BU - Formulas Flashcards

(31 cards)

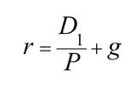
1
Q

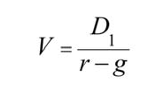
Constant Growth Dividend Discount Model (DDM)

A

Calculates the value of a dividend-paying security (with constant growth) in dollars

Step 1 find D1 = Next year’s dividend (Take this year’s dividend x (1+ dividend growth))

Step 2 apply to formula r = required rate of return g = dividend growth rate The question will ask “What is the intrinsic value of the stock?”

How well did you know this?
1
Not at all
2
3
4
5
Perfectly
2
Q

When intrinsic value (IV) < market value…

A

The stock is overvalued and expected return (Er) < required return (k)

the investor should avoid the stock

How well did you know this?
1
Not at all
2
3
4
5
Perfectly
3
Q

When intrinsic value (IV) > market value (MV)….

A

the stock is undervalued and expected return (Er) > required return (k)

the investor should buy the stock

How well did you know this?
1
Not at all
2
3
4
5
Perfectly
4
Q

What does the expected rate of return do?

A

It is the rate an investor should expect based on the price paid for a security

Step 1 find D1 = Next year’s dividend (Take this year’s dividend x (1+ dividend growth))

Step 2 apply to formula

P = market price paid for a security

g = dividend growth

How well did you know this?
1
Not at all
2
3
4
5
Perfectly
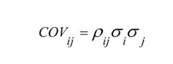
5
Q

Covariance

A

Measures how one security behaves as a direct result of another

ρij = correlation between securities i and j (correlation coefficient)
σi = standard deviation of security i
σj = standard deviation of security j
How well did you know this?
1
Not at all
2
3
4
5
Perfectly
6
Q

What does a positive covariance indicate?

What does a negative covariance indicate?

A

A positive covariance would indicate that two investments would tend to move in the same direction.

A negative covariance would indicate that two investments would tend to move inversely

How well did you know this?
1
Not at all
2
3
4
5
Perfectly
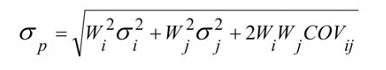
7
Q

Standard Deviation of a Two Asset Portfolio

A

Provides the weighted standard deviation for a two-stock portfolio

Wi = weight of stock 'i'
Wj = weight of stock 'j'
σi = standard deviation of stock 'i'
σj = standard deviation of stock 'j'
COVij = covariance between ‘i’ and ‘j’ - this may not be given, but correlation coefficient will be instead

Will ask “what is the weighted standard deviation of the portfolio?”

How well did you know this?
1
Not at all
2
3
4
5
Perfectly
8
Q

Why do you want to know the standard deviation?

A

to understand how much an investment’s return can vary from the expected return

How well did you know this?
1
Not at all
2
3
4
5
Perfectly
9
Q

Expected return on a multiple asset portfolio

A

Expected return = (weight of investment A x expected return of investment A) + (weight of investment B x expected return of investment B)

How well did you know this?
1
Not at all
2
3
4
5
Perfectly
10
Q

What does Beta do?

A

Provides risk as a measure of volatility relative to that of the market.

helps the investor understand how volatile an investment is relative to a relevant benchmark.

σi = standard deviation of the individual security
ρim= correlation between an individual security and the market
COVim= covariance between an individual security and the market
σm = standard deviation of the market
How well did you know this?
1
Not at all
2
3
4
5
Perfectly
11
Q

Market beta is always assumed to be…

A

1.0

An investment with a beta of around 1.0 will have a similar performance to the market in a given time period.

An investment with a beta of less than 1.0 will be less volatile than the market.

With a beta greater than 1.0, the investment will be more volatile than the market.

How well did you know this?
1
Not at all
2
3
4
5
Perfectly
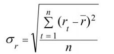
12
Q

Standard Deviation of a Population

A

Identifies the deviation of a single security over a series of periods of return

σr = standard deviation of results from the expected return
Σ = summation of all terms
n = number of periods being considered
rt = actual return
r¯ = average return
How well did you know this?
1
Not at all
2
3
4
5
Perfectly
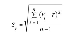
13
Q

Standard Deviation of a Sample

A

Identifies the deviation of a single security over a series of periods of return -

Don’t have to use formula - calculator can solve with just the return of each period

Sr = standard deviation of results from the expected return
Σ = summation of all terms
n = number of periods being considered
rt = actual return
r¯ = average return
How well did you know this?
1
Not at all
2
3
4
5
Perfectly
14
Q

Capital Asset Pricing Model (CAPM)

A

Used to determine a theoretically appropriate required rate of return of an asset.

ri = the investor's required rate of return
rf = risk-free rate (T-Bill rate serves this end)
rm = return of the market (S&P 500 or some broad index) - may be given **_“market premium”_**, which is (rm-rf)
βi = beta of the security being measured for the required return

Question will ask “what will the investor should expect as a return?”

