What is another name for supervised data models?
Machine learning
What are predictive models used for?
Estimation and classification
Estimation models attempt to approximate or otherwise determine outcomes based on multiple _______ and known ________.
parameters, relationships
What are estimation models used for?
They are used to predict a specific value of numeric dependent or target variable.
What is the equation for a linear equation?
y = a + bX
What is the distance between a predicted value and the observed value called?
residual or error
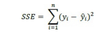
What is the equation for Sum of Squares Errors (SSE)?

How can you determine the Root Sum of Square Errors?
Take the sqaure root of the average sum of square errors

In the abscence of regression what would be the best prediction method?
What is the sum of sqaured errors without regression called?
What is the name of the following equation?
SST = SSR + SSE
To make predictions with multiple independent variables you should use what model?
Multiple linear regression
True or False: In a multiple linear regression all variables must be numeric in value.
True or False: Non-numeric data cannot be converted to numeric values
What is used to evalute the performace of the classification model?
True postives are called _________
False negatives are called _________
False postives are called _________
True negatives are called _________
How do you make a dependent variable into a categorical one?
Naive Bayes classifer focuses on what techniuque?
What is K-nearst neighbors based upon?
What are the 2 types of decision trees?
What is the simplest classification tree?
True/False or Yes/No
(ANN) Artificial nueral networks are adept at what kind of function?
Genetic algorithms use the process of _______, _______, and _______ to find solutions to complex problems.
Filtering spam is an example of what type of machine learning?