Chapter 1 Flashcards

(131 cards)

1
Q

What are polymers?

A

Large molecule composed of repeating units of smaller monomers.

How well did you know this?
1
Not at all
2
3
4
5
Perfectly
2
Q

Carboxyl groups make a molecule __________.

A

Acidic

How well did you know this?
1
Not at all
2
3
4
5
Perfectly
3
Q

Amino groups make a molecule
____________.

A

Basic

How well did you know this?
1
Not at all
2
3
4
5
Perfectly
4
Q

What is the main function of Carbohydrates?

A

Used as energy storage and structural support in cell walls

How well did you know this?
1
Not at all
2
3
4
5
Perfectly
5
Q

The ratio of C H O is…

A

1:2:1 or (CH2O)n

How well did you know this?
1
Not at all
2
3
4
5
Perfectly
6
Q

Hydroxyl and carboxyl groups make most carbohydrates…

A

Polar so they can dissolve in water.

How well did you know this?
1
Not at all
2
3
4
5
Perfectly
7
Q

What is a monosaccharide?

A

They are simple sugars composed of 3-7 Carbon atoms, they are building blocks.

How well did you know this?
1
Not at all
2
3
4
5
Perfectly
8
Q

What is the common formula for all monosaccharides?

A

C6H12O6

How well did you know this?
1
Not at all
2
3
4
5
Perfectly
9
Q

What isomer of glucose is this molecule?

A

Alpha glucose

How well did you know this?
1
Not at all
2
3
4
5
Perfectly
10
Q

What isomer of glucose is this molecule?

A

Beta glucose

How well did you know this?
1
Not at all
2
3
4
5
Perfectly
11
Q

What is a disaccharide? What is the reaction that they form?

A

They are formed between 2 monosaccharides they join together from dehydration reaction.

How well did you know this?
1
Not at all
2
3
4
5
Perfectly
12
Q

What are the three common monosaccharides?

A

Glucose, Galactose, Fructose

How well did you know this?
1
Not at all
2
3
4
5
Perfectly
13
Q

What are the the three common disaccharides?

A

Sucrose, Maltose, Lactose

How well did you know this?
1
Not at all
2
3
4
5
Perfectly
14
Q

How to make sucrose?

A

Glucose + Fructose

How well did you know this?
1
Not at all
2
3
4
5
Perfectly
15
Q

How to make Lactose?

A

Glucose + Galactose

How well did you know this?
1
Not at all
2
3
4
5
Perfectly
16
Q

How to make maltose?

A

Glucose + Glucose

How well did you know this?
1
Not at all
2
3
4
5
Perfectly
17
Q

Where is maltose found in?

A

Grains and beer production

How well did you know this?
1
Not at all
2
3
4
5
Perfectly
18
Q

Where is lactose found in?

A

Dairy products

How well did you know this?
1
Not at all
2
3
4
5
Perfectly
19
Q

Where is sucrose found in?

A

Table sugar

How well did you know this?
1
Not at all
2
3
4
5
Perfectly
20
Q

What is the bond called between two monosaccharides?

A

Glycosidic linkages

How well did you know this?
1
Not at all
2
3
4
5
Perfectly
21
Q

What is a polysaccharide?

A

Carbohydrate polymers composed of many monosaccharides. The chains can be linear or branched

How well did you know this?
1
Not at all
2
3
4
5
Perfectly
22
Q

What is a polysaccharides main function?

A

Energy storage and structural support

How well did you know this?
1
Not at all
2
3
4
5
Perfectly
23
Q

What are the three most common polysaccharides

A

Starch, glycogen, cellulose

How well did you know this?
1
Not at all
2
3
4
5
Perfectly
24
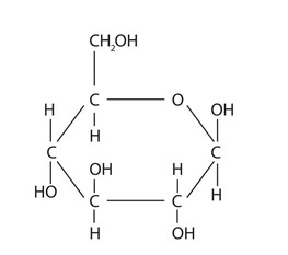
Q

What is this carbohydrate called?