How well did you know this?
1
Not at all
2
3
4
5
Perfectly
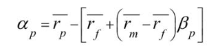
15
Q

Jensen’s Performance Index (Alpha)

A

Measures the performance of a portfolio manager relative to the performance of the market

Basically return of the portfolio minus CAPM or Actual Return - Expected Return

αp = difference of return from the amount required by investors
rp = return of the portfolio
rf = risk-free rate of return
rm = return of the market - may be given **_“market premium”_**, which is (rm-rf)
βp = Beta of the portfolio being measured

Question will ask “what is the alpha on a portfolio”

How well did you know this?
1
Not at all
2
3
4
5
Perfectly
16
Q

If alpha is positive…

If alpha is negative…

If alpha is zero…

A

+ portfolio manager provided a greater return than was expected given the amount of risk the portfolio was exposed to in terms of beta

  • the portfolio manager provided less return than what was expected given the amount of risk the portfolio was exposed to in terms of beta

0 the portfolio manager provided the exact amount of return that was expected given the amount of risk the portfolio was exposed to in terms of beta. This would plot right on that security market line (SML).

17
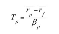
Q

Treynor Ratio

A

Measures the risk adjusted performance of a portfolio manager

Tp = Treynor Index
rp = return of the portfolio
rf = risk free rate of return
βp = beta of the portfolio being measured

Comparing Treynor Ratios: the higher the ratio the greater risk-adjusted rate return

18
Q

If the R2 is substantially high enough (R2 > .7), use the ___________ Ratio

If the R2 is not substantially high enough (R2 < .7), use the ___________ Ratio

A

Treynor

Sharpe

19
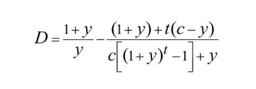
Q

Duration

A

Identifies the length of time the discounted cash flow of a bond remains outstanding

  • c* = rate of interest paid on the coupon
  • t* = number of periods to maturity
  • y* = Yield to Maturity (as a %)
20
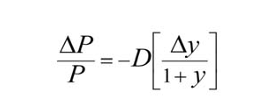
Q

Change of Bond Price

A
ΔP = the dollar change in price
P = price of a bond
ΔP/P= % price change of bond
(-D) = the duration in terms of years used as a negative value
∆<sub>y</sub> = the % change in interest rates. If they go down this number should be negative
1+y = 1 + yield to maturity

If the result is + then the bond price will increase, if the result is - then the bond price will decrease

21
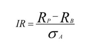
Q

Information ratio

A

Measures return above benchmark divided by standard deviation - using tracing error

RP = return of a portfolio
RB = return of a benchmark
σA = tracking error of active return

the manager with the highest information ratio provided the highest risk-adjusted rate of return.

22
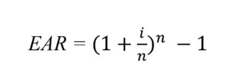
Q

Effective Annual Rate

A

Accounts for intra-year compounding.

i = interest rate
n = number of periods

an investment has a stated return that compounds different than annually

23
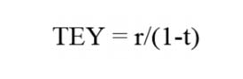
Q

Taxable Equivalent Yield

A

Provides the return that is required on a taxable investment to make it equal to the return on a tax-exempt investment.

  • r* = nominal rate of return (tax exempt rate)
  • t* = investor’s marginal tax rate (as a decimal)

helps an investor choose between a taxable corporate bond and a tax-free municipal bond.

24
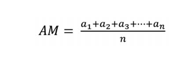
Q

Arithmetic Mean

A

Offers the average of a set of numerical values, calculated by adding them together and dividing by the number of terms in the set

  • a* = rate of return for given period
  • n* = number of periods
25
**Sharpe Ratio**
Measures the risk-adjusted performance of a portfolio in terms of **standard deviation** ``` Sp = sharpe Index rp = return of the portfolio rf= risk free rate of return σp = standard deviation of the portfolio being measured ``` choose the investment with the higher Sharpe Ratio as it will provide a greater risk-adjusted rate of return
26
**Unbiased Expectations Theory (unlikely on test)**
Implies long-term investors will choose to purchase debt instruments on whether forward interest rates are more or less favorable than current short-term interest rates * N* = Term to maturity * 1R1* = Actual current one-year rate today * E*(*2r1*) = Expected one-year rate for period 2 * E*(*Nr1*) = expected one-year rate for years, i = 1 to N
27
Holding Period Return
Provides the total return received from holding an asset or portfolio of assets over a period of time * r* = rate of return for given period * n* = number of periods
28
**Geometric Mean**
States the central number in a geometric progression, also calculable as the nth root of a product of n numbers. * n* = number of periods * r* = rate of return for given period Same as HPR plus the step to do the nth root: [(1 + r1)(1 + r2)(1 + r3]1/n – 1
29
Compare Sharpe, Treynor & Jensen Alpha
Sharpe: risk adjusted return, r2 \< .70, relative value, relevant stat is standard deviation Treynor: risk adjusted return, r2 \> .70, relative value, relevant stat is beta Alpha: excess return, r2 \> .70, absolute value, relevant stat is beta
30
CAPM is used to…
quantify expected return given a market return and beta of the market quantify the investor's required rate of return to plot the security market line (SML)
31
CML v. SML
CML uses standard deviation and efficient frontier SML uses Beta and CAPM