Chapter 12 - special_relativity Flashcards

(20 cards)

1
Q

What is Einstein’s first postulate of special relativity?

A

The speed of light in a vacuum is an absolute constant, independent of the motion of the source or observer.

How well did you know this?
1
Not at all
2
3
4
5
Perfectly
2
Q

What is Einstein’s second postulate of special relativity?

A

All inertial frames of reference are equivalent; the laws of physics are the same for all observers moving at constant velocity.

No experimental device that can tell you travelling at a constant spped or standing still

How well did you know this?
1
Not at all
2
3
4
5
Perfectly
3
Q

What experimental evidence supports the constancy of the speed of light?

A

The Michelson–Morley experiment, which failed to detect any difference in light’s speed due to Earth’s motion.

All known as a null reesult.

How well did you know this?
1
Not at all
2
3
4
5
Perfectly
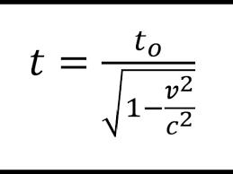
4
Q

What is time dilation?

A

The phenomenon where time appears to pass more slowly in a moving frame relative to a stationary observer.

the ticks of clock take longer

How well did you know this?
1
Not at all
2
3
4
5
Perfectly
5
Q

Give an example of experimental evidence for time dilation.

A

Observation of cosmic-ray muons reaching Earth’s surface despite their short half-life.

without time dilation they would not be able to reach the each surface due to short half life (but we still detect them)

How well did you know this?
1
Not at all
2
3
4
5
Perfectly
6
Q

What experiment confirmed time dilation using atomic clocks?

A

The Hafele–Keating experiment (1971), flying atomic clocks around Earth.

How well did you know this?
1
Not at all
2
3
4
5
Perfectly
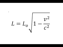
7
Q

What is length contraction?

A

The shortening of an object along its direction of motion relative to an observer, as its velocity approaches the speed of light.

note: length contraction only in direction of motion

How well did you know this?
1
Not at all
2
3
4
5
Perfectly
8
Q

Where is evidence for relativistic effects also observed?

A

Particle accelerators and cosmological observations.

LHC-

How well did you know this?
1
Not at all
2
3
4
5
Perfectly
9
Q

What is the formula for relativistic momentum?

A

p = γmv, where γ = 1/√(1-v^2/c^2).

How well did you know this?
1
Not at all
2
3
4
5
Perfectly
10
Q

What consequence does relativistic momentum have for velocity?

A

It imposes a limit — no particle with mass can reach or exceed the speed of light.

How well did you know this?
1
Not at all
2
3
4
5
Perfectly
11
Q

What is Einstein’s mass-energy equivalence relationship?

A

E = mc^2

How well did you know this?
1
Not at all
2
3
4
5
Perfectly
12
Q

Give three examples of processes where mass is converted into energy.

A
  1. Nuclear fusion in the Sun.
  2. Particle–antiparticle annihilation (e.g., electron–positron).
  3. Combustion of conventional fuel.
How well did you know this?
1
Not at all
2
3
4
5
Perfectly
13
Q

Why is E = mc^2 significant?

A

It shows mass and energy are interchangeable, revolutionising physics and underpinning nuclear energy.

How well did you know this?
1
Not at all
2
3
4
5
Perfectly
14
Q

What thought experiment did Einstein use with a moving train and lightning strikes?

A

Observers on the train and on the platform disagree on whether lightning strikes at both ends of the train happened simultaneously, showing that simultaneity is relative.

How well did you know this?
1
Not at all
2
3
4
5
Perfectly
15
Q

What was Einstein’s ‘chasing a beam of light’ thought experiment?

A

He imagined running alongside a light beam. If classical physics were true, he would see stationary light waves, but this contradicted Maxwell’s equations — leading him to propose light’s speed is constant.

How well did you know this?
1
Not at all
2
3
4
5
Perfectly
16
Q

How did Einstein’s light clock thought experiment demonstrate time dilation?

A

A light beam bouncing between mirrors takes longer for a moving observer compared to a stationary one, showing that moving clocks run slower.

17
Q

What experiment attempted to detect the aether and supported Special Relativity instead?

A

The Michelson–Morley experiment, which showed no difference in light speed regardless of Earth’s motion.

18
Q

How do cosmic-ray muons provide evidence for time dilation?

A

Muons created high in the atmosphere should decay before reaching Earth, but many are detected because their lifetime is extended by relativistic time dilation.

19
Q

What experiment confirmed time dilation using aircraft?

A

The Hafele–Keating experiment (1971), where atomic clocks flown around the world recorded time differences consistent with relativity.

20
Q

How do particle accelerators provide evidence for Special Relativity?

A

Particles gain huge momentum without exceeding the speed of light, and their lifetimes are extended at high velocities.