Ch. 5: Lipid Structure and Function Flashcards

(96 cards)

1
Q

lipids are a major component of one of the most important structural parts of the cell, which is …

A

the phospholipid bilayer

How well did you know this?
1
Not at all
2
3
4
5
Perfectly
2
Q

what 2 things does the unique ability of phospholipids to form a bilayer allow for?

A
  1. allows our cell to function as they do
  2. separates the cell interior from the surrounding environment
How well did you know this?
1
Not at all
2
3
4
5
Perfectly
3
Q

each of the membrane components is an amphipathic molecule, define amphipathic

A

it has both hydrophilic and hydrophobic regions

How well did you know this?
1
Not at all
2
3
4
5
Perfectly
4
Q

for membrane lipids, what is the hydrophilic region and what is the hydrophobic region

A

hydrophilic: polar head

hydrophobic: fatty acid tails

How well did you know this?
1
Not at all
2
3
4
5
Perfectly
5
Q

what happens to membrane lipids when placed in aqueous solution?

A

they spontaneously form structures that allow the hydrophobic regions to group internally while the hydrophilic regions interact with water

this leads to the formation of various structures, including liposomes, micelles, and the phospholipid bilayer

How well did you know this?
1
Not at all
2
3
4
5
Perfectly
6
Q

what are phospholipids composed of? (4)

A
  1. a phosphate + 2. an alcohol –> comprise the polar head group

joined to a 3. hydrophobic fatty acid tail by 4. phosphodiester linkages

one or more fatty acids are attached to a backbone to form the hydrophobic tail region

How well did you know this?
1
Not at all
2
3
4
5
Perfectly
7
Q

how can phospholipids be further classified?

A

according to the backbone on which the molecule is built

How well did you know this?
1
Not at all
2
3
4
5
Perfectly
8
Q

are all sphingolipids phospholipids?

A

no

How well did you know this?
1
Not at all
2
3
4
5
Perfectly
9
Q

what are lipid properties determined by?

A

the degree of saturation in fatty acid chains and the functional groups to which the fatty acid chains are bonded

How well did you know this?
1
Not at all
2
3
4
5
Perfectly
10
Q

how do the hydrocarbon chains (long-chain fatty acids) of lipids differ? (2)

what do these characteristics determine?

A
  1. degree of saturation
  2. length

determine how the overall molecule will behave

How well did you know this?
1
Not at all
2
3
4
5
Perfectly
11
Q

how will fully saturated fatty acids behave? (4)

A
  1. will only have single bonds
  2. have greater van der Waals forces
  3. have a more stable overall structure
  4. they form solids at room temperature
How well did you know this?
1
Not at all
2
3
4
5
Perfectly
12
Q

when is the carbon atom in a fatty acid considered saturated?

A

when it is bonded to four other atoms, with no pi bonds

How well did you know this?
1
Not at all
2
3
4
5
Perfectly
13
Q

how do unsaturated fatty acids behave? (3)

A
  1. includes one or more double bonds
  2. double bonds introduce kinks into the fatty acid chain, making it difficult for them to stack and solidify
  3. tend to be liquids at room temperature
How well did you know this?
1
Not at all
2
3
4
5
Perfectly
14
Q

how do unsaturated fatty acids behave in the phospholipid bilayer?

A

phospholipids with UNsaturated fatty acid tails make up more FLUID regions of the phospholipid bilayer

How well did you know this?
1
Not at all
2
3
4
5
Perfectly
15
Q

what determines the properties of phospholipids, glycerophospholipids, and sphingolipids at the surface of the cell membrane? (2)

A
  1. a variety of fatty acid tails
  2. different head groups
How well did you know this?
1
Not at all
2
3
4
5
Perfectly
16
Q

defn + aka + 2 ex + char (2) + diagram: glycerophospholipids

A

aka: phosphoglycerides

defn: the phospholipids that contain a glycerol backbone bonded by ester linkages to two fatty acids and by a phosphodiester linkage to a highly polar head group

ex: phosphatidylcholine is a glycerophospholipid with a choline head group; phosphatidylethanolamine is a glycerophospholipid with a ethanolamine head group

char: 1. the head group can be positively charged, negatively charged, or neutral
2. their membrane surface properties make them very important to cell recognition, signaling, and binding
3. fatty acid chains of varying length and saturation, results in a variety of functions

How well did you know this?
1
Not at all
2
3
4
5
Perfectly
17
Q

what is the ABO blood typing system based on?

A

cell-surface antigens on red blood cells

How well did you know this?
1
Not at all
2
3
4
5
Perfectly
18
Q

what group of lipids do these cell-surface antigens belong to?

A

they are some of the most well-known sphingolipids!

