cal 2 a Flashcards

(10 cards)

1
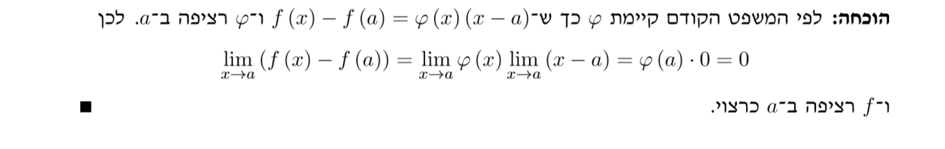
Q
A
How well did you know this?
1
Not at all
2
3
4
5
Perfectly
2
Q
A
How well did you know this?
1
Not at all
2
3
4
5
Perfectly
3
Q

גזירות גוררת רציפות

A
How well did you know this?
1
Not at all
2
3
4
5
Perfectly
4
Q

פרמה

Fermat

A
How well did you know this?
1
Not at all
2
3
4
5
Perfectly
5
Q

הוכחת פרמה

A
How well did you know this?
1
Not at all
2
3
4
5
Perfectly
6
Q

משפט רול

A
How well did you know this?
1
Not at all
2
3
4
5
Perfectly
7
Q

הוכחת משפט רול

A
How well did you know this?
1
Not at all
2
3
4
5
Perfectly
8
Q

לגראנ’ז

A
How well did you know this?
1
Not at all
2
3
4
5
Perfectly
9
Q

הוכחת לגראנ’ז

A
How well did you know this?
1
Not at all
2
3
4
5
Perfectly
10
Q
A

L’Hôpital “0”/0

How well did you know this?
1
Not at all
2
3
4
5
Perfectly