CFA Quick Sheet / Formulas Flashcards

(166 cards)

1
Q

1.1) Quantitative Methods - Holding Period Return

A
How well did you know this?
1
Not at all
2
3
4
5
Perfectly
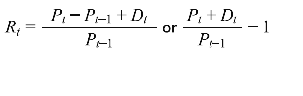
2
Q

1.2) Annualised Return

A
How well did you know this?
1
Not at all
2
3
4
5
Perfectly
3
Q

1.3) Quantitative Methods - Continuously Compounded Return

A

where 10% for example will be 0.1 for Rcc or HPR

How well did you know this?
1
Not at all
2
3
4
5
Perfectly
4
Q

1.4) Quantitative Methods - Arithmetic Mean and Geometric Mean

A

Arithmetic Mean - Sum of all observation values in sample / population, divided by number of observations.

Geometric Mean - Used when calculating investment returns over multiple periods or to measure compound growth rates.

How well did you know this?
1
Not at all
2
3
4
5
Perfectly
5
Q

1.5) Quantitative Methods - Geometric Mean Return

A
How well did you know this?
1
Not at all
2
3
4
5
Perfectly
6
Q

1.6) Quantitative Methods - Harmonic Mean

A
How well did you know this?
1
Not at all
2
3
4
5
Perfectly
7
Q

1.6b) Quantitative Methods - Assuming at least some variation in a set of data, order from largest to smallest: Arithmetic Mean, Geometric Mean, Harmonic Mean

A

1) Largest: Arithmetic Mean,
2) Middle: Geometric Mean,
3) Smallest: Harmonic Mean

How well did you know this?
1
Not at all
2
3
4
5
Perfectly
8
Q

1.6c) Quantitative Methods - Relationship between Arithmetic mean, geometric mean, and harmonic mean

A
How well did you know this?
1
Not at all
2
3
4
5
Perfectly
9
Q

1.7) Quantitative Methods - Trimmed Mean (x %)

A

Exclude highest and lowest x/2 percent of observations.

How well did you know this?
1
Not at all
2
3
4
5
Perfectly
10
Q

1.8) Quantitative Methods - Winsorized Mean (x %)

A

Substitute values for highest and lowest x/2 percent of observations.

How well did you know this?
1
Not at all
2
3
4
5
Perfectly
11
Q

1.9) Quantitative Methods - Variance

A

Average of Squared Deviations from the mean. (Standard Deviation is the square root of variance).

How well did you know this?
1
Not at all
2
3
4
5
Perfectly
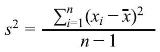
12
Q

1.10) Quantitative Methods - Target Downside Deviation

A
How well did you know this?
1
Not at all
2
3
4
5
Perfectly
13
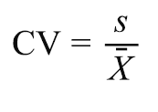
Q

1.11) Quantitative Methods - Coefficient of Variation

A

Measures dispersion relative to mean; allows comparison across data sets.

How well did you know this?
1
Not at all
2
3
4
5
Perfectly
14
Q

1.12) Quantitative Methods - Bayes’ Formula

A

The numerator can be simplified to the probability of A and B (A n B)

How well did you know this?
1
Not at all
2
3
4
5
Perfectly
15
Q

1.13) Quantitative Methods - Expected Return

A
How well did you know this?
1
Not at all
2
3
4
5
Perfectly
16
Q

1.14) Quantitative Methods - Probabilistic Variance

A
How well did you know this?
1
Not at all
2
3
4
5
Perfectly
17
Q

1.15) Quantitative Methods - Correlation

A

Correlation: covariance divided by product of the two standard deviations

How well did you know this?
1
Not at all
2
3
4
5
Perfectly
18
Q

1.16) Quantitative Methods - Expected Return of a 2-stock portfolio

A
How well did you know this?
1
Not at all
2
3
4
5
Perfectly
19
Q

1.17) Quantitative Methods - Variance of a 2-stock portfolio

A
How well did you know this?
1
Not at all
2
3
4
5
Perfectly
20
Q

1.18) Quantitative Methods - Roy’s Safety First Ratio

A
How well did you know this?
1
Not at all
2
3
4
5
Perfectly
21
Q

1.19) Quantitative Methods - Normal Distribution - % of observations that fall between…

A
How well did you know this?
1
Not at all
2
3
4
5
Perfectly
22
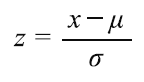
Q

1.20) Quantitative Methods - Computing Z-scores

A

Z-score standardises observations from normal distribution; represents number of standard deviations a given observation is from population mean.

