Cтатистика и Метрология Flashcards

(36 cards)

1
Q

Погрешность результата измерения

A

Погрешность результата измерения (англ. error of a measurement) – отклонение результата измерения от истинного (действительного) значения измеряемой величины.
Примечания:

Истинное значение величины неизвестно, его применяют только в теоретических исследованиях.

На практике используют действительное значение величины Xд ,в результате чего погрешность измерения Dxизм определяют по формуле: Dxизм = Хизм - Хд , где Хизм – измеренное значение величины.

Синонимом термина погрешность измерения является термин ошибка измерения, применять который не рекомендуется как менее удачный.

How well did you know this?
1
Not at all
2
3
4
5
Perfectly
2
Q

Систематическая погрешность измерения (англ. systematic error)

A

Это составляющая погрешности результата измерения, остающаяся постоянной или закономерно изменяющаяся при повторных измерениях одной и той же физической величины.

How well did you know this?
1
Not at all
2
3
4
5
Perfectly
3
Q

На какие виды подразделяют систематические погрешности ?

A

В зависимости от характера измерения систематические погрешности подразделяют на постоянные, прогрессивные, периодические и погрешности, изменяющиеся по сложному закону.

How well did you know this?
1
Not at all
2
3
4
5
Perfectly
4
Q

Постоянные систематические ошибки - это ?

A

погрешности, которые длительное время сохраняют свое значение, например в течение времени выполнения всего ряда измерений. Они встречаются наиболее часто.

How well did you know this?
1
Not at all
2
3
4
5
Perfectly
5
Q

Прогрессивные систематические погрешности - это ?

A

непрерывно возрастающие или убывающие погрешности. К ним относятся, например, погрешности вследствие износа измерительных наконечников, контактирующих с деталью при контроле ее прибором активного контроля.

How well did you know this?
1
Not at all
2
3
4
5
Perfectly
6
Q

Систематические периодические погрешности - это ?

A

погрешности, значение которых является периодической функцией времени или перемещения указателя измерительного прибора.

How well did you know this?
1
Not at all
2
3
4
5
Perfectly
7
Q

Погрешности, изменяющиеся по сложному закону - это ?

A

происходят вследствие совместного действия нескольких систематических погрешностей.

How well did you know this?
1
Not at all
2
3
4
5
Perfectly
8
Q

Инструментальная погрешность измерения - это ?

A

Инструментальная погрешность измерения (англ. instrumental error) – составляющая погрешности измерения, обусловленная погрешностью применяемого средства измерений.

How well did you know this?
1
Not at all
2
3
4
5
Perfectly
9
Q

Погрешность метода измерений - это ?

A

Погрешность метода измерений (англ. error of method) – составляющая систематической погрешности измерений, обусловленная несовершенством принятого метода измерений.

How well did you know this?
1
Not at all
2
3
4
5
Perfectly
10
Q

Погрешность (измерения) из-за изменений условий измерения - это ?

A

составляющая систематической погрешности измерения, являющаяся следствием неучтенного влияния отклонения в одну сторону какого-либо из параметров, характеризующих условия измерений, от установленного значения.
Примечание. Этот термин применяют в случае неучтенного или недостаточно учтенного действия той или иной влияющей величины (температуры, атмосферного давления, влажности воздуха, напряженности магнитного поля, вибрации и др.); неправильной установки средств измерений, нарушения правил их взаимного расположения и др.

How well did you know this?
1
Not at all
2
3
4
5
Perfectly
11
Q

Субъективная погрешность измерения - это ?

A

составляющая систематической погрешности измерений, обусловленная индивидуальными особенностями оператора.
Примечания:

Встречаются операторы, которые систематически опаздывают (или опережают) снимать отсчеты показаний средств измерений.

Иногда субъективную погрешность называют личной погрешностью или личной разностью.

How well did you know this?
1
Not at all
2
3
4
5
Perfectly
12
Q

Случайная погрешность измерения (англ. random error) - это ?

A

составляющая погрешности результата измерения, изменяющаяся случайным образом (по знаку и значению) при повторных измерениях, проведенных с одинаковой тщательностью, одной и той же физической величины.

