Chapitre 9 Flashcards

(157 cards)

1
Q

Quel est le site de la photosynthèse?

A

Chloroplaste

How well did you know this?
1
Not at all
2
3
4
5
Perfectly
2
Q

Quel est le principal site de la respiration cellulaire?

A

Mitochondrie

How well did you know this?
1
Not at all
2
3
4
5
Perfectly
3
Q

Donner des exemples de travail cellulaires qui nécessitent de l’ATP.

A

Anabolisme
Transport
Travail mécanique
Déplacement

How well did you know this?
1
Not at all
2
3
4
5
Perfectly
4
Q

Qu’est-ce qu’une voie catabolique?

A

Voies métaboliques qui libèrent l’énergie emmagasinée en dégradant des molécules complexes.

How well did you know this?
1
Not at all
2
3
4
5
Perfectly
5
Q

Les composés organiques possèdent une énergie potentielle qui résulte de …..

A

La disposition des électrons dans les liaisons entre leurs atomes.

How well did you know this?
1
Not at all
2
3
4
5
Perfectly
6
Q

Qu’est-ce que la fermentation?

A

Processus catabolique qui dégrade le glucose ou d’autres combustibles biologiques, en l’absence d’O2

How well did you know this?
1
Not at all
2
3
4
5
Perfectly
7
Q

Quelle est la voie catabolique la plus répandue et la plus efficace?

A

Respiration cellulaire aérobie

How well did you know this?
1
Not at all
2
3
4
5
Perfectly
8
Q

Les cellules de la plupart des organismes eucaryotes et de nombreux organismes procaryotes sont capables de quel type de respiration cellulaire?

A

Respiration cellulaire aérobie

How well did you know this?
1
Not at all
2
3
4
5
Perfectly
9
Q

Qu’est-ce que la respiration cellulaire anaérobie?

A

Certaines cellules procaryotes utilisent comme réactifs des substances autres que l’O2, dans un processus similaire à celui qui capte l’énergie chimique sans faire intervenir l’O2.

How well did you know this?
1
Not at all
2
3
4
5
Perfectly
10
Q

Dans l’alimentation des animaux, quelle substance représente une importante source de glucides?

A

L’amidon

How well did you know this?
1
Not at all
2
3
4
5
Perfectly
11
Q

Donner l’équation de la respiration cellulaire.

A
How well did you know this?
1
Not at all
2
3
4
5
Perfectly
12
Q

Le catabolisme est lié au travail cellulaire par un intermédiaire chimique, quel est-il?

A

L’ATP

How well did you know this?
1
Not at all
2
3
4
5
Perfectly
13
Q

VRAI OU FAUX?

Les voies cataboliques prennent directement part aux proessus cellulaires vitaux.

A

FAUX
Les voies cataboliques ne prennent PAS directement part aux processus cellulaires vitaux (transport actif des solutés, mouvement des flagelles, contraction musculaire, …).
Le catabolisme est lié au travail cellulaire par un intermédiaire chimique, l’ATP.

How well did you know this?
1
Not at all
2
3
4
5
Perfectly
14
Q

Respiration cellulaire aérobie, anaérobie ou fermentation?

A

Respiration cellulaire aérobie

How well did you know this?
1
Not at all
2
3
4
5
Perfectly
15
Q

Respiration cellulaire aérobie, anaérobie ou fermentation?

A

Respiration cellulaire anaérobie

How well did you know this?
1
Not at all
2
3
4
5
Perfectly
16
Q

Respiration cellulaire aérobie, anaérobie ou fermentation?

A

Fermentation

How well did you know this?
1
Not at all
2
3
4
5
Perfectly
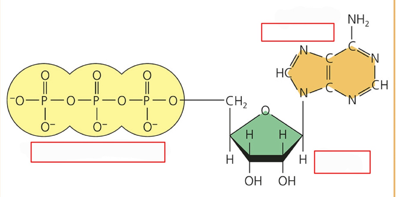
17
Q

Identifier les parties de la structure de l’ATP.