How well did you know this?
1
Not at all
2
3
4
5
Perfectly
23
Q

1.21) Quantitative Methods - Central Limit Theorem

A

When selecting simple random samples of size n from population with mean mu and finite variance (sigma squared), the sampling distribution of sample mean approaches normal probability distribution with mean mu and variance equal to sigma squared over n as the sample becomes large.

How well did you know this?
1
Not at all
2
3
4
5
Perfectly
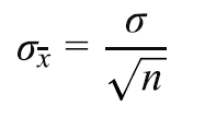
24
Q

1.22) Quantitative Methods - Standard error with population variance known.

A
How well did you know this?
1
Not at all
2
3
4
5
Perfectly
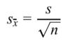
25
1.23) Quantitative Methods - Standard error with population variance unknown.
26
1.24) Quantitative Methods - Resampling Techniques: Jacknife
Calculate multiple sample means, each with one observation removed, then calculate standard deviation of the sample means.
27
1.25) Quantitative Methods - Resampling Techniques: Bootstrap
Bootstrapping involves repeatedly resampling, with replacement, from the original sample to create many simulated samples, which are then used to estimate the distribution, bias, or standard error of a statistic. Commonly, the standard deviation of the sample means are calculated.
28
1.26) Quantitative Methods - Null and alternative hypothesis
Null - the hypothesis containing the equals sign. Alternative - concluded if there is sufficient evidence to reject the null.
29
1.27) Quantitative Methods - Type 1 error
Rejection of the null when it is actually true. This is a "false alarm" - i.e. we thought something special happened (the alternative), when actually it didn't. The significance level "alpha" is the probability of making a type 1 error.
30
1.28) Quantitative Methods - Type 2 error
Failure to reject the null when it is actually false. This is a "missed signal" - i.e. when something special did happen, but we missed it. This is the % of time we miss the truth.
31
1.28b) Quantitative Methods - Power of a test
The power of a test is the probability that we catch the signal when something actually happens. Power of a test = 1 - type 2 error.
32
1.29) Quantitative Methods - Hypothesis Tests Table
33
1.30) Quantitative Methods - Linear Regression Model
where Y is the dependent variable, X is the independent, b0 is the intercept, b1 is the slope coefficient, epsilon is the error term.
34
1.31) Quantitative Methods - Linear Regression Model: Estimated intercept
35
1.32) Quantitative Methods - Linear Regression Model: Estimated slope
36
1.33) Quantitative Methods - Analysis of Variance (ANOVA) - SST
Total Sum of Squares (SST) = sum of squared differences between actual Y-values and the mean of Y
37
1.34) Quantitative Methods - Analysis of Variance (ANOVA) - SSR
Sum of squares regression (SSR) = sum of squared distances between predicted Y-values and the mean of Y
38
1.35) Quantitative Methods - Analysis of Variance (ANOVA) - SSE
Sum of squared errors (SSE) = sum of squared distances between actual and predicted Y values
39
1.35) Quantitative Methods - Coefficient of Determination
The percentage of variation in the dependent variable explained by variation in the independent variable.
40
2.1) Financial Statement Analysis - Financial Statement Analysis Framework - the six steps
Financial Statement Analysis Framework: 1. State the objective and context 2. Gather data 3. Process the data 4. Analyse and interpret the data 5. Report conclusions or recommendations 6. Update the analysis
41
2.2) Financial Statement Analysis - Auditor Opinions
Auditor Opinions Unqualified (unmodified, clean): Reasonable assurance that financial statements are free from material omissions and errors. Qualified: Exceptions to accounting principles. Adverse: Statements are not presented fairly or do not conform with accounting standards. Disclaimer of opinion: Auditor is unable to express an opinion.
42
2.3) Financial Statement Analysis - Five step Revenue Recognition model
Revenue Recognition Five-step revenue recognition model: 1. Identify contracts 2. Identify performance obligations 3. Determine transaction price 4. Allocate price to obligations 5. Recognize when (as) obligations are satisfied
43
2.4) Financial Statement Analysis - Basic EPS
Basic EPS calculation does not consider effects of any dilutive securities in computation of EPS:
44
2.5) Financial Statement Analysis - Diluted EPS
45
2.6) Financial Statement Analysis - Diluted EPS - extended equation
