Atomic number (Z):
always an integer and is equal to the number of protons in the nucleus
Mass number (A):
equal to the total number of nucleons (protons and neutrons) in a nucleus.
Isotopic notation:
immediately left to the chemical symbol, the mass number and atomic number can be read top to bottom, respectively.

Isotopes:
atoms of the same element that have different mass numbers; same number of protons, different number of neutrons;
Isotopes generally exhibit the same chemical properties
Radionuclide:
generic term used to refer to any radioactive isotope, especially those used in nuclear medicine
The atomic mass of an atom is simply equal to:
its mass number (A)
Atomic weight:
the mass in grams of one mole of atoms of a given element. Expressed g/mol
Nuclear binding energy is:
the amount of energy that is released when nucleons (protons and neutrons) bind together through strong nuclear force
Mass defect is:
the difference between the mass of the unbound constituents and the mass of the bound constituents in the nucleus
Unbound constituents in the nucleus have:
more energy and more mass than the bound constituents
Mass defect is the amount of mass converted to energy through:
the nuclear reactions of fusion or fission
Fusion:
occurs when small nuclei combine into larger nuclei
Fission:
occurs when a large nucleus splits into smaller nuclei; rarely spontaneous; when a nucleus absorbs a low energy neutron, a chain reaction can occur
Energy is released in both fusion and fission because:
the nuclei formed in both processes are more stable than the starting nuclei
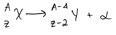
Alpha decay is:
Loss of a 4-He nucleus (2 protons and 2 neutrons). Mass number decreases by 4 and atomic number decreases by 2.

Beta decay is:
Loss of an electron (e- or β-). Emitted when a neutron in the nucleus decays into a proton and an antineutrino (β-). A neutron is lost and a proton takes its place. Mass number remains the same and atomic number increases by one.

Positron decay is:
when a proton splits into a positron (β+) and a neutron. A proton is lost and the mass number remains the same.

Gamma decay is :
the emission of a gamma photon. The energy of the parent nucleus is lowered, but the mass and atomic number remain the same.

Electron capture is:
When a radionuclide captures an inner electron that combines with a proton to form a neutron. Atomic number is one less and mass number remains the same.

Half-life is:
the amount of time required for half of a sample of radioactive nuclei to decay
T1/2= 0.693/λ
The rate at which radioactive nuclei decay is proportional to:
the number of nuclei that remain
The more binding energy per nucleon released, the more:
stable the nucleus
Equation for exponential decay:
n = noe-λt
Equation to determine the mass lost as binding energy in a nucleus:
E = mc2
where m is the mass of c is the speed of light