Nomenclature des amines

Nomenclature des amines (ramifiées)

Amines liées au benzène: noms triviaux

Amines aromatiques: noms triviaux

Propriétés physico-chimiques

Basicité des amines

Renforcement/affaiblissement du caractère basique

Les Ammoniums:
a) Les acides conjugués d’amines

Réacitivité des amines

Substitution nucléophile?
=> Réaction acide-base
(Synthèse d’amide)

SN
Réaction acide-base:
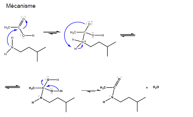
Synthèse d’amide (Mécanisme)

Elimination

Elimination d’ammonium quartenaire
(Elimination de Hoffman)

Synthèse d’amine à partir d’un halogénoalcane
SN2 irréversible

Synthèse d’amines polysubstituées à partir d’amine primaire
Alkylation d’amine primaire (SN2)

Résumé réactivité des amines