A
How well did you know this?
1
Not at all
2
3
4
5
Perfectly
18
Q

Donner l’équation de l’hydrolyse de l’ATP.

A
How well did you know this?
1
Not at all
2
3
4
5
Perfectly
19
Q

Quel est le travail cellulaire le plus commun?

A

Contraction musculaire

How well did you know this?
1
Not at all
2
3
4
5
Perfectly
20
Q

Comment l’ATP fournit l’énergie nécessaire au travail de transport de la cellule?

A

L’ATP réalise la phosphorylation des protéines de transport.

How well did you know this?
1
Not at all
2
3
4
5
Perfectly
21
Q

Comment l’ATP fournit l’énergie nécessaire au travail mécanique de la cellule?

A

L’ATP se lie de façon non covalente aux protéines motrices et est ensuite hydrolysé.

How well did you know this?
1
Not at all
2
3
4
5
Perfectly
22
Q

Comment les voies cataboliques de dégradation du glucose et d’autres combustibles organiques fournissent-elles de l’énergie?

A

Transfert d’électrons qui survient pendant les réactions chimiques appelées oxydation et réduction. Ce transfert d’électrons libère l’énergie emmagasinée dans les molécules organiques, et cette énergie sert à synthétiser l’ATP.

How well did you know this?
1
Not at all
2
3
4
5
Perfectly
23
Q

Dans l’équation de la respiration cellulaire, quelle substance est oxydée et quelle substance est réduite?

A
How well did you know this?
1
Not at all
2
3
4
5
Perfectly
24
Q

Pourquoi les molécules organiques riches en hydrogène sont d’excellents combustibles?

A

Leurs liaisons renferment des électrons à forte énergie potentielle, susceptibles de se rapprocher des atomes d’oxygène et de libérer de l’énergie.