46
2.7) Financial Statement Analysis - Marketable Security Classifications
Marketable Security Classifications Held-for-trading: fair value on balance sheet; dividends, interest, realized and unrealized G/L recognized on income statement. Available-for-sale: fair value on balance sheet; dividends, interest, realized G/L recognized on income statement; unrealized G/L is other comprehensive income. Held-to-maturity: amortized cost on balance sheet; interest, realized G/L recognized on income statement.
47
2.8) Financial Statement Analysis - Cash Flows From Operations (CFO): Direct and Indirect Method
Cash Flows From Operations (CFO) Direct method: start with cash collections (cash equivalent of sales); cash inputs (cash equivalent of cost of goods sold); cash operating expenses; cash interest expense; cash taxes. Indirect method: start with net income, subtracting back gains and adding back losses resulting from financing or investment cash flows, adding back all noncash charges, and adding and subtracting asset and liability accounts that result from operations.
48
2.9) Financial Statement Analysis - Free Cash Flow
Free cash flow (FCF) measures cash available for discretionary purposes and is equal to operating cash flow less net capital expenditures.
49
2.10) Financial Statement Analysis - Critical Ratios: Common Size B/S, I/S, CF/S, and Horizontal
Common-size financial statement analysis: * Common-size balance sheet expresses all balance sheet accounts as a percentage of total assets. * Common-size income statement expresses all income statement items as a percentage of sales. * Common-size cash flow statement expresses each line item as a percentage of total cash inflows or as a percentage of net revenue. Horizontal common-size financial statement analysis: expresses each line item relative to its value in a common base period.
50
2.11) Financial Statement Analysis - Critical Ratios: Liquidity Ratios
51
2.11b) Financial Statement Analysis - Critical Ratios: Current Ratio - how does it change when the numerator and denominator change by an equal absolute amount?
52
2.12) Financial Statement Analysis - Critical Ratios: Liquidity Ratios - defensive interval
53
2.13) Financial Statement Analysis - Receivables Turnover formula
Receivables relates to sales.
54
2.14) Financial Statement Analysis - Inventory Turnover formula
Inventory relates to COGS.
55
2.15) Financial Statement Analysis - Payables Turnover formula
56
2.16) Financial Statement Analysis - Days of Sales Outstanding (DSO) formula
57
2.17) Financial Statement Analysis - Days of Inventory on Hand (DOH) formula
58
2.18) Financial Statement Analysis - Number of Days of Payables formula
59
2.19) Financial Statement Analysis - Cash Conversion Cycle formula
60
2.20) Financial Statement Analysis - Total Asset Turnover formula
61
2.21) Financial Statement Analysis - Fixed Asset Turnover formula
62
2.22) Financial Statement Analysis - Working Capital Turnover formula
63
2.23) Financial Statement Analysis - Gross Profit Margin formula
64
2.24) Financial Statement Analysis - Operating Profit Margin formula
Operating Profit can be approximated by EBIT. revenue can be approximated by net sales.
65
2.25) Financial Statement Analysis - Net Profit Margin formula
66
2.26) Financial Statement Analysis - Return on total assets (or total capital)
67
2.27) Financial Statement Analysis - Debt-to-Equity ratio
68
2.28) Financial Statement Analysis - Total Debt Ratio
69
2.29) Financial Statement Analysis - Interest Coverage
70
2.30) Financial Statement Analysis - Fixed Charge Coverage
71
2.31) Financial Statement Analysis - Sustainable Growth Rate of a company
72
2.32) Financial Statement Analysis - retention rate (wrt dividends)
73
2.33) Financial Statement Analysis - what do liquidity ratios and operating performance ratios indicate
Liquidity ratios indicate a company's ability to meet its short-term liabilities. Operating Performance Ratios indicate how well management operates the business.
74
2.34) Financial Statement Analysis - Return on Equity - Traditional DuPont Analysis
The first equation is the "Traditional DuPont Equation"
75
2.35) Financial Statement Analysis - Return on Equity - Extended DuPont Equation
76
2.36) Financial Statement Analysis - Inventory Account - LIFO results in...
In periods of rising prices and stable or increasing inventory quantities:
77
2.37) Financial Statement Analysis - Inventory Account - in an inflationary world, FIFO results in...
In periods of rising prices and stable or increasing inventory quantities:
78
2.38) Financial Statement Analysis - Long-lived assets capitalising vs expensing: difference between income variability, profits, assets, and equity
79
2.39) Financial Statement Analysis - Revaluation on Long-lived assets
80
2.40) Financial Statement Analysis - Leases
81
2.41) Financial Statement Analysis - Pensions
82
2.42) Financial Statement Analysis - Share-based Compensation
83
2.43) Financial Statement Analysis - Sales-Based Pro Forma Model
84
3.1) Economics - Breakeven and Shutdown (operate in short term, shutdown in long term)
85
3.2) Economics - Market Structures
86
3.3) Economics - Savings, Investment, Fiscal Balance, and Trade Balance
87
3.4) Economics - Business Cycle Phases
Expansion; peak; contraction; troug
88
3.5) Economics - Economic Indicators
89
3.6) Economics - Expansionary and Contractionary Policy
Monetary Policy is expansionary when the policy rate is less than the neutral interest rate (real trend of economic growth & inflation target) and contractionary when the policy rate is greater than the neutral interest rate. Fiscal policy is expansionary when a budget deficit is increasing or surplus is decreasing, and contractionary when a budget deficit is decreasing or surplus is increasing.
90
3.7) Economics - Balance of Payments
91
3.8) Economics - Regional Trading Agreements
92
3.9) Economics - Foreign Exchange Rates (simple equation of ER and what the intuition is)
93
3.10) Economics - Real Exchange Rate
94
3.11) Economics - No-arbitrage Forward Exchange Rate
95
3.12) Economics - Exchange Rate Regimes
96
4.1) Corporate Issuers - Corporate Governance: stakeholder groups, and key board committees
97
4.2) Corporate Issuers - Types of Capital Investment Projects
98
4.3) Corporate Issuers - administrative steps to determine whether to allocate Capital
99
4.4) Corporate Issuers - Return on Invested Capital (ROIC)
100
4.5) Corporate Issuers - Real Options
101
4.6) Corporate Issuers - Weighted Average Cost of Capital
where ps is preferred shares, and ce is common equity
102
4.7) Corporate Issuers - Capital Structure Theories
103
5.1 - Equity Investments - Well-Functioning Security Markets (two types of efficiency)
104
5.2 - Equity Investments - Margin Purchases: Leverage factor = ? Leverage return = ?
105
5.3 - Equity Investments - Margin Call Price
106
5.4 - Equity Investments - Computing Index Prices
107
5.5 - Equity Investments - Types of Orders
108
5.6 - Equity Investments - Market Structures: Quote / Order Driven, and broker markets
109
5.7 - Equity Investments - Forms of EMH
110
5.8 - Equity Investments - Industry and Competitive Analysis - 5 factors to consider
111
5.9 - Equity Investments - Five Competitive Forces
112
5.10 - Equity Investments - PESTLE Analysis
113
5.11 - Equity Investments - Competitive Strategies (by companies)
114
5.12 - Equity Investments - One-period Valuation Model
115
5.13 - Equity Investments - Infinite Period Dividend Discount Models
116
6.1) Fixed Income - Price, yield, coupon relationships: Bond price and yield relationship.
117
6.2) Fixed Income - relationship between coupon and yield, and what this means for whether the bond is at a discount or a premium to par
118
6.3) Fixed Income - What is constant-yield price trajectory
119
6.4) Fixed Income - Other things equal, a lower coupon rate and a longer maturity make a bond price...
120
6.5) Fixed Income - Basic features of Bonds: - Issuer, - Maturity, - Par Value, - Coupon, - Seniority, - Contingency provisions
121
6.6) Fixed Income - Cash Flow Structures: - Bullet, - Fully amortising, - Partially amortising, - Sinking Fund, - Floating-rate, - Index-linked
- Index-linked cash flow structure - index-linked (coupon rate adjusted) or capital-indexed (principal adjusted).
122
6.7) Fixed Income - Embedded Options: - Callable, - Putable, - Convertible, and - Warrants
123
6.8) Fixed Income - Bond Markets: - Domestic Bonds, - Foreign Bonds, - Eurobond Market, and - Global Bonds
124
6.9) Fixed Income - Bond Issuance: - Underwritten offering, - Best Efforts offering, and - Shelf registration
125
6.11) Fixed Income - Bond Pricing - Full price
Full price = Dirty price. Full price includes accrued interest. This is the actual amount paid in a transaction.
125
6.10) Fixed Income - Repurchase Agreements - Definition, - Repo rate, - Initial Margin, - Haircut
126
6.12) Fixed Income - Bond Pricing - Accrued Interest
127
6.13) Fixed Income - Bond Pricing - Flat price
Flat price = Clean price. Flat price excludes accrued interest. This is the quoted market price of the bond on BBG.
128
6.14) Fixed Income - Bond Pricing - Matrix Pricing
129
6.15) Fixed Income - Yield Measures: - Effective Yield - Semi-annual bond basis - Current yield - Simple yield - Yield to call - Yield to worst
130
6.16) Fixed Income - Yield Spreads: - G spread, - I Spread, - Z spread, - Option-adjusted spread
131
6.17) Fixed Income - Floating Rate Notes: - Quoted Margin, - Required margin or discount margin
132
6.18) Fixed Income - Forward and Spot rates - Definition of a forward rate - Example of a forward rate "1y3y", - Example of a spot-forward relationship
133
6.19) Fixed Income - Interest Rate Risk Interest rate risk has two components: ...
134
6.19) Fixed Income - Define Macaulay Duration
Macaulay Duration is the weighted average time it takes to receive a bond's cash flows, considering both coupons and principal. At the Bond's Macaulay Duration, the effects of price risk (capital/gain from interest rate changes) and reinvestment risk (coupons reinvested at different rates) exactly offset each other.
135
6.20) Fixed Income - Are Bond investors with long horizons more concerned with market (price) risk or reinvestment risk?
136
6.21) Fixed Income - Are Bond investors with short horizons more concerned with market (price) risk or reinvestment risk?
137
6.22) Fixed Income - Modified Duration
138
6.23) Fixed Income - Price Change estimates based on duration only are improved by adjusting for ...
139
6.24) Fixed Income - Approximate convexity
140
6.25) Fixed Income - Effective Duration
141
6.26) Fixed Income - Credit Risk and Analysis: Bottom-up credit analysis factors: 5 Cs
142
6.27) Fixed Income - Credit Risk and Analysis: Top-down credit analysis factors:
143
6.28) Fixed Income - Expected loss =
144
6.29) Fixed Income - Difference between secured bonds and unsecured bonds
145
6.30) Fixed Income - Asset Backed Securities Residential MBS, Agency RMBS, nonagency RMBS
146
6.31) Fixed Income - Internal credit enhancement
147
6.32) Fixed Income - prepayment risk
148
6.33) Fixed Income - CMOs What is the collateral?
CMOs: pass-through MBS are collateral. May have sequential-pay or PAC/Support structure.
149
6.34) Fixed Income - Commercial MBS - what is the collateral
Commercial MBS: non-recourse mortgages on commercial properties are collateral
150
6.35) Fixed Income - Credit Card ABS
Credit Card ABS: Credit card receivables are collateral
151
6.36) Fixed Income - CDOs
152
7.1) Derivatives - Arbitrage and Replication - Law of one price - Two assets with uncertain returns can be combined in a portfolio that will have a ...
153
7.2) Derivatives - Derivatives Values vs Prices
154
7.3) Derivatives - Forward Contract Value
155
7.4) Derivatives - Futures vs Forwards
Forwards are not standardised, they are customised (and are traded OTC and subject to counterparty credit risk due to the lack of clearing house unless s.t. central clearing mandate). There is no mark-to-market. The forward price is set to make the contract fair, hence why the value is zero at the outset.
156
7.5) Derivatives - Forward Rate Agreements (FRA)
157
7.6) Derivatives - Interest rate swaps may be replicated by ...
158
7.7) Derivatives - Options Long call, Short call, long put, short put is the investor overall long or the underlying short asset exposure?
159
7.8) Derivatives - Intrinsic value of a call option, and intrinsic value of a put option
160
7.9) Derivatives - American vs European Options
161
7.10) Derivatives Factors that affect option values The answer is structured as a table, the first column is the factor, and the second and third columns are Calls and Puts, respectively.
162
7.11) Derivatives - why do the factors that affect options in general, not impact deep-in-the-money European puts?
Because European Puts can only be exercised at expiry, hence, deep-in-the-money European puts have almost no time value, their price is dominated by intrinsic value (≈ K − S). As a result, sensitivities like volatility, time decay, and interest rates have minimal impact compared to movements in the underlying price.
163
7.12) Derivatives - Put-Call parity for European options at time t:
Call + risk free Bond = underlying stock + put
164
7.13) Derivatives - rearranging the put-call parity, how can we create synthetic holdings in: - the underlying stock, S, - the put, - the call, - the risk-free bond
165
7.14) Derivatives - Put-call Forward Parity