscheiden sich D- und L-Weinsäure?
Enantiomere mit gleicher Summenformel Gleiches Schmelzverhalten und Dichte Gegensätzliche optische Aktivität: D: − 16,6 ∘ −16,6 ∘ , L: + 16,6 ∘ +16,6 ∘
227
Was unterscheidet Enantiomere von Meso-Verbindungen?
Enantiomere: optisch aktiv – drehen polarisiertes Licht Meso-Verbindungen: optisch inaktiv, da symmetrisch → keine Drehung
228
Welche physikalischen Werte sind bei Enantiomeren gleich?
Schmelztemperatur Dichte Nur die Drehrichtung des Lichts unterscheidet sich
229
Was ist das α-C-Atom einer Aminosäure?
Das erste C-Atom nach der Carboxygruppe, meist asymmetrisch (C*), trägt die Seitenkette R.
230
Woraus besteht eine Aminosäure?
Aus einer Amino-Gruppe (–NH₂) und einer Carboxy-Gruppe (–COOH) – beide sind am gleichen C-Atom gebunden.
231
Worin unterscheiden sich L- und D-Aminosäuren in der Fischer-Projektion?
L-Form: Aminogruppe steht links (in der Natur vorkommend) D-Form: Aminogruppe steht rechts
232
Was bedeutet „biogene Aminosäuren“?
Aminosäuren, die im biologischen System vorkommen – es gibt 20 proteinogene AS.
233
Was ist eine essentielle Aminosäure?
Aminosäure, die der menschliche Körper nicht selbst herstellen kann → muss über die Nahrung aufgenommen werden.
234
Nenne die 8 essentiellen Aminosäuren.
Isoleucin, Leucin, Lysin, Methionin, Phenylalanin, Threonin, Tryptophan, Valin
235
Wie sind unpolare Seitenketten aufgebaut?
Sie enthalten keine polaren Gruppen → wirken über van-der-Waals-Kräfte in der Tertiärstruktur.
236
Woran erkennt man saure Aminosäuren?
Sie besitzen eine zusätzliche Carboxygruppe, die Protonen abgeben kann → negativ geladen.
237
Was kennzeichnet basische Aminosäuren?
ie haben eine weitere Aminogruppe, die Protonen aufnehmen kann → positiv geladen → Bildung von Ionenbindungen
238
Welche funktionellen Gruppen ermöglichen Wasserstoffbrücken bei polaren AS?
Gruppen wie –OH, –SH oder –NH₂ ermöglichen Wasserstoffbrückenbindungen.
239
Was ist die allgemeine Strukturformel einer Aminosäure?
H₂N−CH(R)−COOH
240
Wie ist die Aminosäure bei pH < IEP geladen?
Als Kation: NH₃⁺ bleibt protoniert, COO⁻ wird zu COOH → positive Nettoladung
241
Wie ist die Aminosäure bei pH > IEP geladen?
Als Anion: NH₃⁺ gibt H⁺ ab → NH₂, COOH bleibt deprotoniert → negative Nettoladung
242
Warum sind Aminosäuren Ampholyte?
Sie besitzen sowohl eine saure Carboxygruppe als auch eine basische Aminogruppe → können Protonen aufnehmen & abgeben.
243
Was passiert mit Aminosäuren am IEP in Lösung?
Sie sind nicht geladen Keine Wanderung im elektrischen Feld Keine elektrische Leitfähigkeit Schlechteste Wasserlöslichkeit
244
Wie hängt der IEP vom Rest (R) der Aminosäure ab?
Polare/geladene Reste verschieben den IEP: Basisch: hoher IEP Sauer: niedriger IEP
245
Wie entsteht eine Peptidbindung?
Durch Kondensation zwischen der Carboxygruppe einer AS und der Aminogruppe der nächsten → Abspaltung von H₂O.
246
Was ist Mesomerie in der Peptidbindung?
Elektronen delokalisiert über C–N Keine Drehbarkeit Alle Atome liegen in einer Ebene
247
Welche Wechselwirkungen stabilisieren die Tertiärstruktur?
Wasserstoffbrücken Ionenbindungen Disulfidbrücken Hydrophobe Wechselwirkungen (vdW)
248
Was beschreibt die Tertiärstruktur?
Die dreidimensionale Faltung des Proteins → wichtig für Funktion.
249
Welche Bindung entsteht bei der Verknüpfung von Aminosäuren?
Die Peptidbindung – eine Kondensationsreaktion zwischen der Carboxygruppe der einen und der Aminogruppe der anderen AS → C-C-N-Rückgrat
250
Was versteht man unter Primärstruktur eines Proteins?
Die Abfolge der Aminosäuren (AS-Sequenz) → bestimmt die weitere Faltung und Funktion.
251
Was ist eine Elektronenpaarbindung in der Tertiärstruktur?
Zwei Atome teilen sich ein gemeinsames Elektronenpaar → z. B. Disulfidbrücke (S–S) zwischen Cystein-Resten.
252
Was ist eine Ionenbindung in Proteinen?
Elektrostatische Anziehung zwischen positiv (z. B. NH₃⁺) und negativ geladenen Gruppen (z. B. COO⁻).
253
Welche Aminosäuren können Disulfidbrücken ausbilden?
Cystein, durch seine SH-Gruppe
254
Welche Bedeutung hat Wasser für die Tertiärstruktur von Proteinen?
Wasser ermöglicht Wasserstoffbrücken und beeinflusst die räumliche Anordnung durch hydrophobe und hydrophile Wechselwirkungen.
255
Wodurch entsteht die violette Farbe in der Biuret-Probe?
Durch Komplexbildung von Cu²⁺-Ionen mit mindestens zwei Peptidbindungen.
256
Was zeigt die Xanthoprotein-Reaktion an?
Aromatische Aminosäuren (z. B. Tyrosin); Gelbfärbung durch Nitrierung des Benzolrings mit Salpetersäure.
257
Was ist eine Peptidbindung?
Eine Amidbindung zwischen der Carboxygruppe einer Aminosäure und der Aminogruppe einer anderen unter Abspaltung von Wasser.
258
Was ist der Tyndall-Effekt und wann tritt er auf?
Lichtstreuung an Teilchen mit Größe 1–1000 nm; typisches Merkmal für kolloidale Lösungen.
259
Wie kann man Proteine nachweisen?
Biuret-Probe: Violettfärbung durch Cu²⁺-Komplex bei Peptidbindungen Xanthoproteinreaktion: Gelbfärbung durch Nitrierung aromatischer AS (z. B. Tyrosin)
260
Welche funktionellen Gruppen können in organischen Verbindungen vorkommen?
OH (Hydroxygruppe) CHO (Aldehydgruppe) COOH (Carboxygruppe) R-C(=O)-R (Keto-Gruppe)
261
Welche Nachweisreaktionen gibt es für funktionelle Gruppen?
Kupfersulfat-Test → mehrwertiger Alkohol Fehling-Test → Aldehydgruppe Bromthymolblau-Test → Carboxygruppe
262
Kupfersulfat-Test
mehrwertiger Alkohol
263
Fehling-Test
Aldehydgruppe
264
Bromthymolblau-Test
Carboxygruppe
265
CHO
Aldehydgruppe
266
R-C(=O)-R
Keto-Gruppe
267
Was sagt die Biuret-Probe über Peptide aus?
Mind. zwei Peptidbindungen müssen nebeneinanderliegen → violette Färbung durch Komplex mit Cu²⁺-Ionen.
268
Was weist der Kupfersulfat-Test nach?
Mehrwertige Alkohole durch blaue Komplexbildung (z. B. Glycerin, Glucose, Mannose).
269
Was weist der Fehling-Test nach?
Endständige Aldehydgruppen (CHO) → Bildung von braunrotem Cu₂O (z. B. Glucose, Mannose).
270
Was weist der Bromthymolblau-Test nach?
Carboxygruppen (COOH) durch Farbumschlag von blau nach gelb (z. B. bei Ethansäure, Hexansäure).
271
Was ist eine Halbacetal-Bindung bei Zuckern?
Addition der OH-Gruppe an die Carbonylgruppe (Aldehyd/Ketogruppe) Intramolekulare Protonen-Umlagerung → Entstehung eines neuen asymmetrischen C-Atoms (anomeres Zentrum)
272
Was versteht man unter dem anomeren C-Atom?
Es ist das neu entstandene Chiralitätszentrum nach dem Ringschluss; verantwortlich für α- oder β-Form.
273
Was beschreibt die Ring-Ketten-Umlagerung bei Glucose?
Die reversible Umwandlung zwischen offenkettiger Form und den Ringformen (α- und β-D-Glucose), bekannt als Mutarotation.
274
Was zeigt die Mutarotation im Polarimeter?
Eine Änderung des Drehwinkels von 120° (reine α-Form) auf 52,7° (Gleichgewicht α- und β-Form).
275
Wie entstehen α-/β-D-Fructopyranose und -furanose?
