Chapter 24 - Numerical Methods (Pure) Flashcards

(3 cards)

1
Q

what does a cobweb and staircase diagram look like? what does it do?

A

a cobweb diagram is a way of finding the root

How well did you know this?
1
Not at all
2
3
4
5
Perfectly
2
Q

whats the newton’s-raphson method?

A

the newton raphson method uses the equation to find the root.

How well did you know this?
1
Not at all
2
3
4
5
Perfectly
3
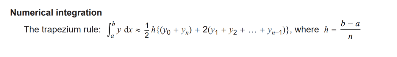
Q

what’s the trapzium rule?

A

n is the number of strips (number of trapeziums)
h is the width of the strips
th x values go up in steps of h starting with x0=a
the area of a trapezium is A= h/2 (yr + (yr+1))
so its finding the area of all the trapeziums

How well did you know this?
1
Not at all
2
3
4
5
Perfectly