Capital Structure Flashcards

(51 cards)

1
Q

Why not use the WACC approach? What to use instead?

A
  • APV, because
  • flotation costs on debt issuance
  • effects of debt maturity
  • specifics of bond being floated
How well did you know this?
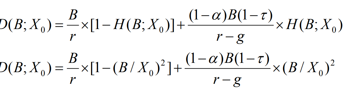
1
Not at all
2
3
4
5
Perfectly
2
Q

When should you use each of the 3 ‘“tools” to assess “financial benefits” of changing corporate leverage?

A
How well did you know this?
1
Not at all
2
3
4
5
Perfectly
3
Q

2 ways to calculate WACC:

A
How well did you know this?
1
Not at all
2
3
4
5
Perfectly
4
Q

Calculating TSV (Tax Shield Value) with the interest coverage ratio (k)

A
How well did you know this?
1
Not at all
2
3
4
5
Perfectly
5
Q

Difference yield vs expected return on debt

A
  • the yield is a “promised rate of return.”
  • i.e. bond is priced to yield XY percent
  • We value bonds discounting promised payments at the yield
  • We can value TSV by discounting “promised tax savings” at the yield
How well did you know this?
1
Not at all
2
3
4
5
Perfectly
6
Q

Perpetuity and annuity formulas

A
How well did you know this?
1
Not at all
2
3
4
5
Perfectly
7
Q

Problem with estimating TSV by taking the tax rate and multiplying it by debt value?

A

Only true for the unrealistic case where 100% of debt value comes from deductible interest expense (e.g. consol bond with infinite maturity)

How well did you know this?
1
Not at all
2
3
4
5
Perfectly
8
Q

Fixed coupon bonds - higher yields - how does that affect TSV?

A
  • Holding fixed coupons, bonds with higher yields generate higher TSV/Debt—provided the firm
    does not get into a tax loss situation –> the deeper the original issue discount, the higher the TSV
  • but: In many real-world settings higher yields imply higher risk of distress—and distress is associated with low corporate tax rate.
How well did you know this?
1
Not at all
2
3
4
5
Perfectly
9
Q

Formula for modelling uncertain cash flows

A
How well did you know this?
1
Not at all
2
3
4
5
Perfectly
10
Q

Value of a levered firm with debt coupon B and EBIT X - including Vu, TSV, and BC (Leland model)

A
How well did you know this?
1
Not at all
2
3
4
5
Perfectly
11
Q

Valuation of debt with the Leland model

A
How well did you know this?
1
Not at all
2
3
4
5
Perfectly
12
Q

What is the definition of a bond yield?

A

PROMISED payments (IRR) - not EXPECTED IRR - key difference

The yield(y) is whatever rate I need to discount promised payments to explain the observed bond price –> D = B/y

How well did you know this?
1
Not at all
2
3
4
5
Perfectly
13
Q

Leland model - putting all the pieces together - formula for V-leverd with V-unlevered, TSV, and BC

A
How well did you know this?
1
Not at all
2
3
4
5
Perfectly
14
Q

Marginal benefits equal

A

marginal costs

How well did you know this?
1
Not at all
2
3
4
5
Perfectly
15
Q

Black Scholes differential equation (not expiring - this is an ordinary differential equation, if it expires, it is a partial differential equation, which is more difficult to solve)

A
How well did you know this?
1
Not at all
2
3
4
5
Perfectly
16
Q

How do you get to this equation:

A

By “constructing” a risk-free portfolio - Black-Scholes used a trick there to get to this equation (i.e. long position in this stock, short there, etc.)

How well did you know this?
1
Not at all
2
3
4
5
Perfectly
17
Q

Initial guess for Leland model and substitute guess into the ODE

A
How well did you know this?
1
Not at all
2
3
4
5
Perfectly
18
Q

Get from subbing into ODE to

A
How well did you know this?
1
Not at all
2
3
4
5
Perfectly
19
Q

Boundary conditions for solving the ODE

A
How well did you know this?
1
Not at all
2
3
4
5
Perfectly
20
Q

The KMV-Merton Model

A
  • KMV Corporation - first to apply market measures to credit risk based upon options pricing tools.
  • KMV was acquired by Moody’s for $70M in 2002 and now markets its credit risk metrics under the title of MKMV.
  • Intuition: Instead of BS, use market price of equity to infer “distance to default.”
How well did you know this?
1
Not at all
2
3
4
5
Perfectly
21
Q

Estimating Default Probability - Formula and what it means

A
  • T is maturity date T
  • V is value of debt + equity
  • No coupons
  • F is Face Value
  • sigma is annualized volatility
  • mu is the expected growth in asset value
22
Q

Pricing of Risky and Hybrid Debt - Black-Scholes assumed asset value follows a geometric Brownian motion. So at any future date t - formula for Vt at V0 with GMB