How well did you know this?
1
Not at all
2
3
4
5
Perfectly
13
Q

Абсолютная погрешность измерения (англ. absolute error of a measurement) - это ?

A

погрешность измерения, выраженная в единицах измеряемой величины.

How well did you know this?
1
Not at all
2
3
4
5
Perfectly
14
Q

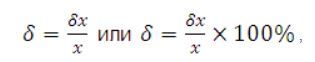
Относительная погрешность измерения (англ. relative error)

A

Относительная погрешность измерения (англ. relative error) - – погрешность измерения, выраженная отношением абсолютной погрешности измерения к действительному или измеренному значению измеряемой величины.
Примечание. Относительную погрешность в долях или процентах находят из отношений, где где: δx - абсолютная погрешность измерений; x- действительное или измеренное значение величины.

How well did you know this?
1
Not at all
2
3
4
5
Perfectly
15
Q

Рассеяние результатов в ряду измерений (англ. dispersion) - это ?

A

несовпадение результатов измерений одной и той же величины в ряду равноточных измерений, как правило, обусловленное действием случайных погрешностей.

Примечания:

Количественную оценку рассеяния результатов в ряду измерений вследствие действия случайных погрешностей обычно получают после введения поправок на действие систематических погрешностей.

Оценками рассеяния результатов в ряду измерений могут быть: - размах, - среднее квадратическое отклонение (экспериментальное среднее квадратическое отклонение), - доверительные границы погрешности (доверительная граница)

How well did you know this?
1
Not at all
2
3
4
5
Perfectly
16
Q

Размах результатов измерений - это ?

A

оценка Rn рассеяния результатов единичных измерений физической n величины, образующих ряд (или выборку из n измерений), вычисляемая по формуле:

Rn=Хmax - Хmin ,

где Хmax и Хmin - наибольшее и наименьшее значения физической величины в данном ряду измерений.

17
Q

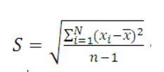
Среднее квадратическое отклонение результатов единичных измерений в ряду измерений (англ. experimental (sample) standard deviation) - это ?

A

характеристика S рассеяния результатов измерений в ряду равноточных измерений одной и той же физической величины, вычисляемая по формуле:

где: xi - результат i-го единичного измерения; x ̅ - среднее арифметическое значение n единичных результатов измерений величины.
Примечание - СКО S является оценкой стандартного отклонения сигма - параметра распределения результатов измерений и одновременно оценкой стандартного отклонения распределения случайной погрешности этих результатов

18
Q

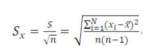
Среднее квадратическое отклонение среднего арифметического значения результатов измерений (англ. experimental (sample) standard deviation) - это ?

A

характеристика Sx рассеяния среднего арифметического значения результатов равноточных измерений одной и той же величины, вычисляемая по формуле:

где: n- число измерений в ряду.

19
Q

Доверительные границы погрешности результата измерений

A

наибольшее и наименьшее значения погрешности измерений, ограничивающие интервал, внутри которого с заданной вероятностью находится искомое (истинное) значение погрешности результата измерений.

20
Q

Поправка (англ. correction) - это ?

A

значение величины, вводимое в неисправленный результат измерения с целью исключения составляющих систематической погрешности.
Примечание. Знак поправки противоположен знаку погрешности. Поправку, прибавляемую к номинальному значению меры, называют поправкой к значению меры; поправку, вводимую в показание измерительного прибора, называют поправкой к показанию прибора.

21
Q

Поправочный множитель (англ. correction factor) - это ?

A

числовой коэффициент, на который умножают неисправленный результат измерения с целью исключения влияния систематической погрешности.

Примечание. Поправочный множитель используют в случаях, когда систематическая погрешность пропорциональна значению величины.

22
Q

Точность результата измерений (англ. accuracy of measurement) - это ?

A

одна из характеристик качества измерения, отражающая близость к нулю погрешности результата измерения.
Примечание. Считают, что чем меньше погрешность измерения, тем больше его точность.

23
Q

Неопределенность измерений (англ. uncertainty of measurement) - это ?

