Capacitors Flashcards

(36 cards)

1
Q

Define Capacitance

A

Charge stored per unit Volt [F]

How well did you know this?
1
Not at all
2
3
4
5
Perfectly
2
Q

What do the gradient and area under this graph represent?

A

Gradient → Capacitance

Area → Work done (Energy Stored)

How well did you know this?
1
Not at all
2
3
4
5
Perfectly
3
Q

What is wrong with this?

A

C = capacitance → not the charge!!!

How well did you know this?
1
Not at all
2
3
4
5
Perfectly
4
Q

When building a capacitor how do you maximize the capacitance?

A
  1. Increase the area of the plates
  2. Decrease the plate separation
  3. Place dielectric between plates
How well did you know this?
1
Not at all
2
3
4
5
Perfectly
5
Q

What does it mean if the relative permittivity of a dielectric (εr) is 5.0?

A

The capacitor stores 5x more charge with the dielectric between the plates!

How well did you know this?
1
Not at all
2
3
4
5
Perfectly
6
Q

How does adding a dielectric increase the capacitance of a capacitor?

A
  1. Dielectric contains polarised molecules
  2. They align with the field between the plates
  3. Bigger negative charge attracts more electrons onto negative plate
  4. Repels more electrons away from positive plate
  5. V same but Q has increased
How well did you know this?
1
Not at all
2
3
4
5
Perfectly
7
Q

What happens if the dielectric is removed?

(Capacitor still connected to battery)

A
  1. Polarised molecules removed
  2. Some electrons leave negative plate
  3. Attracts more electrons to positive plate
  4. Q has decreased but V same
  5. C decreases (C=Q/V)
How well did you know this?
1
Not at all
2
3
4
5
Perfectly
8
Q

What happens if the dielectric is removed?

(When the Capacitor is disconnected from battery)

A
  1. Polarised molecules removed
  2. But charge is trapped on plates
  3. Same Q but with lower C
  4. V increases (V=Q/C)
How well did you know this?
1
Not at all
2
3
4
5
Perfectly
9
Q

How does this capacitor charge?

(When switch 1 is closed)

A
  1. Electrons flow from the negative terminal of the battery
  2. To the connected parallel plate (right plate)
  3. Electrons are repelled from the opposite plate (left)
  4. And attracted to the positive terminal of the battery
  5. Charge across Parallel plates
How well did you know this?
1
Not at all
2
3
4
5
Perfectly
10
Q

Define time constant

A

Time constant is how long it takes for a capacitor to…

  1. Charge to 63% of max charge (0.63Q0)
  2. Discharge 63% of Q0 (down to 0.37Q0)
How well did you know this?
1
Not at all
2
3
4
5
Perfectly
11
Q

Define half life of a capacitor

A

Time constant is how long it takes for a capacitor to…

  1. Charge to 50% of max charge (0.50Q0)
  2. Discharge 50% of Q0 (down to 0.50Q0)
How well did you know this?
1
Not at all
2
3
4
5
Perfectly
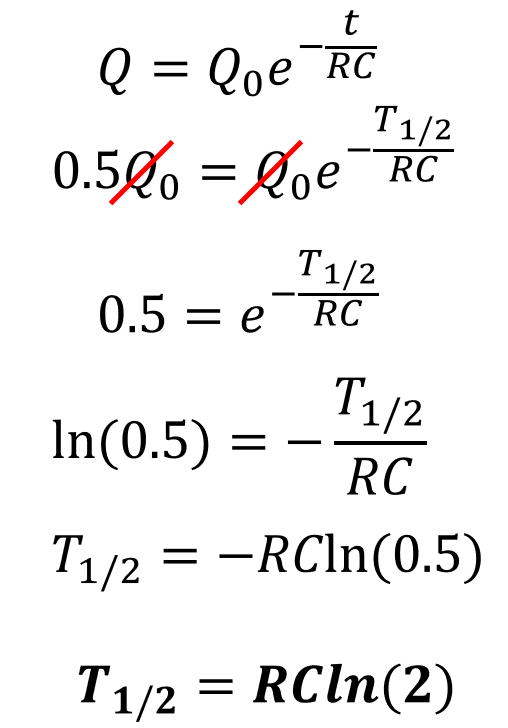
12
Q

How is a Capacitor’s half life calculated?

A
How well did you know this?
1
Not at all
2
3
4
5
Perfectly
13
Q

What factors affect the time constant of a circuit?

A
  1. The resistance of the components in the circuit (Capacitor R=0)
  2. Capacitance of the capacitor
How well did you know this?
1
Not at all
2
3
4
5
Perfectly
14
Q

Complete this discharging curve for a capacitor

A
How well did you know this?
1
Not at all
2
3
4
5
Perfectly
15
Q

Complete this discharging curve for a capacitor

A
How well did you know this?
1
Not at all
2
3
4
5
Perfectly
16
Q

Complete this discharging curve for a capacitor

17
Q

Complete this charging curve for a capacitor

18
Q

Complete this charging curve for a capacitor

19
Q

Complete this charging curve for a capacitor

20
Q

How do you read off the time constant from this graph?

A

Read off time when charge (or current or voltage) has decreased to 37% initial

21
Q

How do you read off the time constant from this graph?

A

Read off time when charge (or current or voltage) has increased to 63% final

22
Q

Explain why the I-t graph is exponential when a capacitor discharges

A
  1. Potential difference across capacitor drives large current through resistor
  2. Charge across plates decreases
  3. Potential difference across the plates decreases
  4. Current gets smaller and smaller
23
Q

Explain why the I-t graph is exponential when a capacitor charges

A
  1. Battery drives current round circuit
  2. Charge build up on capacitor plates
  3. Potential difference builds up across plates
  4. Difference in PD between battery and capacitor gets less
  5. So smaller push on electrons
  6. Smaller current
24
Q

What is wrong here?

A

80% is the decrease in charge (∆Q)

So it discharges to 20% of initial Q=0.2Q0

25
How do you make a **capacitor charge/discharge at a constant rate**?
Use a **variable resistor** Decreasing resistance To keep **charging/discharging current constant**
26
How do the graphs change if a **capacitor is charging at a constant rate**?
Current → Constant Voltage and Charge → Linear
27
How do the graphs change if a **capacitor is discharging at a constant rate**?
Current → Constant Voltage and Charge → Linear
28
How do you **show Q=0.37Q0 after 1 time constant?**
**Set t=RC**
29
What is wrong here?
Capacitor is **discharging at a constant rate** So **current is constant** **Can't use Q=Q0e-t/RC equations**
30
How does the potential difference of the **resistor change as the capacitor charges**?
**NOTE: VR+VC=V0**
31
How does the potential difference of the **resistor change as the capacitor discharges**?
**NOTE: VR+VC=V0**
32
For a **discharging capacitor,** what does the **gradient of the Q-t** graph give?
**Current** at that instant
33
For a **charging capacitor,** what does the **gradient of the Q-t** graph give?
**Current** at that instant
34
For a **discharging capacitor,** what does the **area of the I-t** graph give?
**Charge lost** in that region
35
For a **charging capacitor,** what does the **area of the I-t** graph give?
**Charge gained** in that region
36
How does this capacitor discharge? (When switch 2 is closed)
1. **Electrons flow** from the negative plate (right) 2. Through the resistor 3. **To the other plate** (left) 4. Decreasing charge difference across plates