How well did you know this?
1
Not at all
2
3
4
5
Perfectly
19
Q

defn + char: sphingolipids

A

defn: have a sphingosine or sphingoid (sphingosine-like) backbone and have long-chain, nonpolar fatty acid tails and polar head groups

char: 1. sites of biological recognition at the cell surface
2. can be bonded to various head groups and fatty acids

How well did you know this?
1
Not at all
2
3
4
5
Perfectly
20
Q

what makes a sphingolipids also a phospholipid?

A

containing a phosphodiester linkage

How well did you know this?
1
Not at all
2
3
4
5
Perfectly
21
Q

defn: glycolipid

A

any lipid linked to a sugar

How well did you know this?
1
Not at all
2
3
4
5
Perfectly
22
Q

why are some sphingolipids considered to be glycolipids?

A

because they contain glycosidic linkages to sugars

How well did you know this?
1
Not at all
2
3
4
5
Perfectly
23
Q

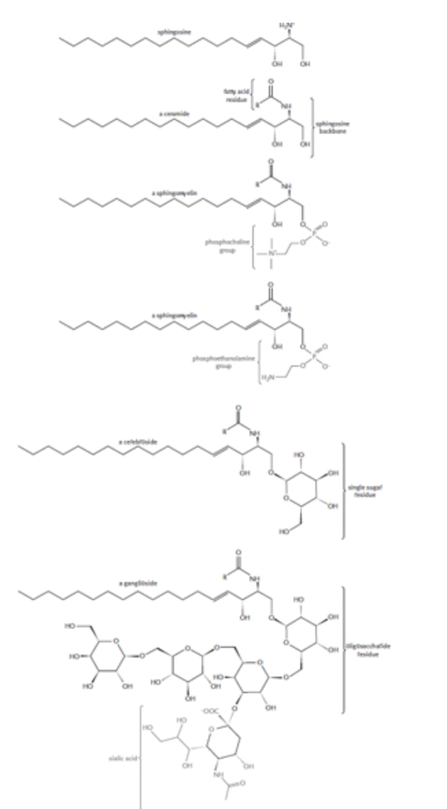
what are the four major subclasses of sphingolipids and what do they differ by? + diagram

A

differ by head group

  1. ceramide
  2. sphingomyelins
  3. glycosphingolipids
  4. gangliosides
How well did you know this?
1
Not at all
2
3
4
5
Perfectly
24
Q

what is the simplest sphingolipid? what is its head group?