A
  • little t is an arbitrary date
  • T is the maturity date (not yet in the formula)
23
Q

Get from GBM formula for Vt to “Distance to Default” formula:

24
Q

to exploit the put-call parity equation to find the face value F of the bonds (also by using a Risk Free Zero Coupon Bond)

25
26
How to value the TSV of e.g. a 10-year bond of 100m with the coupon yielding 6% with 10% taxes?
27
28
29
30
List the key parameter inputs into the Leland Model. For each parameter, list some of the real-world data you might look to in order to calibrate your model so that it lines up reasonably well with observable empirical features.
31
V-levered based on V-unlevered + TSV with APV, formula:
32
33
34
35
36
APV for Constant Coverage Ratio
37
APV: Constant Perpetual Debt
38
Moral hazard...
* ...(debt) contracts change the behavior * If no debt already outstanding: “Max value of claim held by current shareholders” → Undertake all positive NPV projects. * Today: Outstanding debt biases equity away from NPV rule. * This is a form of moral hazard: contracts signed changes behavior of an economic agent (here equity).
39
Why would one do a negative NPV merger?
* Positive/negative externalities on current lenders * NPV=NPVCS+NPVCL * --> e.g. NPV of project is -10m, but because everything becomes riskier, -15m NPV for lenders, thus +5m for shareholders * “If market rationally anticipates such behaviour at time bond is floated, shareholders bear the cost in terms of lower equity value.” * “In a rational debt market, equity will try to pre-commit against behaving badly in the future via covenants that limit discretion of equity.” * Notice—this gives RATIONAL support to CEOs and CFOs taking a “stakeholder” approach. Want to pre-commit against hurting company stakeholders.
40
Debt Covenants - “Debt Overhang” - Lesson from Moral Hazard:
* Message 1: Levered equity is biased against real investments if some of the NPV is captured by holders of outstanding debt. * Message 2: If it is impossible to write binding covenant committing firm to (only) undertake positive NPV projects, then equity finance looks more attractive. * Message 3: Although covenants are typically viewed as good for lenders, covenants can make shareholders better off if they move equity back to using NPV rule.
41
More evidence that debt overhang concern influences firms: Growth firms carry lower debt
42
Separating equilibrium:
An equilibrium where the actions taken by the informed parties fully reveal their private information.
43
Pooling equilibrium:
An equilibrium where the informed parties take the same action, so investors cannot infer anything about the firm based on actions.
44
Debt finance and asymmetric info - vs equity financing
* When there is asymmetric info between insiders and investors, finance with securities that are least sensitive to the private info—generally debt. * In this simple example the I.O.U. written by either type of firm was worth 100—insensitive to private info. * Investors are less vulnerable to “lemons problem” with debt than with equity since equity value is (generally) more sensitive to private info.
45
Signaling thru Debt
* CEO has superior info regarding probability distribution of future cash flows, e.g. thickness of left tail of distribution. * CEO bears private costs of distress/bankruptcy. * CEO can signal belief in high/stable cash flows by taking on high leverage. * CEO of low quality firm has higher expected distress costs per dollar of debt—will not mimic high type. * Evidence: Large positive abnormal returns in reaction to debt-for-equity substitutions.
46
Signaling thru cash distributions
* It is costly to go external for funds: flotation costs; hassle; covenants; investors demand premia for agency costs or asymmetric information concerns. * Willingness to distribute funds is similar to willingness to take on debt. Signals confidence. * Low quality firms find in costly to mimic the payouts/dividends of high quality firms. * Market reaction to announcement of increase in payouts is generally positive.
47
Yield estimation
1) Conjecture bond rating and find yield 2) Calculate implied EBIT/INT ratio 3) Get implied bond rating 4) If consistent with conjecture in step 1, stop 5) Otherwise, try another bond rating
48
Characteristics indicative of high benefits to recap transaction?
* High taxable income before interest expense (high profit margin and lack of non-debt tax shields) * Stable taxable income * Operating in jurisdiction with high federal and local corporate income tax rates—with projected future tax rates remaining high * Access to long-maturity debt markets * Strong bargaining position relative to underwriters
49
What is “adverse selection”?
* If Good, SIV would turn down your offer. * If Toxic, SIV would accept your offer. * So, if you offer 6.5, SIV will accept only if the CDO is toxic. This is “adverse selection.” * When there is asymmetric information between the buyer and seller of a financial asset the market can break down. * Only the Toxic assets are traded. * The market for higher quality assets freezes.
50
What makes a signal credible?
* The marginal cost of the signaling action must be higher for the Low type. * High types should choose the lowest level of the costly signal sufficient to separate from the low ability types. * Same story functions in financial markets.
51