A

Starch

How well did you know this?
1
Not at all
2
3
4
5
Perfectly
25
What is this carbohydrate called?
Glycogen
26
What is this carbohydrate called?
Cellulose
27
What is the difference between starch, glycogen, and cellulose?
Starch and Glycogen are digestible by humans. Starch is energy storage in plants. Glycogen is energy storage in animals. Cellulose is not digestible because we lack the enzyme that makes up their beta 1,4 linkages.
28
Name.
Alpha glucose
29
Name.
Fructose
30
Name.
Beta glucose
31
Name.
Galactose
32
Name.
Cellulose
33
Name.
Maltose
34
Name.
Sucrose
35
Name.
Lactose
36
How can you tell the difference between an alpha linkage and a beta linkage?
Look at carbon 1 and 4 and see if the OH group is facing up (beta) or down (alpha).
37
What make glucose, galactose, and fructose isomers?
They have the same molecular formula but: Glucose- OH is down on C-4 Galactose- OH is up on C-4 Fructose- the second carbon is attached to carbon 5.
38
What polymer has alpha 1,4- linkages and alpha 1,6 linkages?
Glycogen and Starch
39
Which polymer has beta 1,4 linkages?
Cellulose
40
What are the functions of lipids?
Energystorage, protection, hormone precursers, cell membrane.
41
1 gram of fat stores ____kj while 1 gram of carbohydrates/proteins stores _____kj.
38kj, 17kj
42
What are triglycerides composed of?
1 glycerol backbone and 3 fatty acid chains.
43
What is the bond called between the glycerol and fatty acid chains?
Ester bonds
44
What is the difference between a saturated chain and a non-saturated chain?
Saturated is one long straight chain. Unsaturated has a double bond creating a branch.
45
What is a cis bond? What is a trans bond?
Cis bond is when the hydrogens are on same side. Trans is when the are opposite of each other.
46
What process forms a triglyceride?
Dehydration synthesis (condensation) releases three h2o molecules and forms ester linkages.
47
What is a monounsaturated lipid?
Has only one double bond
48
What is a polyunsaturated lipid?
When there are 2 or more double bonds.
49
Examples of saturated lipids.
Butter and lard (solid at room temperature)
50
Examples of unsaturated lipids?
Oils (liquid at room temperature)
51
What is a phospholipid?
It is the main component of cell membranes.
52
What is a phospholipid made up of?
1 glycerol molecule, 2 attached fatty acid chains, 1 phosphate group and an R group.
53
Where is the polar and non-polar region of the phospholipid?
The polar region is the head (the glycerol, phosphate group, R group). The non-polar region is the 2 fatty acid chains.
54
Explain hydrophilic.
Water loving. It is polar and can mix with water. The head of phospholipids are hydrophilic and face towards the water molecules.
55
Explain hydrophobic.
Water fearing. It is non-polar and avoids water molecules. The tail of the phospholipids face away from the water molecules.
56
The R group in the phospholipids…
Identifies the phospholipid.
57
Steroids contain…
4 fused carbon rings with several functional groups.
58
Where is steroids found?
It is a component of the cell membranes and blood it also is a precursor for sex hormones like estrogen and testosterone.
59
What is structure of waxes?
Contains long fatty acid chains linked to alcohols or carbon rings.
60
List waxes characteristics.
- hydrophobic - good for waterproof coatings Example earwax.
61
Name.
Triglyceride
62
Name.
Phospholipid
63
Name.
Steroid
64
What are the functions of proteins?
Structural building blocks, catalysts, transportation, antibodies, allows movement in muscles.
65
Proteins are made from smaller units called…
Amino acids
66
What are essential amino acids?
There are 8 essential AA and they are not produced by the body and must be consumed.
67
What are non essential amino acids?
There are 12 nonessential amino acids and our bodies produce them from non-food sources.
68
Describe the first step to making a functional protein.
Condensation reaction occurs bonding two amino acids together forming a peptide bond.
69
Describe the second step to making a functional protein.
As more amino acids form together a polypeptide chain forms and coils and folds due to the hydrogen bonds.
70
What are the two types of polypeptides?
Alpha helix (found in hair) Beta pleated cheat (formed between parallel polypeptide stretches.
71
Describe the third step to making a functional protein.
