What is a Correlation Coefficient.
Page 392
■■A correlation coefficient is a statistic that quantifies a relation between two variables.
■■A positive correlation is an association between two variables such that participants with high scores on one variable tend to have high scores on the other variable as well, and those with low scores on one variable tend to have low scores on the other variable.
■■A negative correlation is an association between two variables in which participants with high scores on one variable tend to have low scores on the other variable.
Describe the nature of a correlation coefficient?
MASTERING THE CONCEPT - Page 392
15.1: A correlation coefficient always falls between -1.00 and 1.00. The size of the coefficient, not its sign, indicates how large it is.
Explain the difference between a positive and a negative coefficient?
MASTERING THE CONCEPT Page 393
15.2: The sign indicates the direction of the correlation, positive or negative. A positive correlation occurs when people who are high on one variable tend to be high on the other as well, and people who are low on one variable tend to be low on the other. A negative correlation occurs when people who are high on one variable tend to be low on the other.
What do you know about Correlation?
Page 396 >
A correlation coefficient is a statistic that quantifies a relation between two variables.
> The correlation coefficient always falls between -1.00 and 1.00. > When two variables are related such that people with high scores on one tend to have high scores on the other and people with low scores on one tend to have low scores on the other, we describe the variables as positively correlated.
> When two variables are related such that people with high scores on one tend to have low scores on the other, we describe the variables as negatively correlated.
> When two variables are not related, there is no correlation and they have a correlation coefficient close to 0. > The strength of a correlation, captured by the number value of the coefficient, is independent of its sign. Cohen established standards for evaluating the strength of association.
> Correlation is not equivalent to causation. In fact, a correlation does not help us decide the merits of different causal explanations.
> When two variables are correlated, this association might occur because the first variable, (A), causes the second, (B); or because the second variable, (B), causes the first, (A). Alternately, a third variable, (C), could cause both of the correlated variables, (A) and (B).
Explain why Correlation is not Causation?
MASTERING THE CONCEPT Page 396
15.3: Just because two variables are related doesn’t mean one causes the other. It could be that the first causes the second, the second causes the first, or a third variable causes both. Correlation does not indicate causation.
Can Correlation be Defined from a Graph?
MASTERING THE CONCEPT Page 398
15.4: A scatterplot can indicate whether two variables are linearly related. It can also give us a sense of the direction and strength of the relation between the two variables.
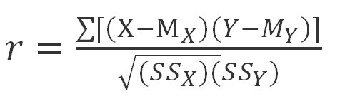
What is the formula for Correlation Coefficient r?
. MASTERING THE FORMULA Page 399 15-1: The formula for the correlation coefficient is:
We divide the sum of the products of the deviations for each variable by the square root of the products of the sums of squares for each variable.
This calculation has a built-in standardization procedure: It subtracts a mean from each score and divides by some kind of variability. By using sums of squares in the denominator, it also takes sample size into account.

Can a Hypothesis Test be performed with a Correlation Coefficient?
MASTERING THE CONCEPT Page 401
15.5: As with other statistics, we can conduct hypothesis testing with the correlation coefficient. We compare the correlation coefficient to critical values on the r distribution
What is the Formula for Degrees of Freedom?
MASTERING THE FORMULA Page 402
15-2: When conducting hypothesis testing for the Pearson correlation coefficient, r, we calculate degrees of freedom by subtracting 2 from the sample size. For Pearson correlation, the sample size is the number of participants, not the number of scores. The formula is: Dfr = N - 2
What is Psychometrics?
Page 403
■■Psychometrics is the branch of statistics used in the development of tests and measures.
■■Psychometricians are the statisticians and psychologists who develop tests and measures.
■■Test–retest reliability refers to whether the scale being used provides consistent information every time the test is taken.
■■The Pearson correlation coefficient r, is a statistic that quantifies a linear relation between two scale variables.
How do we use correlation to calculate reliability?
MASTERING THE CONCEPT Page 404
15.6: Correlation is used to calculate reliability either through test–retest reliability or through a measure of internal consistency such as coefficient alpha.
How do we use Correlation to calculate validity?
MASTERING THE CONCEPT Page 404
15.7: Correlation is used to calculate validity, often by correlating a new measure with existing measures known to assess the variable of interest.
What is Coefficient Alpha?
Page 404
■■Coefficient alpha, symbolized as α, is a commonly used estimate of a test or measure’s reliability and is calculated by taking the average of all possible split-half correlations; sometimes called Cronbach’s alpha.
What is Partial Correlation?
Page 405
■■Partial correlation is a technique that quantifies the degree of association between two variables that remains when the correlations of these two variables with a third variable are mathematically eliminated.
How do we employ Partial Correlation?
MASTERING THE CONCEPT Page 405
15.8: Partial correlation allows us to quantify the relation between two variables, controlling for the correlation of each of these variables with a third related variable.
Explain Psychometrics?
Page 407 > Correlation is a central part of psychometrics, the statistics of the construction of tests and measures.
> Psychometricians, the statisticians who practice psychometrics, use correlation to establish the reliability and the validity of a test.
> Test–retest reliability can be estimated by correlating the same participants’ scores on the same test at two different time points.
> Coefficient alpha, now widely used to establish reliability, is essentially calculated by taking the average of all possible split-half correlations (i.e., not just the odds vs. the evens).
> Partial correlation lets us quantify the association between two variables, over and above the association of a third variable with either of these variables.