census
when the entire population is selected for the study
parameter
a measure calculated from the population
discrete data
data that contains only integers or counting numbers
continuous data
any value over a particular range is possible
levels of measurement (4)
common causes
part of the system ex. poor design, measurement error, poor maintenance
special causes
unusual, not previously observed
stable system
a system governed only by common causes
problems created by variation (5)
statistical spread
variability in a sample or population
bell shaped, mean and standard deviation control?
mean: controls the center standard deviation: controls the spread
68-95-99.7 rule
68% of observations fall within 1 sd of the mean 95% fall within 2 99.7% fall within 3
standard distribution mean and sd
mean of 0 sd of 1
point estimate
single value serves as “best guess” of an unknown population parameter
confidence interval
the amount of uncertainty associated with a sample estimate of a population parameter
2 fundamental management mistakes
enumerative study
meant to explain the condition that exists with the existing population
analytic study
focused on improvement of the process

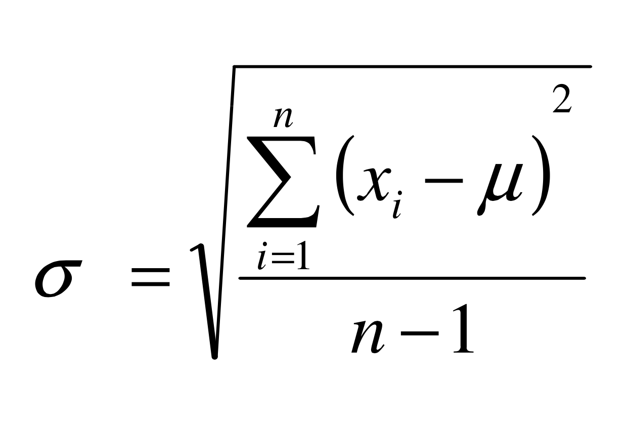
standard deviation

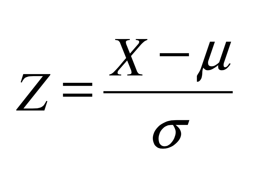
z score

finding a percentile

point estimate q

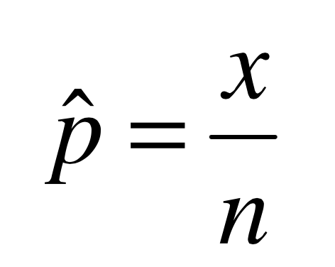
point estimate p

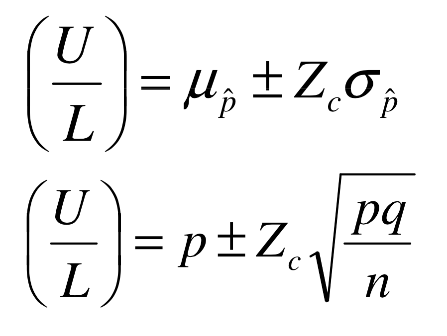
confidence interval