Calculus 1 Flashcards

(36 cards)

1
Q

What is the relationship between continuity and differentiability?

A

Differentiability implies continuity, but NOT vice versa.

This DOES NOT mean that if f is continuous at x=c then f is differentiable at x=c.

How well did you know this?
1
Not at all
2
3
4
5
Perfectly
2
Q

What are the three conditions under which a function cannot be differentiable?

A
How well did you know this?
1
Not at all
2
3
4
5
Perfectly
3
Q

For derivatives, what is the Power Rule?

A
How well did you know this?
1
Not at all
2
3
4
5
Perfectly
4
Q

For derivatives, what is the Constant Rule?

A
How well did you know this?
1
Not at all
2
3
4
5
Perfectly
5
Q

For derivatives, what is the Constant Multiple Rule?

A
How well did you know this?
1
Not at all
2
3
4
5
Perfectly
6
Q

For derivatives, what is the Sum Rule?

A

The Difference Rule works simliarly. The derivative of a difference is equal to the difference of the individual derivatives.

How well did you know this?
1
Not at all
2
3
4
5
Perfectly
7
Q

What is the derivative of the Sine function?

A
How well did you know this?
1
Not at all
2
3
4
5
Perfectly
8
Q

What is the derivative of the Cosine function?

A
How well did you know this?
1
Not at all
2
3
4
5
Perfectly
9
Q

What is the derivative of the constant ‘e’ raised to the power of ‘x’ ?

A
How well did you know this?
1
Not at all
2
3
4
5
Perfectly
10
Q

What is the derivative of the natural log of ‘x’ ?

A
How well did you know this?
1
Not at all
2
3
4
5
Perfectly
11
Q

For derivatives, what is the Product Rule?

A
How well did you know this?
1
Not at all
2
3
4
5
Perfectly
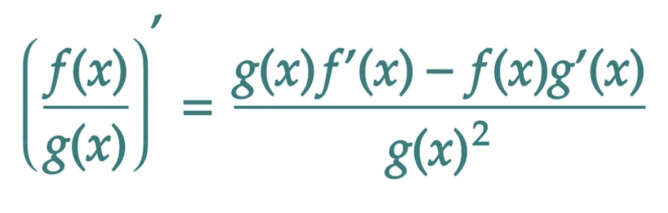
12
Q

For derivatives, what is the Quotient Rule?

A
How well did you know this?
1
Not at all
2
3
4
5
Perfectly
13
Q

What is the derivative of the Tangent function?

A
How well did you know this?
1
Not at all
2
3
4
5
Perfectly
14
Q

What is the derivative of the Cotangent function?

A
How well did you know this?
1
Not at all
2
3
4
5
Perfectly
15
Q

What is the derivative of the Cosecant function?

A
How well did you know this?
1
Not at all
2
3
4
5
Perfectly
16
Q

What is the derivative of the Secant function?

17
Q

In Calculus, what is the Chain Rule?

18
Q

What is the derivative of:

19
Q

What is the derivative of the Common Logarithm?

The Common Logarithm is a logarithm with a base of 10.

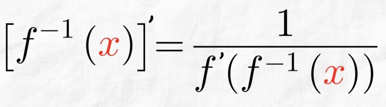
20
Q

What’s the relationship between the derivative of the inverse of a function and the original function?

21
Q

What is the derivative of the Inverse Sine function?

22
Q

What is the derivative of the Inverse Cosine function?

23
Q

What is the derivative of the Inverse Tangent function?

24
Q

What is the Squeeze Theorem?

25
What is the Intermediate Value Theorem?
In simpler terms, if a continuous function goes from one y-value to another, it must take on every y-value in between at some point.
26
What is a useful formula for finding limits of functions as their input approaches infinity? (Not L’Hôpital’s rule)
If possible, manipulate the function so that all of the terms containing variables are of the following form:
27
What is the definition of continuity?
A function f(x) is continuous at a point x = c if the limit of f(x) as x approaches c exists, is equal to f(c), and f(c) is defined.
28
What is the Sum Property of Limits?
## Footnote This property works similarly for subtraction (the Difference Property of Limits)
29
What is the Product Property of Limits?
30
What is the Quotient Property of Limits?
31
What is the limit of a function multiplied by a constant?
32
What is the limit of a composite function?
## Footnote The outer function must be continuous at the limit of the inner function
33
L'Hôpital's Rule
L'Hôpital's rule is a powerful tool in calculus used to evaluate limits of indeterminate forms like 0/0 or ∞/∞. It states that if the limit of a quotient results in one of these indeterminate forms, you can find the limit by taking the derivatives of the numerator and denominator separately and then evaluating the limit of the resulting quotient. ## Footnote If, after computing L'Hôpital's rule you still receive indeterminate form, it is possible that using the rule again on the new expression will result in a legitmate answer. This can be chained several times.
34
Mean Value Theorem
35
Definition of a Definite Integral
36
Fundamental Theorem of Calculus
The Fundamental Theorem of Calculus (FTC) shows that differentiation and integration are inverse operations, meaning each operation undoes the other. There are two parts: the first part explains that you can find an antiderivative by integrating a function, and the second part shows you can calculate a definite integral by finding the difference between the values of its antiderivative at the endpoints of the interval.