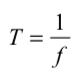
(Define symbols and units)

T - period (s)
f - frequency (Hz)
(Define symbols and units)

v - speed (ms-1)
f - frequency (Hz)
λ - wavelength (m)
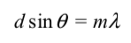
(Define symbols and units)
To what does each equation apply?

path difference (m)
m - order of maximum/minimum (no unit)
λ - wavelength (m)
mλ - applies to maxima
(m+½)λ - applies to minima
(Define symbols and units)

d - slit spacing (m)
θ - angle to maximum (°)
m - order of maximum (no unit)
λ - wavelength (m)
(Define symbols and units)

n - refractive index (no unit)
θ1 - angle in medium 1/air/vacuum (°)
θ1 - angle in medium 2 (°)
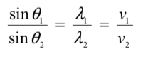
(Define symbols and units)

θ1 - angle in medium 1/air/vacuum (°)
θ2 - angle in medium 2 (°)
λ1 - wavelength in medium 1/air/vacuum (m)
λ2 - wavelength in medium 2 (m)
v1 - speed in medium 1/air/vacuum (ms-1)
v2 - speed in medium 2 (ms-1)
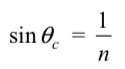
(Define symbols and units)

θc - Critical Angle (°)
n - refractive index (no unit)
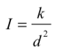
(Define symbols and units)

I - Irradiance (Wm-2)
k - constant
d - distance from source (m)
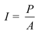
(Define symbols and units)

I - Irradiance (Wm-2)
P - Power (W)
A - Area (m2)
(Define symbols and units)

E2 - upper energy level (J)
E1 - lower energy level (J)
h - Planck’s constant (see data sheet - J s)
f - photon frequency (Hz)