Supercooling occurs which makes the protein look like a glob. There are multiple bonds taking place: disulfide bridge, hydrogen bons, hydrophobic bonds, and ionic bonds.
72
What dictates the shape of proteins in the tertiary stage?
Hydrophobic bonds tends to dictate the structure.
73
Describe the fourth step to making a protein?
Two or more of the polypeptide chains form to make a functional protein.
74
What happens when a protein is denatured?
The protein will unfold and change its structure which will make it not form its function.
75
what is an enzyme?
it is a molecule that catalyzes and speeds up chemical reactions in biological systems.
76
what are the functions of enzymes?
they are proteins, not used up in reactions, and lowers the Ea.
77
enzymes have a _________ shape, with pockets on their surfaces called _______________.
globular, active site
78
active sites matches...
the substrate which is called an induced fit
78
Active sites react with reactants, what are the reactants called?
Substrates
79
What are the steps for enzyme reaction?
1. the substrate and the active site bind to form an enzyme-substrate complex. 2. the Ea lowers and water is added 3. Hydrolysis occurs placing stress on the substrate bonds, and breaking them 4. products of the substrate are released and the enzyme remains the same shape and binds to other substrates.
80
how do the enzymes lower Ea and speed up reactions?
The active site causes the bonds to stretch and bend making them weak and easy to break. There is also a transfer of electrons in the substrate which destabilizes them.
81
enzymes are specific, what classifies them?
- type of reaction they catalyze - the shape of the active site must match the substrate exactly - names of enzymes consist of the first part of the substrate name followed by the suffix "-ase"
82
what are cofactors?
metal ions that assist in the substrate binding to the active site
83
what are coenzymes?
organic molecules that assist the enzyme in reaction.
84
what factors affect the reaction rate of enzymes?
1. Temperature (increase in temp is good as long as it is not too much to denature it) 2. pH range (around 6-8) 3. Substrate concentration (low amounts make it difficult for substrate to bind with enzyme)
85
what is an inhibitor?
molecules that bind to the enzyme to reduce enzyme activity by decreasing its ability to interact with the substrate.
86
what is a competitive inhibitor?
they compete with the substrate to bind to the same active site.
87
what is a non-competitive inhibitor?
they bind to sites other than the active site. This site is called the allosteric site and it changes the entire shape of the enzyme so the substrate will not fit.
88
which inhibitor is a) and which is b)
a) competitive inhibitor b) non-competitive inhibitor
89
what is allosteric activation?
it changes the activation site for easier binding which results in faster catalysis. It makes the enzyme shape right for the substrate.
90
there are biochemical pathways. what is: a) biochemical pathway b) feedback inhibition
a) biochemical reactions are series of reactions in which the product of one reaction becomes the substrate for the next reaction b) feedback inhibition is the end product of the pathway becoming the allosteric inhibitor of an earlier enzyme in the pathway.
91
which is a) and which is b)
a) is the biological pathway b) feedback inhibition
92
what are the main functions of the cell membrane?
- protectivbe barrier - transport (controls what goes in and out of the cell)
93
what does the fluid mosaic model consist of?
it consists of: - phospholipid bilayer - a mosaic of proteins, cholesterol, and carbohydrates
94
which molecules can pass through the cell membrane easily? Which cannot?
small hydrophobic molecules can pass easily. polar, hydrophilic molecules cannot pass easily because of the phospholipid hydrophobic tails.
95
phospholipid bilayer is held together by __________________, therefore the molecules move about __________.
weak intermolecular forces, freely
96
if there is a puncture to the membrane, the phospholipids will...
move quickly and rearrange themselves to seal the hole.
97
the presence of double bonds in the membrane leads to...
kinks and less tightly packed lipids which increases fluidity
98
the length of the fatty acid tail will __________ intermolecular attractions which will ___________ fluidity.
increase, reduce
99
what does the presence of cholesterol do to the cell membrane?