How well did you know this?
1
Not at all
2
3
4
5
Perfectly
25
Par quoi sont controlées chacunes des étapes de la dégradation du glucose?
Par des enzymes
26
Qu’est-ce que le NAD+ ?
Coenzyme accepeteur d’électrons le plus polyvalent dans la respiration cellulaire
27
Des atomes d’hydrogène sont arrachés au glucose et passent généralement par __________ avant de s’associer au dioxygène (O2).
un agent oxydant NAD+
28
Pourquoi la coenzyme NAD+ est un bon transporteur d’électrons?
Car elle peut facilement passer de sa forme oxydée, NAD+ à sa forme réduite NADH, et vice-versa.
29
Comment le NAD+ capte-t-il les électrons du glucose et des autres molécules combustibles des aliments?
Des enzymes appelées déshydrogénases retirent une paire d’atomes d’hydrogène (2 électrons et 2 protons) du substrat (le glucose) et l’oxydent du même coup. Elles apportent ensuite les 2 électrons et 1 proton (H+) au NAD+, formant du NADH
30
Lors de la réaction de déshydrogénation , que se passe-t-il avec le proton restant?
Il est libéré dans la solution environnante.
31
Qui est l’accepteur d’électrons le plus polyvalent dans la respiration cellulaire?
Le NAD+
32
Où est localisée la chaîne de transport d’électrons de la respiration cellulaire?
Dans la membrane interne de la mitochondrie.
33
De quoi est composé deux atomes d’hydrogène? (Protons et électrons)
De 2 électrons et de 2 protons (H+)
34
Aux étapes clés, des électrons sont arrachés au glucose. Chaque électron se déplace avec un proton, donc sous la forme de quel atome?
Sous la forme d’un atome d’hydrogène (H)
35
Quelles enzymes retirent une paire d’atomes d’hydrogène du substrat (glucose) et l’oxydent?
Déshydrogénases
36
De quoi se compose la chaîne de transport d’électrons?
De plusieurs molécules insérées dans la membrane interne des mitochondries des cellules eucaryotes.
37
Le transfert d’électrons du NADH à l’O2 est une réaction exergonique ou endergonique?
Exergonique
38
Quelles sont les étapes de la respiration cellulaire?
1. La glycolyse 2a. L’oxydation du pyruvate 2b. Cycle de l’acide citrique 3. La phosphorylation oxydative
39
Identifier les étapes de la respiration cellulaire ainsi que les composantes des étapes.
40
Quelles étapes de la respiration cellulaire sont des voies cataboliques qui dégradent le glucose et les autres combustibles organiques ?
La glycolyse L’oxydation du pyruvate Le cycle de l’acide citrique
41
Quelle étape de la respiration cellulaire marque le début de la dégradation du glucose?
La glycolyse
42
Où se produit l’étape de la glycolyse?
Dans le cytosol (car c’est là que se retrouvent les enzymes nécessaires).
43
Compléter la phrase: Dans les cellules eucaryotes, le ________ pénètre dans les mitochondries où il est oxydé , ce qui donne un composé appelé __________.
Pyruvate; | Acétyl-CoA
44
Chez les procaryotes, où se déroulent tous les processus de la respiration cellulaire?
Dans le cytosol
45
À quelle étape de la respiration cellulaire s’achève la dégradation du glucose en CO2?
Dans le cycle de l’acide citrique
46
Quelle substance entre dans le cycle de l’acide citrique?
Acétyl-CoA
47
Chez les cellules eucaryotes, où s’effectuent le transport des électrons et le processus de la chimiose?
Sur la membrane interne des mitochondries.
48
Compléter la phrase: Près de 90% de l’ATP engendrée par la respiration cellulaire provient de _____________.
La phosphorylation oxydative.
49
Lors de quelles étapes de la respiration cellulaire il y a formation d’une quantité moindre d’ATP?
Glycolyse | Cycle de l’acide citrique
50
Par quel mécanisme il y a formation d’une quantité moindre d’ATP lors de la glycolyse et lors du cycle de l’acide citrique?
Phosphorylation au niveau du substrat
51
Quelles sont les 2 sous-étapes de la phosphorylation oxydative?
Transport d’électrons | Chimiosmose
52
Expliquer le mécanisme de phosphorylation au niveau du substrat.
