How can the Expected Value framework be used to tackle a business problem?
How does Selection Bias affect the data?
How do you calculate the expected benefit of targeting a customer with inventive and of not targeting the customer?
If we get no value from a customer if she does not stay the Value of targeting (VT), which is EBT(x) - EBnotT(x), becomes:
VT = ∆(p) · uS (x) - c

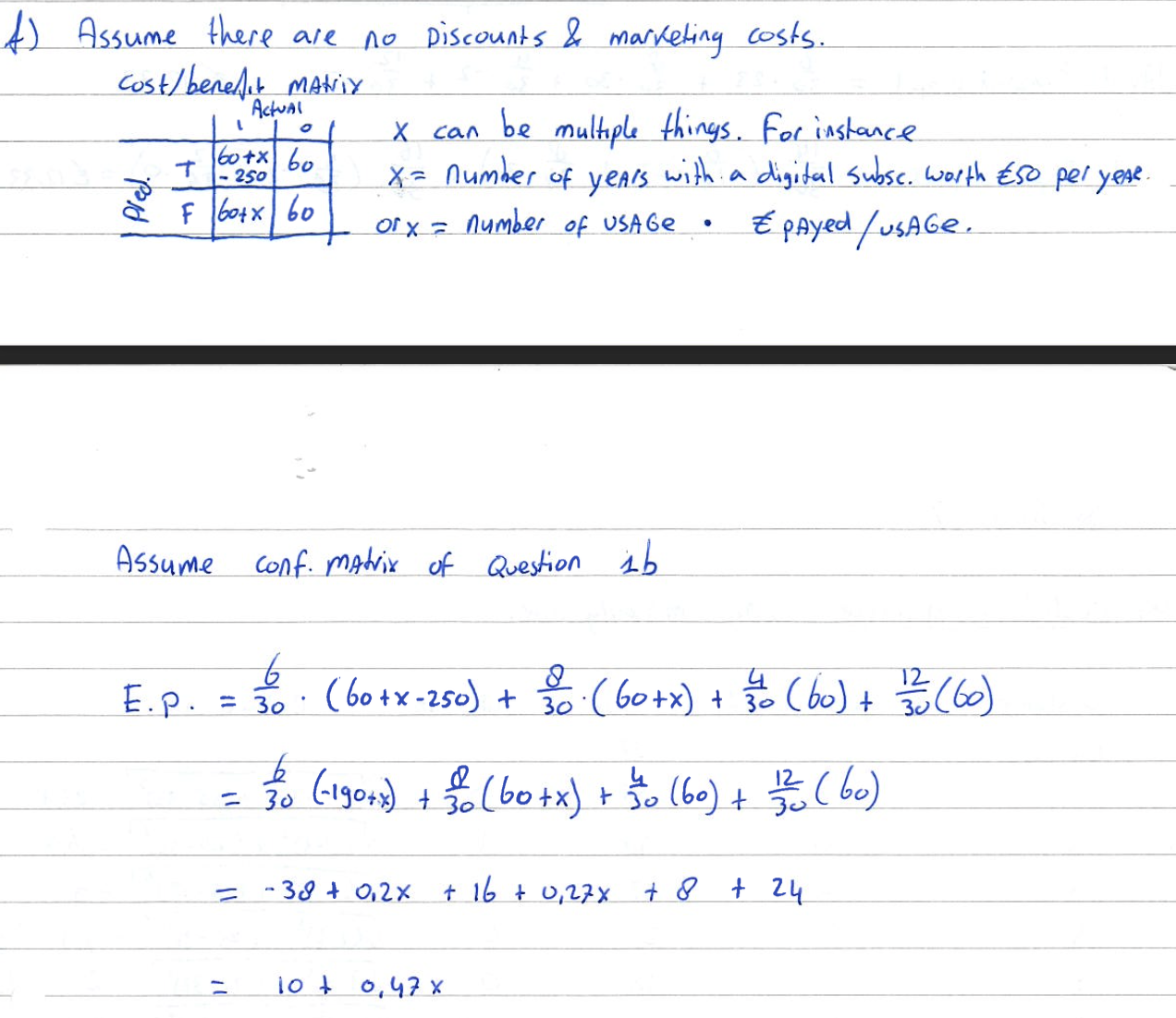
Consider now the case where customers would be offered a tablet, as an incentive to switch to digital subscription. The value of the tablet is $250. To offset this expenditure, the marketing team would like to target customers from whom the company would receive the greatest expected benefit from targeting them. Assume that the value of the costumer not accepting remains fixed at $60 per year. Evaluate the incentive of targeting the customer.
With the following probability matrix.


Considering the pay per use, write down an equation to calculate the expected profit, which explicitly considers both the probability of response for costumer x (p(R|x)) and the costumer usage (u(x)).


“The marketing team requires your assistance in evaluating model XY with a total accuracy of 60%. This model predicts 75% of the customers that will not adhere to a digital subscription correctly.”
How does this translate to a confusion matrix?
Firstly, what this is saying is that the true positive and true negative values need to add up to 60% of the dataset. Thereafter, given that the model predicts 75% of the customers that will not adhere to a DS correctly, for the total number of 0s in digital subscription, 75% of it needs to be in the tn box.
How do you calculate the confusion matrix for a random classifier given a dataset.
You count up the target variable for the individual classes, i.e. how often each one occurs and you then split them evenly across the groups tp and fn, and fp and tn.