bkm6: risk aversion & capital alloc Flashcards

(15 cards)

1
Q

different appetites (tolerance) for risk

A

Risk averse investors prefer lower risk. They require a risk premium as
compensation for the risk borne.
Risk neutral investors ignore risk and base decisions only on expected return
Risk lovers prefer investments with a higher level of risk, and will in fact be
willing to accept a lower return to gain a higher level of risk.

How well did you know this?
1
Not at all
2
3
4
5
Perfectly
2
Q

Utility

A

amount of benefit, depends on multiple factors (risk appetite, expected return, risk level)

U = E(r) - 0.5Aσ^2

A = degree of the investor’s risk aversion

How well did you know this?
1
Not at all
2
3
4
5
Perfectly
3
Q

certainty equivalent rate

A

rate that a risk free investment
would need to offer to provide the same level of utility as the investment being analyzed

How well did you know this?
1
Not at all
2
3
4
5
Perfectly
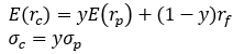
4
Q

expected return and std dev of return for a complete portfolio (with risk free assets and risky assets) where portion invested in risky assets P = y

ie E[rc] & σc

A
How well did you know this?
1
Not at all
2
3
4
5
Perfectly
5
Q

Capital Allocation Line, CAL

A

graph showing risk and return levels of various investment options available to investor based on distribution of complete portfolio

How well did you know this?
1
Not at all
2
3
4
5
Perfectly
6
Q

where does portfolio lie on CAL when investor borrows at the risk free rate, and invests the proceeds in P

A

portfolio will lie on the CAL to the right of P

How well did you know this?
1
Not at all
2
3
4
5
Perfectly
7
Q

slope of the CAL

A

This is called the reward-to-volatility ratio, or Sharpe ratio. It represents the
incremental return per unit of standard deviation.

How well did you know this?
1
Not at all
2
3
4
5
Perfectly
8
Q

The CAL needs to be adjusted to reflect the fact that in reality, normal investors can not borrow at the risk free rate

A

CAL will be kinked at P

the slope to the right of P will be

How well did you know this?
1
Not at all
2
3
4
5
Perfectly
9
Q

Optimal Complete Portfolio, C and y*

A

investor will select portfolio that maximizes utility,

y* is optimal ratio and is derived by setting derivative of utility equation to 0

How well did you know this?
1
Not at all
2
3
4
5
Perfectly
10
Q

indifference curves

A

curves that contain different portfolios that the
investor is indifferent about (portfolios with equivalent utility levels)

How well did you know this?
1
Not at all
2
3
4
5
Perfectly
11
Q

optimal risky portfolio can also be derived graphically

A

need to plot indifference curves

An investor prefers to be on the highest possible indifference curve: this would be the highest indifference curve that touches the CAL. The optimal portfolio is located at the intersection point of the CAL, and the curve tangential to the CAL

How well did you know this?
1
Not at all
2
3
4
5
Perfectly
12
Q

risky portfolio P can be determined by either

A

active or passive strategy

How well did you know this?
1
Not at all
2
3
4
5
Perfectly
13
Q

Nonnormal Returns and capital allocation to risky portfolio

A

if the returns are more heavy tailed than a normal distribution would imply, it may be more appropriate to reduce the allocation to the risky portfolio

this is because using indifference curves uses the standard deviation as the measure of risk, as it assumed that returns follow a normal distribution

How well did you know this?
1
Not at all
2
3
4
5
Perfectly
14
Q

active vs passive strategy

A
How well did you know this?
1
Not at all
2
3
4
5
Perfectly
15
Q

Capital Market Line, CML

A

CAL that uses passive portfolio as risky portfolio

How well did you know this?
1
Not at all
2
3
4
5
Perfectly