Point impulse (impulse function)
Is used as the input signal to characterize the response of a system, which is the impulse response.
Comb and sampling functions, rect and sinc functions, and exponential and sinusoid all signals
Are used to help describe and characterize signaling systems
A system is linear if
When the input consists of a collection of signals, the output is a summation of the responses of the system to each individual input signal
A system is shift invariant if
An arbitrary translation of the input signal results in an identical translation of the output
A signal is separable if
It can be represented as the product of 1D signals
Fourier transform
Represents signals as a sum of sinusoids of different frequencies with associated magnitude and phase
Transfer function
The Fourier space analog of the impulse response
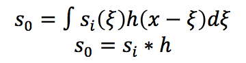
Output of a linear shift invariant system
The convolution of the input with the impulse response; in Fourier space, it is the product of the Fourier transform of the input and the transfer function
Continuous signals
Are transformed by sampling or discretization into discrete signals in order to be digitally represented
Aliasing
Is caused by improper sampling of a continuous signal, yielding artifacts in the resulting digital image
Signals
Mathematical functions. They can be discrete, continuous or mixed.
A system is linear if it satisfies:

Sifting property of the delta function

Linear property of delta function

L has the property of “shift invariance”

Linear Shift Invariant system (LSI)
The output is determined by the convolution of the input and the PSF

Convolution

Connections of LSI Systems:

Seperable systems

1D Fourier Transform

Rect and Sinc

Fourier transform relationship of rect and sinc

Linearity of Fourier Transform

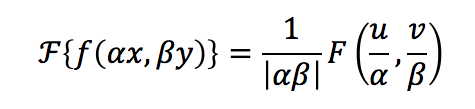
Scaling of Fourier Transform
