Calculations Flashcards

(118 cards)

1
Q

Calculate

True count rate in a GM tube given its dead time

A
How well did you know this?
1
Not at all
2
3
4
5
Perfectly
2
Q

Calculate

Concentration of a radionuclide in a living organism based on intake of a radionuclide from a secondary source

A
How well did you know this?
1
Not at all
2
3
4
5
Perfectly
3
Q

Define and Calculate

Nominal ocular hazard distance

A

The intrabeam axial distance from the laser to the exposed individual’s eyes beyond which the exposure would be less than the MPE.

How well did you know this?
1
Not at all
2
3
4
5
Perfectly
4
Q

Calculate / Equation

Standard deviation of net count rate

A
How well did you know this?
1
Not at all
2
3
4
5
Perfectly
5
Q

Calculate
Intake of an airborne radionuclide

A
How well did you know this?
1
Not at all
2
3
4
5
Perfectly
6
Q

Calculate

Dose rate given activity, emission information, and an attenuating material.

A
How well did you know this?
1
Not at all
2
3
4
5
Perfectly
7
Q

Calculate the number of beam particles per second that are available to interact with an accelerator target

A
How well did you know this?
1
Not at all
2
3
4
5
Perfectly
8
Q

Calculation

Energy of a photon

A
How well did you know this?
1
Not at all
2
3
4
5
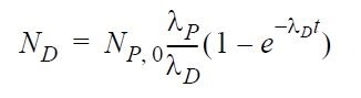
Perfectly
9
Q

Calculate

Activity of a material that has been activated by a neutron flux.

A
How well did you know this?
1
Not at all
2
3
4
5
Perfectly
10
Q

Calculate

Steady state indoor radon concentration (from a floor source emanating radon)

A
How well did you know this?
1
Not at all
2
3
4
5
Perfectly
11
Q

Calculate

The number of transformations of a radionuclide in a source organ per unit of activity taken into the body.

A
How well did you know this?
1
Not at all
2
3
4
5
Perfectly
12
Q

Calculate

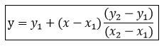
Extrapolation

A
How well did you know this?
1
Not at all
2
3
4
5
Perfectly
13
Q

Calculate

Average power assumed to be delivered to an observer

A
How well did you know this?
1
Not at all
2
3
4
5
Perfectly
14
Q

Calculate

Electric field strength (E)

A
How well did you know this?
1
Not at all
2
3
4
5
Perfectly
15
Q

Define the situation that creates Secular Equilibrium (case 1).

Calculate the number of daughter atoms (ND).

A

The parent has a huge half-life, but the daughter has a small half-life.

λD >> λP

How well did you know this?
1
Not at all
2
3
4
5
Perfectly
16
Q

Calculate

Dose rate from exposure rate

A
How well did you know this?
1
Not at all
2
3
4
5
Perfectly
17
Q

Calculate

Exposure to short-lived radon progeny in working level months per year

A
How well did you know this?
1
Not at all
2
3
4
5
Perfectly
18
Q

Calculate

Number of ion pairs produced in an ion chamber.

Charge deposited in an ion chamber.

A
How well did you know this?
1
Not at all
2
3
4
5
Perfectly
19
Q

Calculate

Specific activity

A
How well did you know this?
1
Not at all
2
3
4
5
Perfectly
20
Q

Calculate

Alpha particle’s range in air (E < 4 MeV)

A

Rα = 0.56E

Rα = range in cm of air at 1 atm and 15°C.

E = energy (MeV)

How well did you know this?
1
Not at all
2
3
4
5
Perfectly
21
Q

Calculate

Annual collective effective dose in the control room of an accelerator facility.

A
How well did you know this?
1
Not at all
2
3
4
5
Perfectly
22
Q

Calculate

Airborne activity (correcting for radon activity) in a downwind location from a fire in a facility containing plutonium.

A
How well did you know this?
1
Not at all
2
3
4
5
Perfectly
23
Q

Calculate

Attenuation/transmission of primary X-ray beam from shielding of medical/dental facilities.