Durch intramolekulare Reaktion einer Hydroxygruppe mit der Ketogruppe am C2-Atom der Fructose (Bildung von Halbacetalen).
276
Was ist der Unterschied zwischen Glucose und Fructose hinsichtlich ihrer Carbonylgruppen?
Glucose: Aldehyd-Gruppe → Aldose Fructose: Ketogruppe → Ketose
277
Warum reagiert D-Fructose positiv auf die Fehling-Probe, obwohl sie ein Keton ist?
In alkalischer Lösung isomerisiert D-Fructose über die Keto-Endiol-Tautomerie zu D-Glucose und D-Mannose, die Aldehydgruppen enthalten.
278
Was versteht man unter Keto-Endiol-Tautomerie?
Ein chemisches Gleichgewicht zwischen einer Ketoform (z. B. Fructose) und einer Aldehydform (z. B. Glucose) über eine Endiol-Zwischenstufe.
279
Was passiert bei der Keto-Endiol-Tautomerie im Detail?
In alkalischer Lösung entzieht OH⁻ ein Proton vom C-Atom Es bildet sich eine C=C-Bindung (Endiol) Die Endiolform tautomerisiert zu einer Aldehydform (z. B. Glucose oder Mannose)
280
Warum gilt D-Mannose als weiteres Gleichgewichtsprodukt?
Weil sich in der Endiol-Zwischenform das Proton an zwei verschiedenen C-Atomen wieder anbinden kann, wodurch zwei verschiedene Aldosen entstehen: Glucose und Mannose.
281
Welche funktionelle Gruppe ist für die positive Fehling-Reaktion bei Glucose und Mannose verantwortlich?
Die endständige Aldehydgruppe (–CHO)
282
Aus welchen Monosacchariden besteht Lactose und wie sind sie verknüpft?
β-D-Galactose + α-D-Glucose Verknüpfung: β→(1→4) reduzierend
283
Aus welchen Monosacchariden besteht Saccharose und wie sind sie verknüpft?
α-D-Glucose + β-D-Fructofuranose Verknüpfung: α,β-(1→2) nicht reduzierend
284
Aus welchen Monosacchariden besteht Cellobiose und wie sind sie verknüpft?
β-D-Glucose + β-D-Glucose Verknüpfung: β-(1→4) reduzierend
285
Aus welchen Monosacchariden besteht Maltose und wie sind sie verknüpft?
α-D-Glucose + α-D-Glucose Verknüpfung: α-(1→4) reduzierend
286
Aus welchen Monosacchariden besteht Trehalose und wie sind sie verknüpft?
α-D-Glucose + α-D-Glucose Verknüpfung: α-(1→1) nicht reduzierend
287
Wann ist ein Disaccharid reduzierend?
Wenn mindestens eine Halbacetalgruppe frei vorliegt (ein anomeres C-Atom nicht in der glykosidischen Bindung beteiligt ist).
288
Wann ist ein Disaccharid nicht reduzierend?
Wenn beide anomeren C-Atome in der glykosidischen Bindung involviert sind (z. B. bei Saccharose und Trehalose).
289
Was passiert im ersten Schritt der Halbacetalbildung?
Protonierung der Carbonylgruppe eines Aldehyds/Alkanals zur Aktivierung für den nukleophilen Angriff.
290
Welches Ion entsteht nach der Protonierung der Carbonylgruppe? (Halbacetalbildung)
Ein Carbenium-Ion (reaktives Zwischenprodukt).
291
Welches Ion entsteht nach dem nukleophilen Angriff bei der Halbacetalbildung?
Ein Oxonium-Ion.
292
Was passiert im zweiten Schritt der Halbacetalbildung?
Nucleophiler Angriff einer Hydroxygruppe auf das positiv geladene Carbenium-Ion.
293
Was ist ein Halbacetal?
Verbindung mit einer Hydroxy- und einer Alkoxygruppe (-OR) am selben C-Atom, das ursprünglich aus einer Carbonylgruppe stammt.
294
Was ist der erste Schritt bei der Acetalbildung aus einem Halbacetal?
Protonierung der Hydroxygruppe des Halbacetals.
295
Was folgt auf die Protonierung bei der Acetalbildung?
Eliminierung von Wasser, wodurch ein Carbenium-Ion entsteht.
296
Was passiert im dritten Schritt der Acetalbildung?
Nucleophiler Angriff einer weiteren Hydroxygruppe auf das Carbenium-Ion.
297
Wie endet der Mechanismus der Acetalbildung?
