APGAR score system
0-1-2-
Appearance : blue - acrocyanosis ( pink body, blue extremities)- blue
Pulse: none- < 100 - >100
Grimace : no response - Facial movement - try to pull away
Activity: limp - flexion of extremities- active movement
RR: none- slow, irregular- active crying
normal HR and RR in newborns
HR: 120-160 bpm
RR: 30-50 breaths/min
Once the baby is born, apgar good, whats next?
Erythromycin ointment
Why do you give eythromycin ointment? MOA ?
Erythromycin mechanism: binds to the Ribosomal 50S unit, blocking protein synthesis and translation of RNA.
Is to prevent “ ophtalmia neonatorum” due to gonorrhea which can lead to blindness.
Gonorrhea: Gram negative diplococcus, pili, chocolate apgar
Pharmacokinetics of erythromycin?
Demethylation in the liver, Cytochrome P450 system, excretion through bile.
MOA of Vitamin K , factors?
II, VII,IX,X, C,S
Vitamin K act as a cofactor, so the inactive factors + Vit K in presence of gamma glutamyl transferase are converted into active factors
Neonates lack enteric bacteria, which produces vit K and breast mil not a good source.
Mechanism of vit K: gamma carboxylation, adds carboxyl group to glutamate.
Before discharging newborn, what is the checklist that have to be done?
Contraindications of breastfeeding
Classic Galactosemia
Mom:
HIV
untreated TB
herpetic lesion in breast
Varicella < 5 days prior to or within 2 days of delivery
Specific maternal meds
Chemotherapy ongoing, radiation therapy
Active use of illicit drugs and alcohol
Benefits of breastfeeding infant
Improved immunity
Improved GI function
Prevent Otitis media, gastroenteritis, respiratory illness, UTI
Decrease risk of childhood Ca, DM type I and necrotizing enterocolitis.
Newborns usually lose weight in the first week of life but SHOULD NEVER BE MORE TAN 10%. T/F
True
Timing of physiologic jaundice and mechanisms
2-4 days of life
When do you use phototherapy for newborn jaundice?
unconjugated bilirubin >20mg/dl
When do you use plasma exchange for newborn jaundice?
total bilirubin levels >25 mg/dl or there are signs of neurological impairment
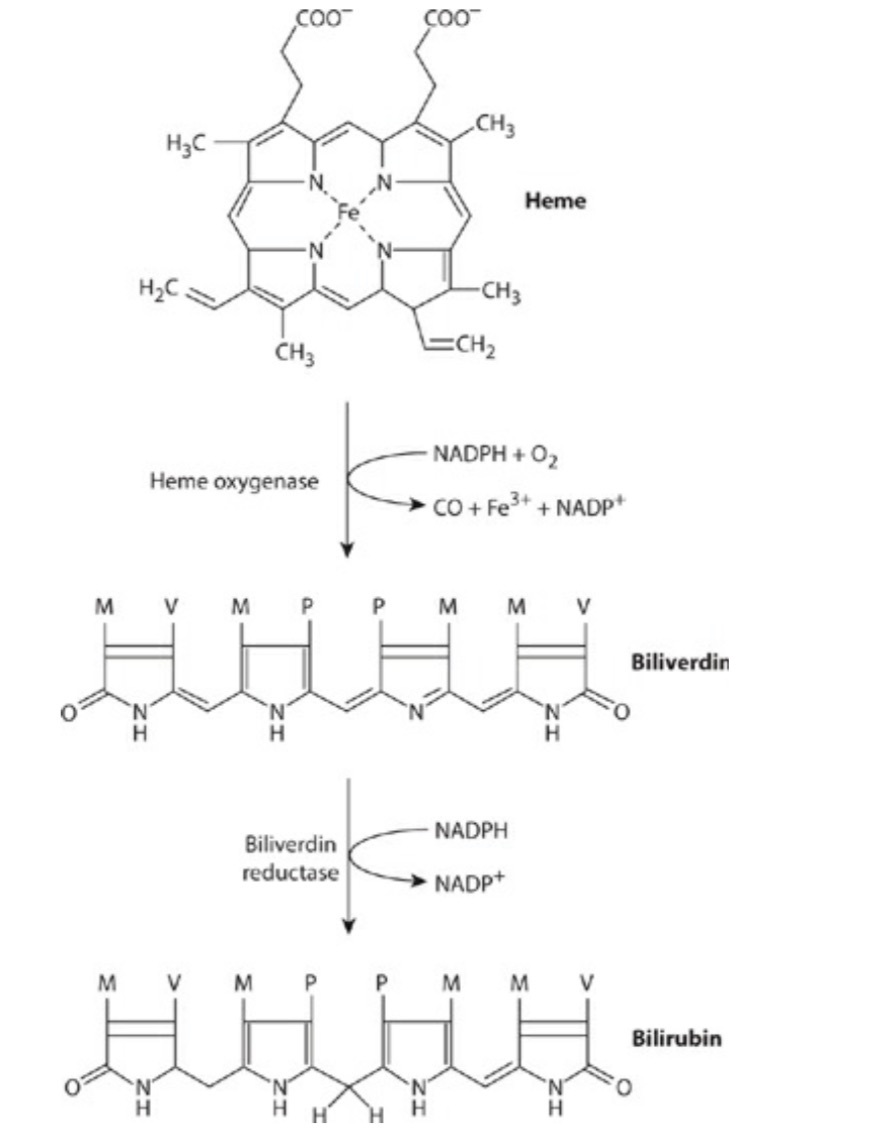
Pathway of bilirrubin

Genetic disorders of bilirrubin metabolism

Difference between Breastfeeding failure jaundice and breast milk jaundice

yellowish or green stool in a 4 day old
NORMAL.
Normal infants: pass dark, sticky meconium during 1st 2 days of life after which they should transition to yellowish or green stool of ingesting adequate milk
If inadequate stooling-> ↓ bilirubin excretion and ↑ enterohepatic circulation of bilirubin
Normal # of wet diapers in newborn?
Normal infant: during 1st week of life, normal no. of wet diapers=infants age in days eg. 4 days old child=>/= 4 wet diapers
Treatment of breastfeeding failure jaundice?
Check if its technique, or any mom factor that is limiting adequate breastfeeding. Improve latch.
↑ frequency and duration of feeds to stimulate milk production, maintain adequate hydration, and promote bilirubin excretion in feces.
Neonates should breastfeed ~8-12 times a day (every 2-3 hours) for >10-20 minutes per breast during the first month of life.
Definition of Hyperbilirubinemia in infants ≥35 weeks gestational age (GA)
total serum or plasma bilirubin (TB) level >95th percentile on the hour-specific Bhutani nomogram
Deifnition of Severe neonatal hyperbilirubinemia
TB >25 mg/dL (428 micromol/L). It is associated with an increased risk for developing bilirubin-induced neurologic dysfunction (BIND),
Causes of pathologic hyperbilirrubinemia

Cephalohematoma what is it? mechanism to produce jaundice?
hemorrhage collection on the outside of skull
complication of vaccum assisted deliveries
blood needs to be reabsorbed by the body -> increased bilirrubin causing jaundice.
Risk factors for Hyperbilirrubinemia
Jaundice in first 24 hours of life
ABO incompatibility
Cepahlohematoma
Previous sibbling needing phototherapy
Exclusive breastfeeding.