A

ceramide

a single H is its head group

How well did you know this?
1
Not at all
2
3
4
5
Perfectly
25
char (5): sphingomyelins
1. the major class of sphingolipids that are also phospholipids (sphingophospholipids) 2. have either phosphocholine or phosphoethanolamine as a head group 3. contain a phosphodiester bond 4. head groups have no net charge 5. are major components in the plasma membranes of cells producing myelin (oligodendrocytes and Schwann cells)
26
char (3) + aka: glycosphingolipids
aka: glycolipids 1. head groups composed of sugars bonded by glycosidic linkages 2. not phospholipids (do not contain a phosphodiester linkage) 3. found mainly on the outer surface of the plasma membrane
27
how can glycosphingolipids be further classified? (2)
1. cerebrosides 2. globosides
28
defn: cerebroside vs. globoside
cerebroside = has a single sugar globoside = has 2 or more sugars
29
what else are cerebrosides and globosides referred to as?
neutral glycolipids because they have no net charge at physiological pH
30
char (3) + func: gangliosides
1. the most complex sphingolipids 2. have polar head groups composed of oligosaccharides with one or more N-acetylneuraminic acid (NANA; aka sialic acid) molecules at the terminus and a negative charge 3. considered glycolipids because they have a glycosidic linkage and no phosphate group func: major role in cell interaction, recognition, and signal transduction
31
mnemonic for gangolioside structure
GANGLIosides are the GANGLY sphingolipids with the most complex structure and functional groups (oligosaccharides and NANA) in all directions
32
defn: waxes
esters of long-chain fatty acids with long-chain alcohols
33
char + func: waxes
form pliable solids at room temp (what we think of as wax) function as protection for plants and animals
34
how do waxes work in plants and in animasl?
plants: secreted as a surface coating to prevent excessive evaporation and to protect against parasites animals: secreted to prevent dehydration, as a water-repellant to keep skin and feathers dry, and as a lubricant
35
what about waxes makes them good for structure building? (such as bees building honeycombs)
the solid and plastic nature of waxes which contain esters with long alkyl chains
36
what active roles do lipids have? (5)
1. serve as coenzymes in the electron transport chain and in glycosylation reactions 2. function as hormones that transmit signals over long distances 3. function as intracellular messengers responding to extracellular signals 4. certain special lipids with conjugated double bonds absorb light 5. certain special lipids act as pigments
37
what 4 important categories of signaling lipids should we focus on?
1. steroids 2. prostaglandins 3. fat soluble vitamins 4. precursors (like terpenes)
38
defn: terpenes
defn: a class of lipids built from isoprene (C5H8) moieties and share a common structural pattern with carbons grouped in multiples of 5 odiferous chemicals that are the metabolic precursors to steroids and other lipid signaling molecules and have varied independent functions
39
char (3): terpenes
1. produced by plants and some insects 2. generally strong scented 3. sometimes part of the plant or insect's protective mechanism
40
how are terpenes grouped?
according to the number of isoprene units present a single terpene unit contains 2 isoprene units
41
defn + func: monoterpenes
C10H16 terpenes that contain two isoprene units abundant in essential oils and turpentine
42
defn: sesquiterpenes
terpenes that contain 3 isoprene units sesqui- = one and a half
43
defn + example: diterpene
terpenes that contain 4 isoprene units vitamin A
44
defn + func: triterpenes
terpenes with 6 isoprene units can be converted to cholesterol and various steroids
45
defn + aka + 2 ex: carotenoids
aka: tetraterpenes terpenes with 8 isoprene units ex: beta-carotene, lutein
46
what type of terpene is natural rubber and why?
a polyterpene because it has isoprene chains between 1000 and 5000 units long
47
defn + aka: terpenoids
aka: isoprenoids derivatives of terpenes that have undergone oxygenation or rearrangement of the carbon skeleton
48
char (4): terpenoids
share similar characteristics with terpenes 1. biological precursor function 2. aromatic properties 3. contribute to steroid biosynthesis 4. contribute to the scents of cinnamon, eucalyptus, camphor, turmeric, and others
49
how are terpenoids named?
in the same fashion as terpenes (diterpenoids derive from 4 isoprene units, etc.)
50
defn + char (2) + structure: steroids
metabolic derivatives of terpenes 1. characterized by having 4 cycloalkane rings fused together (3 cyclohexane, 1 cyclopentane) 2. nonpolar because of the large number of C's and H's
51
what is steroid functionality determined by?
the oxidation status of these rings and the functional groups they carry
52
defn: steroids vs. steroid homrones
STEROID = a group defined by a chemical structure STEROID HORMONES = steroids that ACT as hormones
53
defn + func: steroid hormones
steroids that act as hormones (they are secreted by endocrine glands into the bloodstream and then travel on protein carriers to distant sites, where they can bind to specific high-affinity receptors and alter gene expression levels) potent biological signals that regulate gene expression and metabolism, affecting a wide variety of biological systems even at low concentrations
54
what are 4 important steroid hormones to remember?
1. testosterone 2. various estrogens 3. cortisol 4. aldosterone
55
defn + func (3) + char + diagram: cholesterol
defn: an important steroid that is func: 1. a major component of the phospholipid bilayer and 2. is responsible for mediating membrane fluidity char: it is an amphipathic molecule containing both hydrophilic and hydrophobic components func: 3. also serves as a precursor to many important molecules including steroid molecules, bile acids, and vitamin D
56
what do interactions with both the hydrophobic tails and hydrophilic heads of phospholipids allow cholesterol to do? how does this alter with temperature?
to maintain relatively constant fluidity in cell membranes LOW temp: it keeps the cell membrane from solidifying HIGH temp: holds the membrane intact and prevents it from becoming too permeable
57
defn: prostaglandins
20-C molecules that are unsaturated carboxylic acids derived from arachidonic acid and contain one 5-C ring
58
func (2): prostaglandins
1. act as paracrine or autocrine signaling molecules 2. regulate the synthesis of cAMP in many tissues (which then mediates the actions of many other hormones)
59
what are some downstream effects of prostaglandins?
