Graphical methods may not always be sufficient for describing data. __ __ can be created for both populations and samples
numberical measures
a numerical descriptive measure calculated for a population. Fixed (unknown) value.
Parameter
a numerical descriptive measure calculated for a sample. Varies over samples
Statistic
A measure along the horizontal axis of the data distribution that locates the center of the distribution.
Measure of Center
the sum of the measurements divided by the total number of measurements.
MEAN
Sample Mean
x-bar = Σ(xi) / n n = sample size (# of measurements)
If we were able to enumerate the whole population, the population mean would be called?
µ (mew)
the middle measurement when the measurements are ranked from smallest to largest
MEDIAN
Position of the Median (equation)
.5(n +1)
The measurement which occurs most frequently
Mode
The __ is more easily affected by extremely large or small values than the __.
mean, median
The __ is often used as a measure of center when the distribution is skewed
median
Mean vs Median 1) Symmetric 2) Skewed right 3) Skewed left
1) Mean = Median 2) Mean > Median 3) Mean < Median
A measure along the horizontal axis of the data distribution that describes the spread of the distribution from the center.
Measure of Variability
Difference between the largest and smallest measurements.
Range (R)
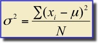
Measure of variability that uses all the measurements. Measures the average (squared) deviation of the measurements about their mean
Variance
The variance of a POPULATION of __ measurements is the average of the squared deviations of the measurements about their mean __.
N, µ
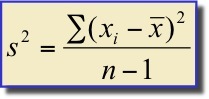
The variance of a SAMPLE of __ measurements is the sum of the squared deviations of the measurements about their mean, divided by ___.
(n-1)
Variance of a Population (equation)

Variance of a Sample (equation)

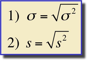
1) In calculating the variance, we squared all of the deviations, and in doing so changed the __ of the ___.
2) To return this measure of variability to the original units of measure, we calculate the __ __.
1) Scale of the Measurements
2) Standard Deviation
1) Standard Deviation of POPULATION
2) Standard Deviation of SAMPLE

The value of s is ALWAYS ?
positive
The larger the value of s2 or s, the larger the __ of the __ __.
variability of the data set.