(NCRP 145/147)

A
How well did you know this?
1
Not at all
2
3
4
5
Perfectly
24
Q

Calculate

Gain of a microwave antenna

A
How well did you know this?
1
Not at all
2
3
4
5
Perfectly
25
_Calculate_ Observed gross count rate measuring beta-emitting particles near work activities presenting an airborne hazard
26
_Calculate_ Fraction of energy converted to photons via bremsstrahlung
27
_Calculate_ DAC level in an isolated room where there was an inadvertent release of source material
28
_Calculate_ The rate a radionuclide is being introduced into the atmosphere as a leak from the reactor coolant system.
29
_Calculate_ Unshielded absorbed dose rate in rad hr-1 from a shipping container emitting gamma radiation
30
_Calculate_ Dose to an organ over a period of time following a beta-emitter uptake in (µCi g-1) (0.511 shortcut)
31
_Calculate_ Maximum power output given exposure time, MPE, and beam diameter
32
_Calculate / Equation_ Optimize gross and background counting times
33
_Calculate_ Number of pulses per second
34
_Calculate_ Risk of death using the relative risk model
35
_Calculate_ Exposure rate in a free-air ionization chamber
36
How do you calculate far field power density (W) for a microwave antenna?
37
_Thumb Rule_ Exposure rate using the 6CEN rule
38
_Describe / Calculate_ Type II Error
* Falsely concluding activity is less than the physically significant activity (PSA) when there is in fact activity actually present. * Occurs with a probability β (typically 5%).
39
_Calculate_ MDA at a 95% confidence level
40
_Calculate_ Neutron dose equivalent in rem received by a technician during a criticality incident
41
# _Define / Calculate_ Type I Error
* Falsely concluding activity is present in a sample above the established physically significant activity (PSA) when in fact the activity is zero. * Occurs with a probability α (typically 5%).
42
_Calculate_ Intake Retention Factor
43
_Calculate_ Internal dose to an individual who consumes contaminated fish from a river contaminated by an effluent with radionuclides
44
# Define the situation that creates No Equilibrium (case 3). Calculate the number of daughter atoms (ND).
The parent half-life is shorter than the daughter half-life. λD \< λP
45
_Calculate_ The activity of the parent radionuclide in the source organ
46
_Calculate_ Beta particle's range in air (E \> 2.5 MeV)
Rβ = 530E - 106 Rβ = range in mg cm-2 E = max energy (MeV)
47
State the equation to calculate activity (A).
48
Demonstrate the effect of environmental changes on a free-air ionization chamber
49
_Calculate_ Standard deviation for activity
50
# _Define and Calculate_ Relative risk
Relative risk ⇒ Measure of association in cohort studies.
51
# _Define and Calculate_ Excess relative risk
``` # * Define ⇒ Percentage change in risk. * Ratio of the excess risk of a specified effect to the probability of the same effect in the unexposed population. ``` ERR = RR – 1 * Note ⇒ “Minus 1” because you are removing 100% of the unexposed population from the total (exposed and unexposed) population.
52
_Calculate_ Number of expected fatal cancers (given a population and HE)
53
_Calculate_ Internal dose for an individual who walks on contaminated soil from plutonium ground depositions.
54
_Calculate_ Standard deviation in background count rate
55
_Calculate_ Surface deposition of an airborne radionuclide
56
# _Define and Calculate_ Absorbed dose
Average energy (ϵ) absorbed in a volume element of a material divided by the mass (m) of that material.
57
_Calculate_ Population variance
58
_Calculate_ CEDE from an intake “q” based on ALI
59
_Calculate_ Estimated radon progeny activity concentration in a room given source count rate and sampling information (e.g., flow rate, filter retention, sample time).
60
_Calculate_ Dose rate from a plane source
61
_Calculate_ Effective removal rate constant of a radionuclide in a ventilated room
62
# _Define and Calculate_ Emerging irradiance from a laser
The energy emitted at the surface where the beam exits the laser unit
63
_Calculate_ Average power of a microwave antenna
64
# _Define and Calculate_ Excess absolute risk
* Excess absolute risk ⇒ Absolute change in risk for a given dose. * The difference between exposed and control (unexposed, background). * EAR = Incidence rate exposed group – Incidence rate unexposed group
65
_Calculate_ CEDE (given activity, average beta energy, mass, and effective decay constant) (51.1 shortcut)
66
_Calculate_ Corrected CDE based on a change to the AMAD size of a particle.
67
# _Define and Calculate_ Probability of Causation
* NIH produces probability of causation tables. * If PC is greater than 50%, the worker/survivor is eligible for compensation from the Department of Labor.
68
_Calculate_ Total energy deposited by a laser over a given period of time
