Bond Flashcards

(39 cards)

1
Q

What does the symbol P represent?

A

The price of a bond.

How well did you know this?
1
Not at all
2
3
4
5
Perfectly
2
Q

What does the F symbol represent?

A

It is the par value (face amount) it is not a cash flow

How well did you know this?
1
Not at all
2
3
4
5
Perfectly
3
Q

What does the symbol r represent?

A

It is the coupon rate per payment period.

How well did you know this?
1
Not at all
2
3
4
5
Perfectly
4
Q

What does the symbol Fr represent?

A

It is the amount of each coupon payment.

How well did you know this?
1
Not at all
2
3
4
5
Perfectly
5
Q

What does the symbol C represent?

A

It is redemption. value of a bond. If C is not specified, it is equal to F.

How well did you know this?
1
Not at all
2
3
4
5
Perfectly
6
Q

What does the symbol i represent?

A

Interest per payment period.

How well did you know this?
1
Not at all
2
3
4
5
Perfectly
7
Q

What does the symbol n represent?

A

The number of coupon payments.

How well did you know this?
1
Not at all
2
3
4
5
Perfectly
8
Q

What is the basic formula to evaluate the price of a bond?

A
How well did you know this?
1
Not at all
2
3
4
5
Perfectly
9
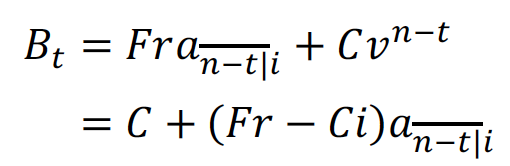
Q

What is the premium/discount formula?

A
How well did you know this?
1
Not at all
2
3
4
5
Perfectly
10
Q

What is the condition to have a premium bond?

A

P > C or Fr > Ci

How well did you know this?
1
Not at all
2
3
4
5
Perfectly
11
Q

What is the condition to have a discount bond?

A

P < C or Fr < Ci

How well did you know this?
1
Not at all
2
3
4
5
Perfectly
12
Q

What is the amortization process of a premium bond?

A

It is a write-down

How well did you know this?
1
Not at all
2
3
4
5
Perfectly
13
Q

What is the amortization process of a discount bond?

A

It is a write-up

How well did you know this?
1
Not at all
2
3
4
5
Perfectly
14
Q

How do you calculate the amount of a discount/premium bond? Give the equivalence

A
How well did you know this?
1
Not at all
2
3
4
5
Perfectly
15
Q

What is the formula for the book value of a bond?

A
How well did you know this?
1
Not at all
2
3
4
5
Perfectly
16
Q

What is the formula to calculate the interest earned with a bond payment?

17
Q

How do we call a person that issues a bond?

A

It is a bond issuer.

18
Q

What do we call a person that buys a bond?

A

It is a bond investor.

19
Q

What are coupons?

A

They are periodic interest payments (annuity).

20
Q

What is a redemption value?

A

It is one large payment at the end of the bond term.

21
Q

What is a yield rate?

A

It is the constant rate at which the bond’s discounted future cash flows equal its price. It is the return the investor earns from investing in the bond.

22
Q

What is a zero-coupon bond?

A

It is a bond that doesn’t pay coupons.

23
Q

What happens if the price of a bond increases?

A

The yield will decrease.

24
Q

What happens if the interest rate used to discount a bond’s cash flows decreases?

A

The present value of the bond increases.

25
What happens if the bond is a premium?
- The bond investor is receiving larger coupons than expected interest payments. So, the investor should pay more for the bond. As a result, P>C. - The premium is equal to P-C and needs to be positive.
26
What happens if the bond is a discount?
- The bond investor is receiving smaller coupons than expected interest payments. So, the investor should pay less for the bond. As a result, P
27
What happens if the bond is a par bond?
- There is no premium or discount - The bond is purchased at par (P=C)
28
What is a write-down?
It is the amount of each coupon payment left after interest. It is deducing the book value.
29
What is another name for write-down?
The amount for amortization of premium.
30
What happens if the write-down is negative?
We write it as a positive number and call it a write-up.
31
What is another name for a write-up?
It is the amount for accumulation of discount.
32
What is a callable bond?
It is a bond that is retrieved before the original maturity date.
33
What is a yield to worst?
It is the worst yield that you can have in the scenarios.
34
What is a call date?
It is a date at which the bond is terminated in a callable bond.
35
What is a call price?
It is additional cash flow the investor receives if the bond terminates on a call date.
36
What is the advantage of a callable bond for the bond issuer?
It provides protection if there is a decrease in interest rates.
37
How do you evaluate the good choice to make regarding a callable bond?
- With a given price, the lowest yield rate calculated is the minimum yield that an investor would earn. - With a given yield rate, the lowest price calculated is the maximum price that an investor would pay.
38
What are the 2 steps of the endpoint shortcut?
1) Calculate the price of the bond called at both endpoints for each call period and the redemption date. 2) Identify the lowest value from step 1.
39
What is the premium/discount shortcut?
1) Identify it the bond is a premium or discount bond. 2) - If it is a premium bond, call the bond on the first call date. - If it is a discount bond, call the bond on the last call date. 3) Compare values from each level call date period, and the redemption date if the maturity is not one of the endpoints. 4) Choose the lowest value from each of these options.