Blut Flashcards

(13 cards)

1
Q

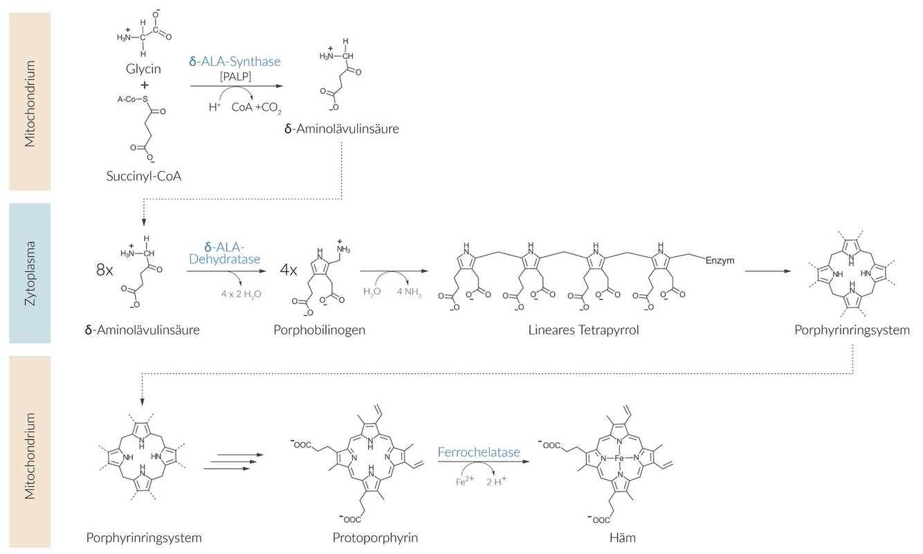
Welches mitochondriale Enzym ist bei der Hämbiosynthese für den Einbau von Fe2+ zuständig?

A

Ferrochelatase

How well did you know this?
1
Not at all
2
3
4
5
Perfectly
2
Q

Das Schlüsselenzym der Hämsynthese ist die ____________; sie benötigt als Cofaktor Pyridoxal-Phosphat (PLP) und ist im Mitochondrium lokalisiert.

A

δ-Aminolävulinsäure-Synthase (δ-ALAS)

Die Hämsynthese läuft zum Teil in den Mitochondrien und zum Teil im Zytoplasma ab und wird von insgesamt 8 Enzymen katalysiert. Der geschwindigkeitsbestimmende Schritt ist die Kondensation von Glycin mit Succinyl-CoA, der von der Pyridoxal-Phosphat (PLP)-abhängigen δ-ALA-Synthase katalysiert wird (dabei Freisetzung von CoA).

How well did you know this?
1
Not at all
2
3
4
5
Perfectly
3
Q

Beim (gesunden) Erwachsenen sind mehr als die Hälfte des gesamten Eisenbestandes enthalten in _​.

A

Hämoglobin

How well did you know this?
1
Not at all
2
3
4
5
Perfectly
4
Q

____________ ist ein von der Leber synthetisiertes Glykoprotein, das freies Eisen (Fe3+) im Serum transportiert.

A

Transferrin

Zielzellen exprimieren zur Eisenaufnahme Transferrinrezeptoren auf ihrer Oberfläche, über die der Transferrin-Eisen-Komplex per Endozytose in die Zellen aufgenommen wird.

How well did you know this?
1
Not at all
2
3
4
5
Perfectly
5
Q

Wie bezeichnet man den Effekt der Senkung der scheinbaren Viskosität des Blutes aufgrund einer zentralen Anordnung von Erythrozyten im Axialstrom von Gefäßen mit kleinem Durchmesser?

A

Fåhraeus-Lindqvist-Effekt

Aktiv bei Gefäßgröße <300 μm.
Der Einfluss des Hämatokrits auf den peripheren Widerstand ist bei kleinen Gefäßen deutlich geringer als bei größeren Gefäßen.
Sinkt der Gefäßdurchmesser unter 7–10 μm ab, endet der Fåhraeus-Lindqvist-Effekt, d.h. die scheinbare Viskosität steigt wieder an.

How well did you know this?
1
Not at all
2
3
4
5
Perfectly
6
Q

Der Eisenexport aus den Enterozyten ins Blut kann durch das Peptidhormon ________ gehemmt werden, indem es an Ferroportin bindet, woraufhin der Ferroportin/Hepcidin-Komplex in die Zelle aufgenommen und abgebaut wird.

A

Hepcidin

Die Synthese von Hepcidin in der Leber wird daher durch eine erhöhte Eisenkonzentration induziert.
Hepcidin hemmt zusätzlich auch die Ferroportin-abhängige Mobilisierung von Eisen aus den Eisenspeichern der Makrophagen.

How well did you know this?
1
Not at all
2
3
4
5
Perfectly
7
Q

____________ ist ein Derivat des Hämoglobins (Hb) und enthält Fe3+ statt Fe2+, das keinen Sauerstoff binden kann.

A

Methämoglobin (MetHb)

How well did you know this?
1
Not at all
2
3
4
5
Perfectly
8
Q

____________________ fungiert als allosterischer Effektor für Hämoglobin und senkt dessen O2-Affinität. Es wird daher in den Erytrozyten im Rahmen eines Nebenwegs („shunt“, Rapoport-Luebering-Zyklus) der Glykolyse bzw. Glykoneogenese produziert.

A

2,3-Bisphosphoglycerat (2,3-BPG)

In der Glykolyse entsteht im siebten Reaktionsschritt 3-Phosphoglycerat (3-PG) aus 1,3-Bisphosphoglycerat (1,3-BPG) unter Bildung eines Moleküls ATP. Zur Synthese von 2,3-BPG wird dieser Schritt spezifisch in Erythrozyten umgangen: 1,3-BPG wird von der Glykolyse abgezweigt und in 2,3-BPG umgewandelt. Es kann später über 3-Phosphoglycerat (3-PG) bzw. auch als 2-Phosphoglycerat (2-PG) wieder in die Glykolyse einfließen, wobei jedoch kein ATP entsteht. Das Enzym Bisphosphoglycerat-Mutase (BPGM) katalysiert alle drei Reaktionen:
- Isomerisierung von 1,3-BPG zu 2,3-BPG
- Dephosphorylierung von 2,3-BPG zu 3-PG
- Isomerisierung von 3-PG zu 2-PG

How well did you know this?
1
Not at all
2
3
4
5
Perfectly
9
Q

Der Fibrinogen-Rezeptor heißt auch ______

A

GPIIb/IIIa

Komplex aus den Glykoproteinen GPIIb und GPIIIa auf der Thrombozytenmembran und bindet Fibrinogen.

How well did you know this?
1
Not at all
2
3
4
5
Perfectly
10
Q

Wie lange ist in etwa die Lebensdauer von Thrombocyten?

A

5-10 Tage

How well did you know this?
1
Not at all
2
3
4
5
Perfectly
11
Q

Bei der ________ unterscheidet man mehrere Phasen: Vasokonstriktion, Adhäsion, Aktivierung und Aggregation.

A

Primären Hämostase

  • Vaskuläre Blutstillung
  • Thrombozytenadhäsion an geschädigtem Endothel mittels GPIb-Rezeptor und von-Willebrand-Faktor
  • Thrombozytenaktivierung: Ausbildung von Pseudopodien, Phospholipid-Expression an der Zelloberfläche und Freisetzung von ADP, Thromboxan A2 und plättchenaktivierendem Faktor (PAF)
  • Thrombozytenaggregation über GPIIb/IIIa-Rezeptor und Fibrinogen → Bildung eines Abscheidungsthrombus aus Thrombozyten (weißer Thrombus)

How well did you know this?
1
Not at all
2
3
4
5
Perfectly
12
Q

Infolge einer Mutation kommt es bei ____________ zu einer verminderten Inaktivierung des Gerinnungsfaktors V durch das aktivierte Protein C und dadurch letztendlich zu einem erhöhten Thromboserisiko.

A

Faktor-V-Leiden

Häufigste hereditäre Thrombophilie

How well did you know this?
1
Not at all
2
3
4
5
Perfectly
13
Q

________________ ist ein Transmembranrezeptor auf Gefäßendothelzellen zur Bindung von Thrombin (Faktor IIa), der die Hämostase hemmt.

A

Thrombomodulin

Thrombin wird durch die Bindung inaktiviert und seine Plasmakonzentration wird reduziert und das Protein-C/S-Systems aktiviert.

How well did you know this?
1
Not at all
2
3
4
5
Perfectly