Dans ce mode de synthèse de l’ATP, un enzyme transfère un groupement phosphate d’un substrat à de l’ADP au lieu d’ajouter un Pi à l’ADP comme lors de la phosphorylation oxydative.
53
Définir l’étape de la glycolyse.
Étapes dans le cytosol (cytoplasme) Dégradation d’une mole de glucose en 2 moles de pyruvate Produit ATP et NADH
54
Décrire l’étape de l’oxydation du pyruvate.
Transformation de 2 moles en pyruvate en 2 moles d’Acétyl-CoA lors du passage du cytosol à la matrice mitochondriale. (Produit NADH)
55
Décrire l’étape du cycle de l’acide citrique.
Fin de la dégradation du glucose, maintenant sous forme d’Acetyl-CoA, cette molécule subit une foule de transformations cycliques pour produire des fragments de molécules carbonées, le CO2 (Produit ATP et NADH)
56
Décrire l’étape de la phosphorylation oxydative.
2 sous-étapes: Chaîne de transport et chimiosmose - Phosphorylation: ajout de phosphate (sur les ADP pour former ATP) = chimiosmose - Oxydative: Réactions d’oxydation qui permettent de créer le gradient de protons (H+) = Chaîne de transport des élctrons
57
Que signifie le mot glycolyse?
Dégradation du glucose
58
L’étape de la glycolyse est une voie anabolique ou catabolique?
Voie catabolique (production d’énergie)
59
On peut diviser la glycolyse en 2 phases. Que sont-elles?
L’investissement d’énergie et la libération d’énergie
60
Résumer l’étape de la glycolyse.
Le glucose, un monosaccharide possédant 6 atomes de C se scinde en 2 monosaccharides ayant ayant chacun 3 atomes de C. Ces petits monosaccharides sont ensuite oxydés, et les atomes restants se réarrangent en 2 molécules de pyruvate.
61
Est-ce qu’il y a de la libération de CO2 pendant la glycolyse?
Tout le carbone contenu à l’origine dans le glucose se retrouve dans les 2 molécules de pyruvate; il n’y a donc pas de libération de CO2 pendant la glycolyse.
62
Quel est le rendement net de la glycolyse? (Glucose —> ? ATP NAD, NADH)
63
Quelle est la forme oxydée et la forme réduite du NAD?
NAD+ : forme oxydée | NADH : forme réduite
64
Les transporteurs d’électrons relient 3 étapes de la respiration cellulaire. Que sont-elles?
Glycolyse Oxydation du pyruvate Cycle de l’acide citrique
65
Combien d’ATP est investi lors de la phase d’investissement de la glycolyse?
2 ATP
66
Est-ce qu’il y a de la libération de CO2 lors de la glycolyse?
Non
67
Que devient 1 molécule de glucose lors de la glycolyse?
2 Pyruvate | 2 H2O
68
Combien de NADH sont formés lors de l’étape de la glycolyse?
2 NADH + 2H+
69
Combien de molécules d’ATP sont produites lors de la glycolyse?
4 ATP formés - 2 ATP utilisés = 2 ATP
70
Où se produit l’étape de l’oxydation du pyruvate?
Passage du cytoplasme à la mitochondrie par transport actif vers la matrice.
71
Quelle enzyme permet le transport actif du cytoplasme jusqu’à la matrice lors de l’oxydation du pyruvate?
Perméase
72
Un complexe de combien d’enzymes catalyse les réactions lors de l’étape de l’oxydation du pyruvate?
Un complexe de 3 enzymes
73
Quel est le bilan total de l’étape de l’oxydation du pyruvate?
2 NADH + H+ 2 CO2 2 Acétyl-CoA
74
Combien y a-t-il de pyruvates par molécules de glucose?
2 pyruvate
75
D’où proviennent les molécules de pyruvate qui servent de substrat lors de l’oxydation du pyruvate?
Proviennent de la glycolyse
76
Combien de molécules de CO2 sont produites lors de l’oxydation du pyruvate par molécule de glucose?
2 CO2 produits | 1 molécule de CO2 par pyruvate et 1 glucose —> 2 pyruvate
77
L’acétyl CoA est une molécule à combien de carbones? De quoi d’autre est-elle composée?
2 carbones | Elle a aussi une coenzyme CoA
78
Quel est le substrat du cycle de l’acide citrique?
Acétyl-CoA
79
À quel endroit se produit le cycle de l’acide citrique?
Dans la matrice de la mitochondrie
80
Quelles sont les substances qui entrent dans le cycle de l’acide citrique?
2 Acétyl-CoA 6 NAD+ 2 FAD 2 ADP
81
Quelles sont les substances qui sortent du cycle de l’acide citrique?
