What is nature’s enol equivalent?
What is its reactivity like?
Nature uses acetyl co-enzyme A as its enol. The ketone in the actyl group can tautomerise to an enol.
Acetyl CoA has the same reactivity as a thioester in the lab - the equilibrium is 50:50 between the keto and enol form.

What reaction can acetyl CoA alone undergo in nature?
Draw the mechanism.
Acetyl CoA undergoes Claisen reactions in nature, where the keto and enol forms react to make acetoacetyl CoA.

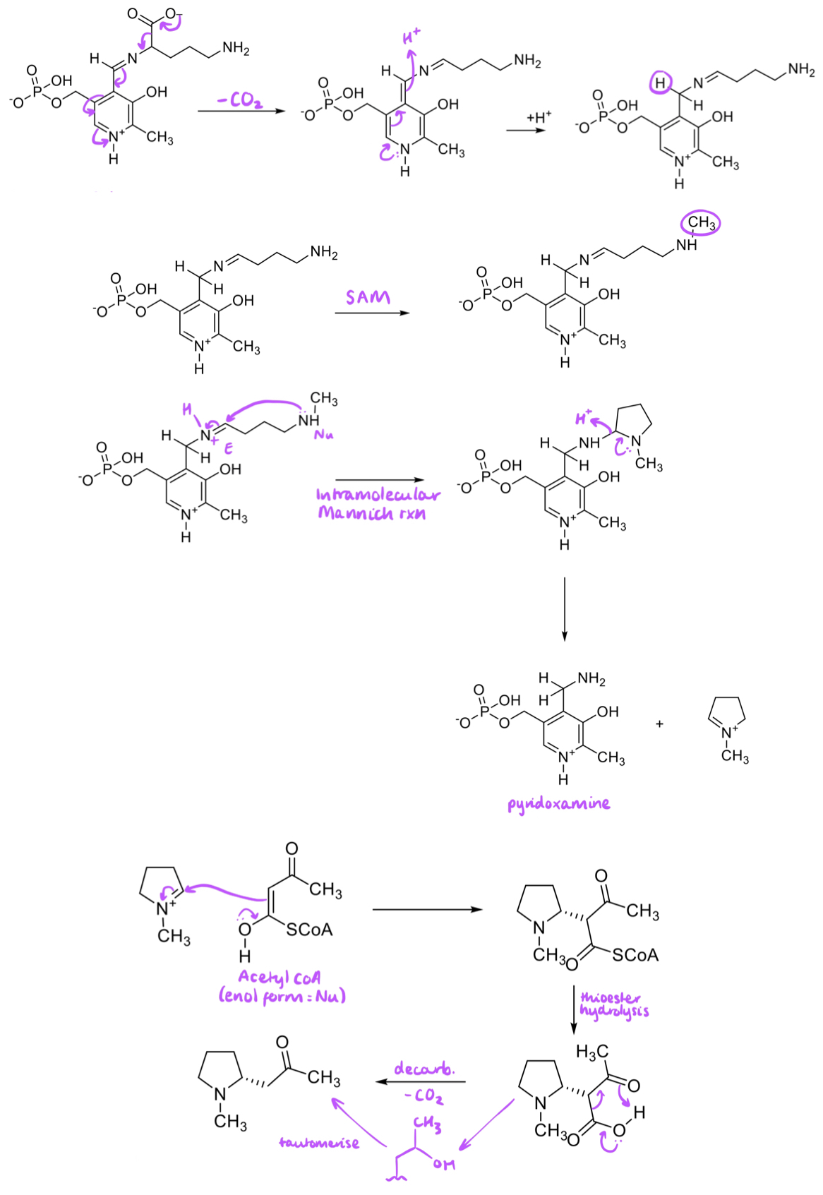
How does nature run reductive amination?
In nature, two cofactors and an aminotransferase enzyme are used for reductive amination.
The two cofactors are called pyridoxamine and pyridoxal.
What are two common reactions that the two cofactors are used for?
Draw the mechanism for the reversible synthesis of amino acids from keto acids.

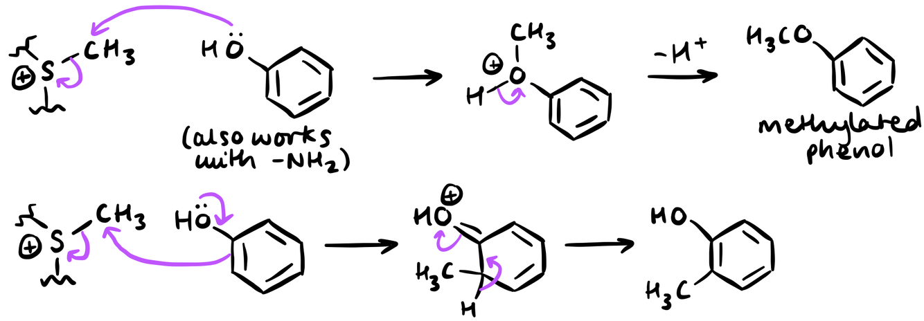
How does nature’s methylation occur?
Draw the mechanism(s).
Nature’s methylation uses s-adensoyl methionine (SAM).

