Definition of a Logarithm
logbn = x ⇔ bx = n
Change of Base Formula
logBA = logA / logB
Logs:
– The Product Rule
log<em>b</em>(xy) = log<em>b</em>x + log<em>b</em>y
– The Quotient Rule
logb(x/y) = logbx – log<em>b</em>y
– The Power Rule
log<em>b</em>(xr) = r•log<em>b</em>x
Definitions of a Natural Logarithm
ln(n) = x ⇔ log<em>e</em>n = x ⇔ ex = n


Arithmetic Sequence
“one in which the differnece between successive terms is constant.”
To get to the nth term in a sequence, take (n – 1) steps from the first term.
The nth Term of an Arithmetic Sequence
an = ?
Sum of the First n Terms of an Arithmetic Sequence
sum = ?
an = a1 + (n – 1)d
sum = ***n *(a1 + an / 2**)
a1 = first term (starting value).
d = difference between any two successive terms.
Geometric Sequence
formed by taking a starting value and multiplying it by the same factor again and again.
Again, it takes (n – 1) steps to get the nth term.
The nth Term of a Geometric Sequence
an = ?
Sum of the First n Terms of a Geometric Sequence
sum = ?
an = a1rn – 1
sum = a1(1 – rn) / (1 – r)
The sum of an infinite geometric series can be calculated only when the constant factor is between -1 and 1.
Sum of an Infinite Geometric Sequence
sum = a1 / (1 – r) for -1 < r < 1
Adding vectors

Subtracting vectors

You can add or subtract two vectors by adding or subtracting their x and y components.
For example, if vector u has components (1, 3) and vector v has components (-1, 5), then the resulting vector u + v would have components
(1 + (-1), 3 + 5) = (0, 8).
Logic – The Contrapositive
Given the statement A → B, you also know ¬B → ¬A.
If…
stone is precious → stone harder than glass
then the only thing for certain…
stone not harder than glass → stone not precious
Imaginary numbers
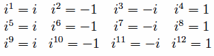
Powers of i

The complex plane
A complex number is a specific find of imgainary number—specifically, the sum of a real number and an imaginary number. A complex number is one that takes the form a + b**i, where a and b are real numbers and i is the imaginary unit, the sqaure root of -1.
Just plot a, the real component of the complex number, on the x-axis; and bi, the imaginary component, on the y-axis.

The distance between a complex number and the origin is most often refered to as the magnitude and orabsolute value of a complex number.

Polymonial divison
PLUG IN!!!
When you Plug In on ploynomial divison questions that ask for a remainder, you’ll find that bigger numbers, such as 10, are better.
The determinant of the 2 x 2 matrix

Two matrices can be multiplied only when the number of columns in the first equals the number of rows in the second.

Adding/Subtracting Matrices

Multiplying Matrices