it is a fluidity buffer, it increases intermolecular forces which hold the phospholipid layers closer decreasing fluidity. if temp is too low the cholesterol breaks and makes the membrane a solid gel state.
100
what are the types of proteins in the bilayer?
integral proteins, and peripheral membrane proteins
101
what do the proteins in the membrane function as?
- transport - reaction catalyst - cell recognition - provides binding site for enzymes
102
the cell membrane is _________.
semi-permeable (some substances move in easily, others cannot)
103
what is passive transport?
the movement of molecules across a membrane from high to low concentration, without input of energy
104
what is active transport?
movement of molecules against the concentration gradient and energy is required.
105
what are the three types of passive transport?
1. Diffusion 2. Osmosis 3. Facilitated diffusion
106
explain what diffusion is.
it is the movement of molecules or ions from high to low concentration.
107
what are the factors that affect the rate of diffusion?
1. Molecule size (decreases if too big) 2. Molecule polarity (polar can cross at a lower rate than non-polar) 3. Molecule/Ion charge (charged ions cannot move across cell membrane) 4. temperature (increase temp=increase rate)
108
explain what osmosis is.
it is the movement of water from an area of high to low concentration of water across the membrane. water moves towards an area of high solute concentration.
109
if two solutions have the same osmotic concentrations it is called an_____________.
isotonic solution
110
when two solutions have different osmotic concentrations they can be ___________ or ____________.
hypertonic, hypotonic
111
what is hypertonic?
the solution has a higher solute concentration compared to water.
112
what is hypotonic?
the solution has a lower solute concentration and more water.
113
what is the best environment for animal cells?
Isotonic solutions
114
what is the best envrionment for plant cells?
hypotonic solution because it stops cell wall from bursting
115
what is facilitated diffusion?
it is the movement of high to low concentration across the membrane with the help of a protein.
116
what is a channel protein?
it is a channel that allows the polar small molecules to pass through the membrane, it is highly specific in its size and shape so only certain molecules can pass through. some remain open all the time and others close depending on signals
117
what is a carrier protein?
it binds to specific larger molecules that cannot pass through the membrane on its own. it has a lower rate of diffusion because it can only take a few molecules at a time.
118
what does active transport require?
requires ATP
119
what are the two types of active transport?
1. Primary active transport 2. Secondary active transport
120
how does ATP turn into ADP?
add water molecules to ATP which breaks the triphosphate group into a diphosphate group and energy.
121
Explain the primary active transport pump.
there is a carrier protein that works against the concentration gradient, it takes in 3 sodium molecules. One of the phosphate groups breaks off of the ATP and attaches to the protein. This shifts the protein to expel the sodium onto the other side. then on the other side, the proteins take in two of the potassium molecules. The phosphate group breaks off the carrier proteins and it expells the potassium out of the protein.
122
Explain the secondary active transport pump
A method of transport in which the electrochemical potential difference created by pumping ions out of the cell is used to transport molecules across a membrane.
123
bulk transport of substances is accomplished by:
endocytosis and exocytosis
124
define endocytosis?
movement of large materials into the cell, it engulfs the material by folding the cell membrane around it pinching it off to form a vesicle.
125
define exocytosis?
movement of large materials out of the cell
126
what are the three types of endocytosis?
phagocytosis, pinocytosis, receptor-mediated endocytosis.
127
what is phagocytosis?
it is cell-eating and takes on solid matter like bacteria
128
what is pinocytosis?
it is cell-drinking, it takes in fluid-like solute
129
what is receptor-mediated endocytosis?
specific molecules are taken in by receptors and bonded to them.
130
how does exocytosis work?
the vacuole fuses with the cell membrane on the inside of the cell and releases its contents outside of the cell.