``` 4 CO2 6 NADH 2 FADH2 2 ATP (Pour les 2 molécules de Acétyl-CoA) ```
82
Quels sont les 2 transporteurs d’électrons?
NADH et FADH2
83
Combien de molécules de CO2 sortent du cycle de l’acide citrique?
4 CO2 | 2 Acétyl-CoA, des molécules a 2 C se transforment en CO2
84
Quelles sont les 2 sous-étapes de la phosphorylation oxydative?
Chaîne de transport d’électrons | Chimiosmose
85
Combien de chaîne de transport d’électrons se trouvent dans une cellule musculaire cardiaque?
20 000 chaînes
86
À quel endroit se trouve la chaîne de transport des électrons?
Dans la membrane interne de la mitochondrie, qui sépare la matrice mitochondriale de l’espace intermembranaire.
87
Résumer l’étape de la chaîne de transport des électrons de la phosphorylation oxydative.
Le transport d’électrons et le pompage de protons H+ crééent un gradient intermembranaire de H+.
88
Résumer l’étape de la chimiosmose de la phosphorylation oxydative.
Le reflux des H+ à travers la membrane alimente la synthèse de l’ATP. (ADP + Pi —> ATP)
89
VRAI OU FAUX? L’oxygène (O2) devient le CO2 lors de la respiration cellulaire.
FAUX Le O2 forme le H20 Le Glucose devient le CO2
90
Comment l’oxygène devient de l’eau lors de la chaîne de transport des électrons?
Le dernier transporteur d’électrons transfère ses électrons à l’oxygène, lequel est fortement électronégatif. 2H+ + 1/2 O2 = H2O
91
D’où provient l’énergie nécessaire à recharger les ATP à partir d’ADP et de Pi lors de la chimiosmose?
L’énergie contenue dans le gradient de concentration de H+ fait tourner la pompe, ce qui fournit l’énergie nécessaire pour recharger les ATP.
92
Quel est le rendement maximal d’ATP pour une molécule de glucose?
30 à 32 ATP
93
Indiquer le nombre de produits de chaque étape et la quantité d’ATP produite à chaque étape.
94
Par quel type de transport le pyruvate entre dans la mitochondrie?
Par transport actif.
95
À quelles substances il revient de libérer la plus grande partie de l’énergie extraite de chaque molécule de glucose?
NADH et FADH2
96
Que permettent les crêtes des mitochondries?
Augmente la superficie de la membrane, ce qui permet à chaque mitochondrie de contenir des milliers d’exemplaires de chacun des éléments de la chaîne de transport d’électrons.
97
Dans la chaîne de transport d’électrons, est-ce que les électrons perdent ou gagnent de l’énergie lorsqu’ils passent d’un transporteur à l’autre?
Ils perdent de l’énergie
98
VRAI OU FAUX? | La chaîne de transport d’électrons produit de l’énergie.
FAUX | La chaîne de transport d’électrons ne produit pas d’ATP directement.
99
Quelle est la fonction de la chaîne de transport d’électrons?
De faire passer les électrons des nutriments à l’O2 en une série d’étapes qui libèrent de l’énergie de manière régulée.
100
Par quel mécanisme la mitochondrie couple-t-elle le processus de la chaîne de transport des électrons à la synthèse de l’ATP?
Par un mécanisme appelé chimiosmose.
101
Quelle enzyme fabrique réellement l’ATP à partir de l’ADP et du phosphate inorganique?
ATP synthase
102
Quelle énergie l’ATP synthase utilise pour activer la synthèse de l’ATP?
Elle utilise l’énergie d’un gadient ionique existant. La différence de concentration des H+ de part et d’autre de la membrane mitochondriale interne constitue la source d’énergie nécessaire au travail de l’ATP synthase.
103
Processus au cours duquel l’énergie emmagasinée sous forme de gradient électrochimique de part et d’autre d’une membrane est utilisée pour effectuer du travail cellulaire.
Chimiosmose
104
Que désigne le terme chimiosmose?
Le déplacement des ions H+ à travers une membrane.
105
Quelle pourcentage de l’énergie chimique potentielle du glucose est transférée à l’ATP? Que se passe-t-il avec le reste de l’énergie du glucose?
34% de l’énergie chimique potentielle est transférée à l’ATP. Le reste de l’énergie du glucose se perd sous forme de chaleur.
106
Qu’est-ce qui entre lors de l’étape de la glycolyse?
