find the other item.


what are the frequency and velocity of a wave where wavelength = 0.787 m and period = 2.65 sec?
frequency = 0.3773 Hz
and
velocity = 0.297 m/s a.f.s.

what are the wavelength and period of a wave moving at 376 cm/s a.f.s. @ 808 cHz?
frequency = 0.124 sec
wavelength = 46.5 cm
(note: photo should read T = 1/8.08 = 0.124

if a sound is 4.8 x 10-9 W/m2 at 15.2 m from a source, what is the intensity at 36.4 m from the source?
8.352 x 10-10 W/m2

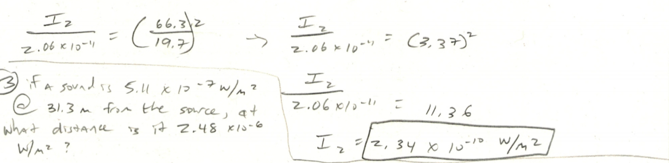
if a sound is 2.06 x 10-11 W/m2 at 66.3 m from the source, what is the intensity at 19.7 m?
2.34 x 10-11 W/m2

if a sound is 5.11 x 10-7 W/m2 at 31.3 m from the source, at what distance is it 2.48 x 10-6 W/m2 ?
14.2 m


(5 cycles)
wavelength = 0.09 m
T = 0.0027 sec
F = 370 Hz
v = 33.3 m/s a.f.s.


(5.5 cycles)
wavelength = 0.8 cm
T = 0.02 sec
F = 50 Hz
v = 40 cm/s a.f.s.


(4 cycles)
wavelength = 2.27 km
T = 6.83 sec
F = 0.15 Hz
v = 0.332 km/s a.f.s.
