calc 2 midterm content Flashcards

(22 cards)

1
Q

What’s the distance formula?

A

What formula is this for?

How well did you know this?
1
Not at all
2
3
4
5
Perfectly
2
Q

What’s volume of a cone?

A

What volume is this:

How well did you know this?
1
Not at all
2
3
4
5
Perfectly
3
Q

Two ways for function to not be continuous? draw the options or map visually

A

(ig)corner/cusp, vertical tangents

How well did you know this?
1
Not at all
2
3
4
5
Perfectly
4
Q

If f has a local min or max at c, what does that indicate? Does that indicate any min/max? So what?

A

If what?: C must be a critical number of f, doesn’t indicate min or max. So must use a test to find if c is min or max

How well did you know this?
1
Not at all
2
3
4
5
Perfectly
5
Q

What does critical point mean?

A

(ig)f’(c) = 0 or undefined

How well did you know this?
1
Not at all
2
3
4
5
Perfectly
6
Q

What does continuous indicate for f(c)?

A

f(c) exists in the domain of f

How well did you know this?
1
Not at all
2
3
4
5
Perfectly
7
Q

How to find domain?

A

(ig)Plug denom = o and any points will have parenthesis like (-ifinity, 1) U (1,infinity) ;
U is “and”

How well did you know this?
1
Not at all
2
3
4
5
Perfectly
8
Q

How to find critical points from a function?

A

(ig) find the derivative, then equal numerator equal to 0, must factor out like x(x-2) for when the derivative to equal zero. Also check when derivative doesn’t exist by having denom(factor out) = 0, so the derivative doesn’t exist.

How well did you know this?
1
Not at all
2
3
4
5
Perfectly
9
Q

In terms of concavity test, how to know if concaves up or down?

A

(ig)

How well did you know this?
1
Not at all
2
3
4
5
Perfectly
10
Q

What’s an inflection point?

A

(ig)

How well did you know this?
1
Not at all
2
3
4
5
Perfectly
11
Q

What’s antiderivative of sin, cos

A

(ig) anti cos = sin + c
anti sin =-cos +c

How well did you know this?
1
Not at all
2
3
4
5
Perfectly
12
Q

What’s antiderivative of sec^2(x)

A

(ig) tan(x) + c

How well did you know this?
1
Not at all
2
3
4
5
Perfectly
13
Q

What’s antiderivative of sec(x) tan(x)

A

(ig) sec(x) + c

How well did you know this?
1
Not at all
2
3
4
5
Perfectly
14
Q

What’s antiderivative of csc^2(x)

A

(ig) - cot(x) + c

How well did you know this?
1
Not at all
2
3
4
5
Perfectly
15
Q

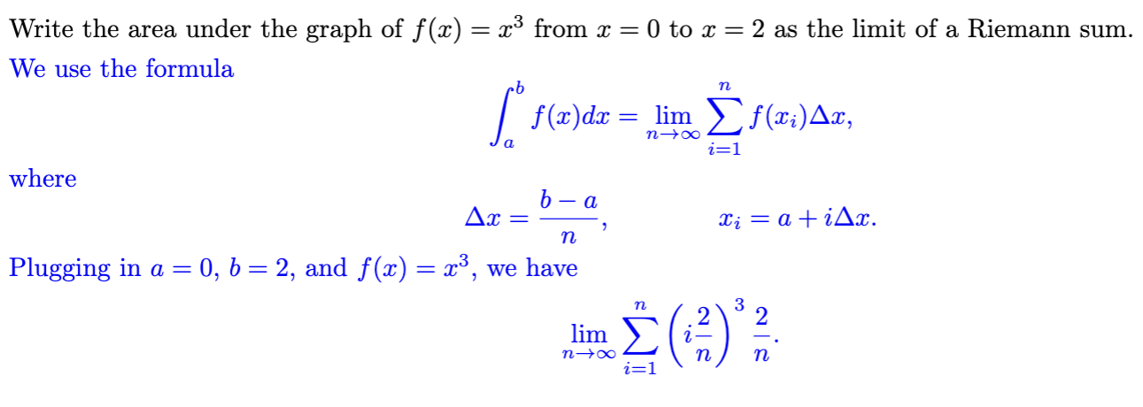
What is the limit of Riemann sum, also what does it mean, also explain how to find the components of it?

A

Define the picture and statement? This thing becomes an exact representation of the area under the curve from a to b.

the one with the limit is it, change of x and xi is shown to

How well did you know this?
1
Not at all
2
3
4
5
Perfectly
16
Q

How to find change of x

A

What is this: b-a/n

17
Q

What is xi and define/explain it? Also what is the i used to calculate it. Don’t give the equation for it.

A

(ig) i is an index that identifies each subinterval in the partition of the interval. xi represents the sample point within each subinterval.

18
Q

How to calculate xi

19
Q

How to calculate trapezoid area?

A

What does this calculate:

20
Q

What pythagorean therorem does sec^2(degree) equal?

A

What pythagorean therorem does tan^2(degree) + 1 equal?

21
Q

What pythagorean therorem does csc^2(degree) + 1 equal?

A

What pythagorean therorem does cot^2(degree) + 1 equal?

22
Q

When do you use chain rule on the integral?

A

(ig) When it’s for for the first fundamental thereom: