What is the product of this reaction?

acetal formation

What is the product of this reaction?

cyanohydrin formation

What is the product of this reaction?

conjugate addition

What is the product of this reaction?

nitrile heterolysis

Which types of nucleophiles do direct addition? (1,2)
organometallics and hydrides
Will NaCN do direct addition or conjugate addition?
conjuage addition (1,4)
what is the purpose of a catalyst?
to decrease activation energy and increase the reaction rate
What do you need for an acid catalyzed formation of an acetal?
a weak nucleophile in excess (H2O, CH3OH, alcohols, etc)
an acid catalyst (H2SO4, HCl, etc)
Will acetals form in basic conditions?
No
how do you reverse the formation of an acetal?
(acetal –> carbonyl)
add H2O in excess
(this is a hydrolysis reaction)
do weak nucleophiles prefer direct (1,2) or conjugate (1,4) addition?
conjugate (1,4)
What is the product of this reaction?

imine/hydrazone/oxime formation

What is the product of this reaction?

reductive amination

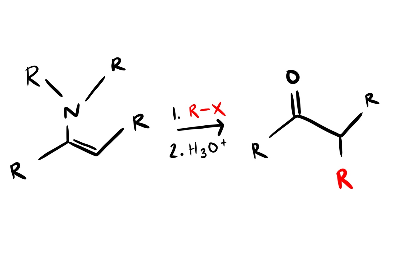
What is the product of this reaction?


What is the product of this reaction?

enamine formation

What is the product of this reaction?


How can you reverse an imine?
add excess H2O under acidic conditions
How do you identify a hemiacetal molecule?
Look for carbon atoms that are bonded to two oxygen atoms. If one of the two oxygen atoms is part of an OH group, the molecule is a hemiacetal.
How do you identify an acetal molecule?
Look for carbon atoms that are bonded to two oxygen atoms. If both of the oxygen atoms are part of OR groups, the molecule is an acetal.
What is the first step in an acid-catalyzed reaction?
proton transfer from the acid-catalyst
What is the first step in the hydrolysis of nitriles under basic conditions?
(reversing nitriles)
the base will dissociate into X+ and OH-, the OH- will attack the partitally positive carbon
What is the product of this reaction?

Wolff-Kishner Reduction
NOT TESTED ON MECHANISM

What types of nucleophiles prefer conjugate additon? (1,4)
Weak Nucleophiles
(HCN, CH2CH3SH, NaCN)
What is the first step in a base-catalyzed reaction?
The base (-OH) takes a proton off of the weak nucleophile to make it a strong nucleophile
i.e. a proton transfer from the nucleophile to the base