1. powerful effects on smooth muscle function 2. influence over the sleep-wake cycle 3. elevation of body temperature associated with fever and pain
60
how does NSAIDs (nonsteroidal anti-inflammatory drugs) like aspirin affect the production of prostaglandins?
NSAIDs inhibit the enzyme cyclooxygenase which aids in the production of prostaglandins
61
defn: vitamin
an essential nutrient that cannot be adequately synthesized by the body and therefore must be consumed in the diet
62
defn: water-soluble vs. lipid-soluble vitamins
lipid-soluble vitamins = can accumulate in stored fat water-soluble vitamins = excreted through urine
63
what are the 4 fat-soluble vitamins?
1. A 2. D 3. E 4. K
64
defn + aka: vitamin A
aka: carotene an unsaturated hydrocarbon that is important in vision, growth and development, and immune function
65
defn: retinal
the most significant metabolite of vitamin A, the aldehyde form a component of the light-sensing molecular system in the human eye
66
defn: retinol
the storage form of vitamin A
67
defn: retinoic acid
the oxidized form of retinol a hormone that regulates gene expression during epithelial development
68
defn + aka: vitamin D
aka: cholecalciferol can be consumed in a UV light-driven reaction in the skin
69
what is vitamin D converted to in the liver and kidneys?
calcitriol (1,25-(OH)2D3)
70
defn + func: calcitriol
defn: the biologically active form of vitamin D func: increases calcium and phosphate uptake in the intestines which promotes bone production
71
what can a lack of vitamin D result in?
rickets, a condition seen in children characterized by underdeveloped, curved long bones as well as impeded growth
72
mnemonic: carotene
carrots are high in vitamin A, which is why eating carrots is colloquially suggested to improve vision
73
mnemonic: vitamin D
regulates calcium it is frequently added to milk in order to aid in the absorption of calcium
74
defn: vitamin E
a group of closely related lipids called tocopherols and tocotrienols characterized by a substituted aromatic ring with a long isoprenoid side chain and are characteristically hydrophobic
75
defn: tocopherols
biological antioxidants
76
what happens to the aromatic rings of tocopherols? what is the impact of this?
the aromatic ring reacts with free radicals, destroying them this, in turn, prevents oxidative damage, an important contributor to the development of cancer and aging
77
mnemonic: vitamin K
vitamin K is for Koagulation
78
defn + func (2): vitamin K
a group of compounds including phylloquinone (K1) and the menaquinones (K2) func: 1. vital to the posttranslational modifications required to form prothrombin, an important clotting factor in the blood 2. required to introduce calcium-binding sites on several calcium-dependent proteins
79
what happens to the aromatic ring in vitamin K?
it undergoes a cycle of oxidation and reduction during the formation of prothrombin
80
defn: triacylglycerols
a class of lipids specifically used for energy storage
81
what are the 2 reasons for which lipids in general are a fantastic way for the body to store energy?
1. the C atoms of fatty acids are more reduced than those of sugars, which contain numerous alcohol groups --> thus the oxidation of triacylglycerols yields twice the amount of energy per gram as carbohydrates, making this a far more energy-dense storage mechanism compared to polysaccharides like glycogen 2. triacylglycerols are hydrophobic --> they do not draw in water and do not require for hydration for stability --> this helps decrease their weight, especially in comparison to hydrophilic polysaccharides
82
what is an added benefit of lipids as a way to store energy for vertebrates surviving in colder temperatures?
the layer of lipids serves a dual purpose of energy storage and insulation --> it helps to retain body heat so that less energy is required to maintain a constant internal temperature
83
aka + structure + diagram + char (3): triacylglycerols
aka: triglycerides composed of 3 fatty acids bonded by ester linkages to glycerol char: 1. overall nonpolar 2. overall hydrophobic 3. insoluble in water
84
are the 3 fatty acids that make up a triacylglcyerol the same?
for most naturally occurring triacylglycerols, it is rare for all 3 fatty acids to be the same
85
why are triacylglycerols insoluble in water?
the polar hydroxyl groups of the glycerol component and the polar carboxylates of fatty acids are bonded together, decreasing their polarity
86
how are triacylglycerol deposits observed in cells? what is the function of these deposits?
as oily droplets in the cytosol func: serve as depots of metabolic fuel that can be recruited when the cell needs additional energy to divide or survive when other fuel supplies are low
87
defn + func + loc (3): adipocytes
special cells in animals store large amounts of fat are found primarily under the skin, around mammary glands, and in the abdominal cavity
88
how are triacylglycerol desposits found in plants?
in seeds as oils
89
how do triacylglycerols travel in the bloodstream?
bidirectionally between the liver and adipose tissue
90
what are the physical characteristics of triacylglycerols determined by?
the saturation (or unsaturation) of the fatty acid chains that make them up
91
defn + how do they move in the body: free fatty acids
unesterified fatty acids with a free carboxylate group circulate in the blood bonded noncovalently to serum albumin
92
defn: saponification
the production of soap through fatty acids chem: the ester hydrolysis of triacylglycerols using a strong base
93
defn/func + chem name: lye
the base that is used in saponification sodium or potassium hydroxide
94
process (4) + diagram: saponification
1. the ester hydrolysis of triacylglycerols using a strong base 2. this results in the basic cleavage of the fatty acid 3. which leaves the sodium salt of the fatty acid and glycerol 4. this fatty acid salt is soap
95
defn: surfactant
lowers the surface tension at the surface of a liquid, serving as a detergent or emulsifier
96
Soap can act as a surfactant. Explain how soap works.
1. If we try to combine an aqueous solution and oil, as with vinegar and olive oil in salad dressing, theses solutions will remain in separate phases 2. if we were to add soap, however, the two phases would appear to combine into a single phase, forming a colloid 3. this occurs because of the formation of micelles: tiny aggregates of soap with the hydrophobic tails turned inward and the hydrophilic heads turned outward, thereby shielding the hydrophobic lipid tails and allowing for overall solvation