1 Glucose 2 NAD + 4 ADP + Pi 2 ATP
107
Quelles sont les sorties de l’étape de la glycolyse?
2 pyruvate 2 NADH + 2H+ 4 ATP (2 ATP net) 2 ADP + Pi
108
Quelles sont les entrées lors de l’étape de l’oxydation du pyruvate?
2 pyruvate 2 NAD+ 2 Coenzyme A
109
Quelles sont les sorties de l’étape de l’oxydation du pyruvate?
2 Acétyl-CoA 2 NADH + 2 H+ 2 CO2
110
Quelles sont les entrées dans le cycle de l’acide citrique?
2 Acétyl-CoA 6 NAD+ 2 FAD 2 ADP + 2 Pi
111
Quelles sont les sorties du cycle de l’acide citrique?
4 CO2 6 NADH + 6 H+ 2 FADH2 2 ATP
112
Quelles sont les entrées dans la phosphorylation oxydative?
10 NADH 2 FADH2 26-28 ADP + Pi 3 O2
113
Quelles sont les sorties de l’étape de la phosphorylation oxydative?
26-28 ATP 10 NAD+ 2 FAD 6 H2O
114
Combien de molécules d’ATP sont produites par 1 NADH?
2,5 ATP
115
Combien de molécules d’ATP sont produites par 1 FADH2?
1,5 ATP
116
Comment le NAD+ capte-t-il les électrons du glucose et des autres molécules combustibles des aliments?
Des enzymes appelées déshydrogénases retirent une paire d’atomes d’hydrogène du substrat et l’oxydent du même coup. Elles apportent ensuite les 2 e- et 1 H+ au NAD+, formant le NADH.
117
En présence d’oxygène, le pyruvate sera dégradé complètement en _______ et en ________.
CO2 et en H2O
118
Quels sont les 2 grands mécanismes qui permettent à certaines cellules d’oxyder leur combustible organique et de générer de l’ATP sans utiliser de l’O2?
La respiration cellulaire anaérobie et la fermentation.
119
Comment peut-on distinguer la fermentation et la respiration cellulaire anaérobie?
La respiration cellulaire anaérobie fait appel à une chaîne de transport d’électrons, contrairement à la fermentation.
120
En quoi consiste la fermentation?
Une glycolyse à laquelle s’ajoute des réactions qui regénèrent le NAD+ en transférant les électrons du NADH au pyruvate. Le NAD+ peut alors servir de nouveau pour l’oxydation du glucose dans la glycolyse et produire 2 ATP grâce à la phosphorylation au niveau du substrat.
121
Quels sont les 2 types de fermentation exploités par les humains pour la production alimentaire et industrielle?
La fermentation alcoolique | La fermentation lactique
122
Dans la fermentation alcoolique, en quoi est converti le pyruvate?
En éthanol | 2 étapes, 1ère: acétaldéhyde, 2e: éthanol
123
Résumer le processus de la fermentation alcoolique.
Le pyruvate est converti en éthanol en 2 étapes. 1. CO2 enlevé pyruvate = acétaldéhyde 2. NADH réduit acétaldéhyde en éthanol, regénérant ainsi le NAD+ nécessaire à la glycolyse.
124
Les levures réalisent la fermentation ___________ dans des conditions ___________.
Alcoolique; anaérobies
125
Les levures peuvent réaliser de la respiration ___________ ainsi que de la fermentation __________.
Aérobie; alcoolique
126
Résumer le processus de la fermentation lactique.
Le pyruvate se fait réduire directement par le NADH: du lactate est ainsi formé sans libération de CO2
127
Quel type de fermentation se fait sans production de CO2?
Fermentation lactique
128
Par quel moyen les cellules musculaires humaines produisent de l’ATP lorsque l’O2 vient à manquer?
Par la fermentation lactique
129
Dans la fermentation (2 types), quel est le dernier accepteur d’électrons?
Une molécule organique comme le pyruvate (fermentation lactique) ou l’acétaldéhyde (fermentation alcoolique).
130
Quelles sont les différences entre la fermentation et la respiration cellulaire aérobie.
Mécanisme d’oxydation du NADH en NAD+ | La quantité d’ATP obtenue
131
Combien de molécules d’ATP sont produites par la fermentation? Par quelle réaction?
2 molécules d’ATP au moyen de la phosphorylation au niveau du substrat.
132
Quel réaction produit le plus d’ATP, la fermentation ou la respiration cellulaire aérobie?
La respiration cellulaire aérobie. | Elle produit jusqu’à 32 molécules d’ATP contre 2 molécules d’ATP produites par fermentation.
133
