Ch. 7 Flashcards

(36 cards)

1
Q

What are the properties of enzymes?

A
  • Most enzymes are proteins
  • Work under mild conditions
  • Increase reaction rate
  • Greater reaction specificity
  • Capacity for regulation
How well did you know this?
1
Not at all
2
3
4
5
Perfectly
2
Q

What are the working conditions of enzymes?

A
  • Neutral pH
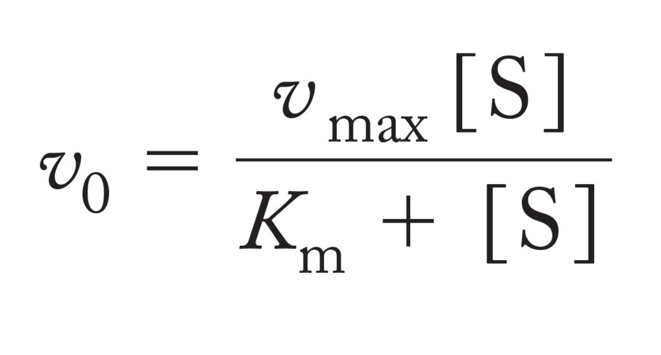
  • Low temperature below 100ºC
  • Atmospheric pressure
How well did you know this?
1
Not at all
2
3
4
5
Perfectly
3
Q

What is the lock and key model?

A

Substrate binds to the enzyme perfectly (not accurate)

How well did you know this?
1
Not at all
2
3
4
5
Perfectly
4
Q

What is induced fit model?

A
  • Enzyme is flexible to accommodate the ill-fitting substrate
  • Permits a much larger number of weaker interactions between the substrate and enzyme
How well did you know this?
1
Not at all
2
3
4
5
Perfectly
5
Q

What are the critical aspects of enzyme structure and function?

A
  1. Enzymes usually bind to substrates with high affinity and specificity
  2. Substrate binding to the active site induces changes in the enzyme
  3. Enzyme activity is highly regulated in cells
How well did you know this?
1
Not at all
2
3
4
5
Perfectly
6
Q

What are the modes of enzyme regulation?

A
  • Bioavailability
  • Catalytic efficiency
  • Covalent modification
  • Allosteric regulation (similar to hemoglobin)
How well did you know this?
1
Not at all
2
3
4
5
Perfectly
7
Q

What is a substrate?

A

Substance an enzyme acts upon

How well did you know this?
1
Not at all
2
3
4
5
Perfectly
8
Q

What is an active site?

A

Binding pocket in an enzyme

How well did you know this?
1
Not at all
2
3
4
5
Perfectly
9
Q

What is a cofactor?

A

A small inorganic molecule, often a metal ion, that aids in the catalytic reaction mechanism within the enzyme active site

How well did you know this?
1
Not at all
2
3
4
5
Perfectly
10
Q

What is a coenzyme?

A

An organic enzyme cofactor

How well did you know this?
1
Not at all
2
3
4
5
Perfectly
11
Q

What is a prosthetic group?

A

Coenzyme that is permanently associated with an enzyme

How well did you know this?
1
Not at all
2
3
4
5
Perfectly
12
Q

What are co-substrates?

A

Loosely bound molecules that are transformed to a co-product during the course of an enzymatic reaction

How well did you know this?
1
Not at all
2
3
4
5
Perfectly
13
Q

What is the difference between prosthetic groups and co-substrates?

A

Prosthetic groups are permanently associated while co-substrates are loosely bound

How well did you know this?
1
Not at all
2
3
4
5
Perfectly
14
Q

How are enzymes regulated?

A
  • Bioavailability
  • Control of catalytic efficiency through protein modification
How well did you know this?
1
Not at all
2
3
4
5
Perfectly
15
Q

gene level vs directly

A
How well did you know this?
1
Not at all
2
3
4
5
Perfectly
16
Q

How does pH/temperature affect enzymes?

A

Certain enzymes work best at certain pH/temperature –> if you decrease/increase pH/temperature, enzyme activity will decrease

17
Q

How does activation energy and rate of a reaction in the presence or absence of an enzyme affect entropy?

A

With enzymes
- Increase rate of reaction
- Reduce entropy by orienting the substrates appropriately

Without enzymes
- Slower rate of reaction
- Higher entropy because the substrate is not oriented properly

18
Q

What are the 6 classes of enzymes?

A
  • Oxidoreductase
  • Transferase
  • Hydrolase
  • Lyase
  • Isomerase
  • Ligase
19
Q

What are the functional groups of enzymes?

A

Catalytic functional groups in the active site mediate three main types of catalytic reaction mechanisms

20
Q

What are the types of catalysis?

A
  1. Acid-base catalysis
  2. Covalent catalysis
  3. Metal ion catalysis
21
Q

How are enzymes modified to change their activity?

A

Reversible covalent modification
- Phosphorylation and dephosphorylation (kinases and phosphotases)
- Adding fatty acids

22
Q

What is allosteric regulation?

A
  • First step of a metabolic pathway is often controlled by a regulated enzyme to maximize the efficient use of metabolic intermediates
  • Feedback inhibition: the end product of a pathway functions as an inhibitor of the first enzyme in the pathway (ex: ATCase)
23
Q

In what directions do positive and negative regulators shift the curve?

A
  • Positive regulators shift curve left
  • Negative regulators shift curve right
24
Q

What is the Michaelis-Menten equation?

A
  • small Km –> more [ES] –> more readily binds to substrate at low [substrate] (greater affinity for substrate)
  • large Km –> less [E] –> lower affinity for substrate
25
Michaelis-Menten graph
26
What is the Lineweaver-Burke equation?
- Used to draw a double reciprocal plot of the enzyme data - Easier way to determine Vmax and Km
27
Lineweaver-Burke graph
28
Explain enzyme kinetics.
- Quantitative study of the rate of chemical reactions performed - Involves relating reaction rates to free energy and equilibrium - Reaction rate = velocity (v) - Substrate concentration = [S] - k = rate constant of reaction - v = k[S]
29
What is Km on a graph?
- Substrate concentration - Measures how easily the enzyme can be saturated by the substrate
30
What is Km with respect to enzyme and substrate?
- Amount of substrate it takes for an enzyme to reach Vmax/2
31
What is competitive inhibition?
- Inhibitor looks like substrate - Inhibitor binds to active site where substrate binds - Km of enzyme increases - Vmax of reaction stays the same
32
What is noncompetitive inhibition?
- Inhibitor doesn't look like substrate - Inhibitor binds to different site other than substrate binding site - Km stays the same - Vmax decreaes
33
How do you determine the type of inhibition using Km and Vmax?
- Compare graphs with and without inhibitors - Competitive inhibition: Vmax is unchanged, Km increases - Noncompetitive inhibition: Vmax decreases, Km is unchanged
34
How do you find Vmax and Km on a Michaelis-Menten graph?
35
How do you find Vmax and Km on a Lineweaver-Burke graph?
36
What are the three major ways enzymes increase reaction rate?
1. Lower activation energy by stabilizing the transition state 2. Provide an alternate path (intermediates) for product formation 3. Reduce entropy by orienting the substrates appropriately for the reaction to occur