Abspaltung eines Protons (Deprotonierung), Bildung eines Vollacetals.
298
Was ist ein Vollacetal?
Verbindung mit zwei Alkoxygruppen (-OR) am ehemaligen Carbonyl-C-Atom.
299
Welche Rolle spielen Oxonium-Ionen in beiden Mechanismen?
Sie entstehen durch Protonierung von Hydroxygruppen und sind reaktive Zwischenstufen im Mechanismus.
300
Wie entsteht Stärke (vereinfacht dargestellt)?
Durch Kondensation mehrerer Glucose-Einheiten unter Bildung von Vollacetalen und Abspaltung von Wasser.
301
Was ist ein Vollacetal im Zusammenhang mit Stärke?
O-Atom der OH-Gruppe am C4-Atom einer Glucose bindet ans C1-Atom eines Halbacetals unter Wasserabspaltung vergleichbar mit Esterbildung
302
Was passiert bei der Hydrolyse von Stärke?
Spaltung der glykosidischen Bindungen unter Wasseraufnahme → einzelne Glucose-Einheiten entstehen.
303
Was zeigt der Fehling-Test an?
Nachweis von reduzierenden Zuckern (mit freiem anomerem C1-Atom bzw. Aldehyd-Gruppe).
304
Welche Zucker geben eine positive Fehling-Probe?
Glucose, Fructose, Honig, Maltose, Lactose, Cellulose, Traubensaft
305
Welche Zucker geben eine negative Fehling-Probe?
Saccharose, Amylose, Stärke
306
Warum reagiert Saccharose negativ im Fehling-Test?
Weil beide anomeren C-Atome an der glykosidischen Bindung beteiligt sind → kein freies Aldehyd
307
Warum zeigen Cellulose und Stärke unterschiedliche Reaktionen im Iod-Kaliumiodid-Test?
tärke färbt sich dunkelblau → typische Helixstruktur Cellulose bleibt gelblich → lineare Struktur, keine Einlagerung von Iod
308
Welche Bedeutung hat ein freies anomeres C1-Atom bei Zuckern?
Es ermöglicht die Reduktion von Cu²⁺ im Fehling-Test → zeigt reduzierende Eigenschaften
309
Warum färbt sich Stärke bei Zugabe von Iod-Kaliumiodid-Lösung blau?
Stärke bildet eine schraubige Helixstruktur mit Hohlräumen I₂-Moleküle lagern sich in die Spiralen ein → Komplexbildung diese absorbiert alle Farben außer Blau
310
Warum zeigt Cellulose keine Blaufärbung mit Iodlösung?
lineare Struktur der β-D-Glukose-Moleküle dichte Packung → keine Hohlräume Iod kann nicht eindringen
311
Wie sind Cellulose-Moleküle untereinander stabilisiert?
Durch Wasserstoffbrücken zwischen den OH-Gruppen der Glucose-Einheiten.
312
Welche Unterschiede bestehen bei der Löslichkeit von Amylose, Amylopektin und Cellulose?
Amylose: wasserlöslich, unverzweigt, kürzer Amylopektin: wasserunlöslich, verzweigt Cellulose: wasserunlöslich, lineare, dichte Ketten mit stabilen Wasserstoffbrücken
313
Warum kann der Mensch Cellulose nicht verdauen?
Menschen besitzen keine Cellulase nur Bakterien (z. B. in Termiten oder Wiederkäuern) können Cellulose zu Cellobiose abbauen
314
Wie wird Stärke im menschlichen Körper abgebaut?
Durch das Enzym Amylase zu Maltose → weiter zu Glucose
315
Was ist Glykogen und wie unterscheidet es sich von pflanzlicher Stärke?
Glykogen: tierische Speicherform der Glucose stark verzweigt, spiralig <100.000 Glucoseeinheiten
316
Warum ist Amylose wasserlöslich, Amylopektin aber nicht?
Amylose: kürzere, unverzweigte Ketten → bessere H₂O-Bindung Amylopektin: lange, verzweigte Ketten → zu große Moleküle
317
Warum ist Cellulose nicht wasserlöslich?
starke Wasserstoffbrücken zwischen linearen Ketten → dicht und stabil
318
Welche Bindungen verknüpfen die Glucoseeinheiten in: a) Stärke b) Cellulose?
a) α-(1→4) & α-(1→6) b) β-(1→4)
319
Welche Zuckerbausteine bilden Cellobiose?
2 β-D-Glucose-Einheiten, verknüpft über β-(1→4)
320
Welche Zuckerbausteine bilden Lactose?