Les protéines peuvent servir de combustibles pour la respiration cellulaire. Elles doivent d’abord ….
Être dégradées en leurs acides aminés.
134
À quoi servent les protéines, une fois dégradées en acides aminés?
- Servent à fabriquer de nouvelles protéines - L’excédent est converti par des enzymes en divers produits intermédiaires de la glycolyse et du cycle de l’acide citrique.
135
Avant d’entrer dans la glycolyse ou dans le cycle de l’acide citrique, que doit-il se produire avec les acides aminés?
Ils doivent perdre leur groupement amine, un processus appelé désamination.
136
Qu’est-ce qui résulte du processus de la désamination des acides aminés?
- Acide organique: utilisé | - Déchet azoté: excrété sous forme d’ammoniac (NH3), d’urée ou d’autres substances
137
Lors de la digestion, en quoi sont transformés les lipides?
En glycérol et en acides gras
138
Où se trouve l’essentiel de l’énergie d’un lipide?
Dans ses acides gras
139
Les fragments d’acide gras entrent dans le cycle de l’acide citrique sous quel forme?
Sous forme d’Acétyl-CoA
140
Identifier les parties du mécanisme de la fermentation alcoolique.
141
Identifier les parties du mécanisme de la fermentation lactique.
142
Identifier les parties du schéma des 2 voies cataboliques.
143
Compléter le schéma et ajouter les flèches aux bons endroits.
144
Compléter.
145
Quelles sont les entrées de la fermentation?
1 glucose | 2 ADP + 2 Pi
146
Quelles sont les sorties de la fermentation?
``` 2 ATP (net) 2 acides lactiques ou 2 éthanol + 2 CO2 ```
147
En absence d’oxygène, certaines cellules comme les levures convertissent les pyruvates en ___________ et d’autres comme les cellules animales les convertissent en ___________.
``` Éthanol (alcool) Acide lactique (lactate) ```
148
Pour quelle raison les personnes souffrent d’acidose lactique?
Absence/Insuffisance de l'enzyme cytochrome c oxydase (absente dans plusieurs organes, mais surtout dans le foie que cette absence d’enzyme est importante)
149
Quel est l’effet de l’absence de l’enzyme cytochrome c oxydase chez les personnes atteintes d’acidose lactique?
- production moindre d'énergie. | - production de lactacte (déchet = acidification du milieu corporel).
150
Pourquoi les personnes souffrant d’acidose lactique produisent de l’acide lactique?
L’insufissance d’une enzyme, la cytochrome c oxydase, empêche le corps de réaliser la respiration cellulaire. Il y a donc un manque d’énergie. Le corps va faire de la fermentation lactique pour produire de l’énergie = production de lactate, un déchet.
151
Lors de quelle étape de la respiration cellulaire intervient l’enzyme cytochrome c oxydase, l’enzyme insuffisante chez les personnes souffrant d’acidose lactique?
Lors de la chaîne de transport des électrons (phosphorylation oxydative)
152
TP3: | Quel est le cofacteur de l’enzyme énolase?
Mg
153
TP 3: | Est-ce que le NaF réalise l’inhibition de l’enzyme énolase?
Oui. Les ions Mg2+ sont captés par les ions F- (fluorures) du NaF pour former un précipité insoluble de Mg. Cette réaction réduit l’activité de l’enzyme énolase.
154
TP 3: | Quelle étape de la respiration cellulaire peut être inhibée par le fluor?
La glycolyse
155
TP 3: | Est-ce que le fluorure précipité réalise réalise l’inhibition?
Le fluorure précipité est une solution non soluble dans l’eau. Il ne réalise pas l’inhibition puisque le F- n’est pas disponible pour réaliser la floctuation du Mg2+
156
TP 3: | Quel est l’effet du formaldéhyde dans l’expérience? À quel rendement s’attend-on?
Le formaldéhyde tue les levues. On s’attend à aucune consommation d’O2 car la levure ne peut pas faire la respiration.
157
Comparer la fermentation et la respiration cellulaire aérobie au niveau de la quantité d’ATP produite ainsi que le dernier accepteur.
ATP: Fermentation = 2 ATP, Respiration cellulaire = 30 à 32 Dernier accepteur: Fermentation = pyruvate ou acétaldéhyde Respiration cellulaire = O2