A

параметр, связанный с результатом измерений и характеризующий рассеяние значений, которые можно приписать измеряемой величине.

24
Q

Погрешность метода поверки - это ?

A

погрешность применяемого метода передачи размера единицы при поверке.

25
Погрешность градуировки средства измерений - это ?
погрешность действительного значения величины, приписанного той или иной отметке шкалы средства измерений в результате градуировки.
26
Погрешность воспроизведения единицы физической величины - это ?
погрешность результата измерений, выполняемых при воспроизведении единицы физической величины. Примечание. Погрешность воспроизведения единицы при помощи государственных эталонов обычно указывают в виде ее составляющих: неисключенной систематической погрешности; случайной погрешности; нестабильности за год.
27
Погрешность передачи размера единицы физической величины - это ?
погрешность результата измерений, выполняемых при передаче размера единицы. Примечание. В погрешность передачи размера единицы входят как неисключенные систематические, так и случайные погрешности метода и средств измерений.
28
Статическая погрешность измерений - это ?
погрешность результата измерений, свойственная условиям статического измерения.
29
Динамическая погрешность измерений - это ?
погрешность результата измерений, свойственная условиям динамического измерения.
30
Промах - это ?
погрешность результата отдельного измерения, входящего в ряд измерений, которая для данных условий резко отличается от остальных результатов этого ряда. Примечание. Иногда вместо термина промах применяют термин грубая погрешность измерен
31
Предельная погрешность измерения в ряду измерений - это ?
максимальная погрешность измерения (плюс, минус), допускаемая для данной измерительной задачи.
32
Погрешность результата однократного измерения - это ?
погрешность одного измерения (не входящего в ряд измерений), оцениваемая на основании известных погрешностей средства и метода измерений в данных условиях (измерений). Пример. При однократном измерении микрометром какого-либо размера детали получено значение величины, равное 12,55 мм. При этом еще до измерения известно, что погрешность микрометра в данном диапазоне составляет +/- 0,01 мм, и погрешность метода (непосредственной оценки) в данном случае принята равной нулю. Следовательно, погрешность полученного результата будет равна +/- 0,01 мм в данных условиях измерений.
33
Суммарное среднее квадратическое отклонение среднего арифметического значения результатов измерений - это ?
характеристика S∑ рассеяния среднего арифметического результатов измерений, обусловленная влиянием случайных и неисключенных систематических погрешностей и вычисляемая по формуле, где: - СКО неисключенных систематических погрешностей при равномерном распределении каждой из них.
34
Неисключенная систематическая погрешность - это ?
составляющая погрешности результата измерений, обусловленная погрешностями вычисления и введения поправок на влияние систематических погрешностей или систематической погрешностью, поправка на действие которой не введена вследствие ее малости. Примечания: 1. Иногда этот вид погрешности называют неисключенный (ые) остаток (остатки) систематической погрешности. 2. Неисключенная систематическая погрешность характеризуется ее границами. Границы неисключенной систематической погрешности θ при числе слагаемых N≤3вычисляют по формуле: где θ - граница i-ой составляющей неисключенной систематической погрешности.
35
По какой формуле вычисляется при N\>4 ?
При числе неисключенных систематических погрешностей N≥4вычисления проводят по формуле: , где K - коэффициент зависимости отдельных неисключенных систематических погрешностей от выбранной доверительной вероятности Р при их равномерном распределении (при P = 0,99 K = 1,4). Здесь ТЕТА рассматривается как доверительная квазислучайная погрешность.
36
Что показывает стандартное отклонение ?
Стандартное отклонение (среднеквадратичнео отклонение, standard deviation) показывает, как распределены значения относительно среднего в выборке измерений. Если стандартное отклонение равно нулю - это значит что все значения измерений равны другу другу (10,10,10,10 и т.п). Чем больше значения отдельных измерений отстоят от среднего значения - тем выше СКО. Например у ряда (10,10,10,10) среднее значение равно 10 и СКО равно 0. У ряда (5,2,18,15) среднее значение тоже равно 10, но СКО уже гораздо выше, потому что значения отдельных измерений сильно отличаются от среднего.