What are the three classes of natural products?
Where do alkaloids come from?
Most alkaloids come from an amino acid biosynthetic precursor. The most common amino acids used are ornithine, lysine, tryptophan, phenylalanine and tyrosine.

What are the important reactions in the biosynthesis of alkaloids?
Draw curly arrows to demonstrate what the Mannich reaction is.

What are pyrrolidine alkaloids synthesised from?
Give an example of a pyrrolidine alkaloid.
Pyrrolidine alkaloids include a 5-membered N-containing ring. Most of these are from ornithine as a biosynthetic precursor. An example is hygrine.
Draw the mechanism for hygrine synthesis.

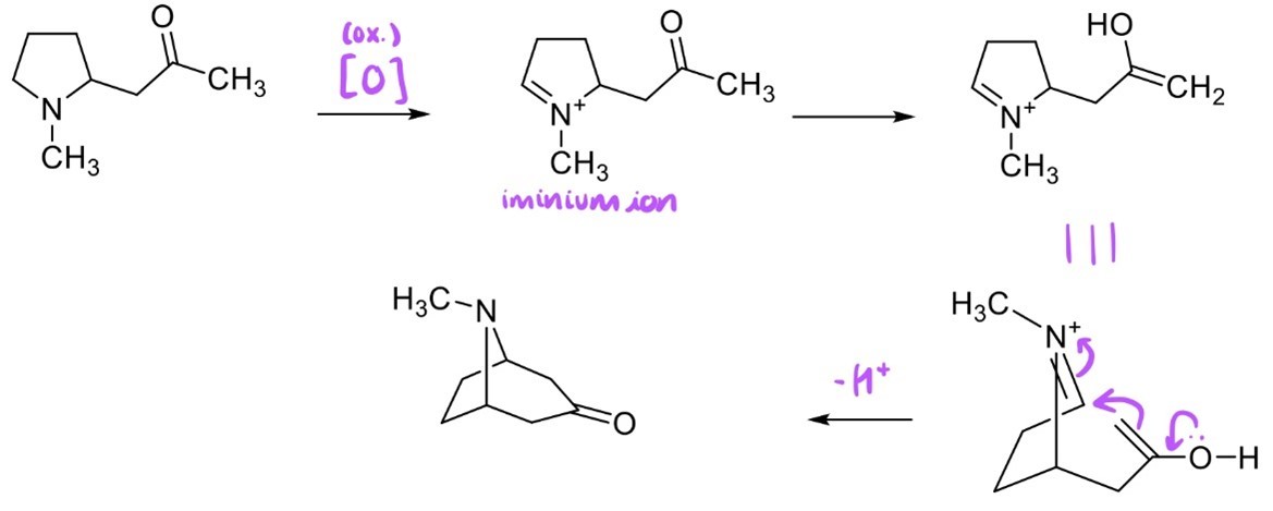
Draw the mechanism for the synthesis of tropinone from hygrine.

Where do piperidine alkaloids come from?
Give an example and draw its structure.
Most 6-membered rings in piperidine alkaloids come from lysine. One example is pseudopelletierine.

Draw the mechanism for the biosynthesis of pseudopelletierine
*here, only one amine is methylated. This shows how nature can be both regio- and stereoselective.

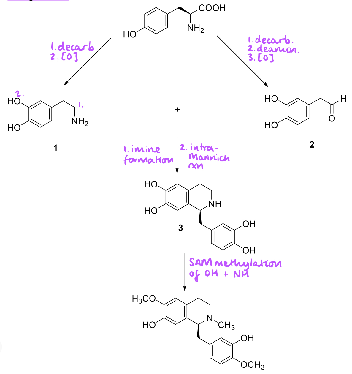
Where do isoquinoline alkaloids come from?
Give and example and draw its structure.
Isoquinoline alkaloids usually come from tyrosine, such as salsolinol.

Draw the mechanism for the biosynthesis of salsolinol.
The acetyl carbonyl used to form the iminium ion comes from alanine.

Where do benzoisoquinoline alkloids come from?
Give an example and draw its structure.
Benzoisoquinoline alkaloids usually come from tyrosine, such as reticuline.

Draw the mechanism for the biosynthesis of reticuline.

Where do polyketides come from?
Polyketides are formed from malonyl CoA, which in turn forms from acetyl CoA.

What is the key structural feature of a polyketide?
A polyketide has many ketone groups, with each C=O being separated by a CH2 group.
Draw the mechanism for the biosynthesis of malonyl CoA.

How are polyketides constructed?
Draw the mechanism and its short hand version.
Polyketides are synthesised by a multienzyme complex containing a condensing enzyme (CE) and an acyl carrier protein (ACP).

How are aromatic polyketides numbered?
What are the structural features of aromatic polyketides?
You give an OH group 1 then number around the ring.
Polyketides show multiple oxygenation groups (OH or C=O) around an aromatic ring, either in a 1,3- or a 1,3,5-pattern.