69
_Calculate_ Inhalation intake following ground deposition of an airborne radionuclide
70
_Calculate_ Incidence of genetic defects
71
_Calculate_ Exposure rate using the 0.5CEN rule
72
_Calculate_ Average airborne radioactive material concentration given data from a stack releasing radioactive gas
73
Determine if TLVs were exceeded for UV light exposure
74
_Calculate_ Relative probable error of a sample count
75
_Calculate_ Average accelerator beam current
76
Calculate an beta particle's range in air (0.01 MeV \< E \< 2.5 MeV).
Rβ = 412E1.265 - 0.0954lnE Rβ = range in mg cm-2 E = max energy (MeV)
77
_Calculate_ Activity of a sample that has been irradiated for time “τ” and removed from the irradiation source for time “t”.
78
_Calculate_ Bremsstrahlung dose rate in air from an organ (mass of tissue) containing a given concentration of a beta-emitter.
79
_Calculate_ Dose rate from a line source
80
_Calculate_ CEDE based on a volumetric concentration and DAC exposure
81
_Calculate_ Dose rate from X-rays produced 90º from a high-Z target
82
_Calculate_ CDE based on a volumetric concentration and DAC exposure
83
_Calculate_ Alpha particle's range in air (4 MeV \< E \< 8 MeV)
Rα = 1.24E - 2.62 Rα = range in cm of air at 1 atm and 15°C. E = energy (MeV)
84
_Calculate_ Factor of KERMA change at an interface between two materials
85
_Calculate / Equation_ Minimum level of detection
86
_Calculate_ Alarm setpoint for release of radioactive gases from a reactor coolant system.
87
_Calculate_ Standard deviation for efficiency when determined from a standard of known activity
88
_Calculate_ Activity release rate from an emergency ventilation system through a high efficiency particulate (HEPA) air filter
89
_Calculate_ Maximum eye exposure time when scanning a laser across an audience
90
_Calculate_ Airborne concentration of a radionuclide that has become airborne in a room ventilated in a room with a stack exhaust
91
_Calculate_ Approximate exposure from X-ray scatter to the radiographic technologist standing nearby the patient
92
Calculate Relative risk of genetic defects (per generation) caused by a radiation dose to a population
93
_Calculate_ Thyroid uptake and the resulting committed dose from an inhalation of 131I
94
_Calculate_ Mass of air in a free-air ionization chamber
95
_Calculate_ Activity from gross and background counts
96
# _Define and Calculate_ KERMA
Kinetic Energy Released in MAss The sum of the initial kinetic energies of all the charged particles liberated by uncharged ionizing radiation in a sample of matter divided by the mass of the sample.
97
_Calculate_ Chi-squared
98
_Calculate_ Specific exposure rate constant.
99
_Calculate_ Activity of 131I needed to be administered to a patient to deliver a prescribe dose
100
_Calculate_ Standard deviation in gross counts
101
_Calculate / Equation_ Critical level
102
_Calculate_ Irradiance of a microwave antenna
103
# _Define and Calculate_ Magnetic field strength (H)
The force exerted on a moving charge or current.
104
_Calculate_ Initial release rate of a radionuclide from a stack, given mass and specific activity
105
State the equation to calculate the number of daughter atoms (ND) when both the parent and daugher undergo radioactive decay.
106
_Calculate_ Working levels based on equilibrium factors and radon concentration
107
_Calculate_ Absorbed dose to the thyroid from an intake of 131I (µCi) (0.511 shortcut)
108
_Calculate_ Correction factor for a pulsed laser
109
# _Define and Calculate_ Poynting Vector
* The vector (cross) product of the electric and magnetic field strengths. * Symbol ⇒ E×H * Units ⇒ W m-2
110
_Calculate_ Standard deviation in activity when calculated as a function from gross and background counts
111
# _Define and calculate_ Nominal hazard zone
Area within which radiation levels from direct or scattered radiation exceed the maximum permissible exposure (MPE).
112
_Calculate_ Maximum concentration in a room with a primary to atmosphere leak that is being ventilated.
113
_Calculate_ Time between midpoint of pulses in an accelerator
114
# _Define and Calculate_ Intrinsic detector efficiency
* Ratio of number of pulses recorded to the number of radiation quanta incident on the detector. * Optimization relies only on properties directly affecting the quanta incident to detector (e.g., window material, thickness).
115
_Calculate_ Intake activity given the time post intake, activity, and intake retention factor.
116
# _Define and Calculate_ Specific Effective Energy
The radiation-factor-weighted energy absorbed per unit mass of the target organ (T), per transformation of the nuclide in the source organ (S).
117
_Calculate_ Compton electron energy (given incident photon energy and angle of photon deflection)
118
_Calculate / Equation_ Sample variance