Chapter 3 stats yr 2 Flashcards

(18 cards)

1
Q

What is the difference between the normal distribution and the binomial distribution?

A

Normal distribution is continuous, while the binomial distribution is discrete

How well did you know this?
1
Not at all
2
3
4
5
Perfectly
2
Q

Give examples of variables that follow the normal distribution and are therefore continuous.

A

IQ scores, height and weight

How well did you know this?
1
Not at all
2
3
4
5
Perfectly
3
Q

What are the characteristics of the normal distribution?

A
  • it is symmetrical (mean = median = mode)
  • has a bell-shaped curved with asymptotes at each end
How well did you know this?
1
Not at all
2
3
4
5
Perfectly
4
Q
A

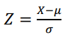
μ represents the mean and
σ represents the standard deviation.

How well did you know this?
1
Not at all
2
3
4
5
Perfectly
5
Q

What is the total area under the normal distribution curve?

A

1

How well did you know this?
1
Not at all
2
3
4
5
Perfectly
6
Q

What is the 68-95-99.7 rule?

A
  • 68% of data is within one standard deviation of the mean
  • 95% of data is within two standard deviations of the mean
  • 99.7% of data is within three standard deviations of the mean
How well did you know this?
1
Not at all
2
3
4
5
Perfectly
7
Q

When using the ‘Normal CD’ function on your calculator, what do you enter as the upper bound, if not given?

A

A very large value e.g. 100,000

How well did you know this?
1
Not at all
2
3
4
5
Perfectly
8
Q

When using the ‘Normal CD’ function on your calculator, what do you enter as the lower bound, if not given?

A

A very small value e.g. -100,000

How well did you know this?
1
Not at all
2
3
4
5
Perfectly
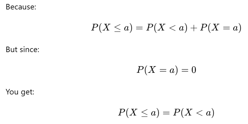
9
Q

Why is this true?

A
  • As individual exact values have a probability of 0, because it is so infinitely specific that it doesn’t register as a probability mass
How well did you know this?
1
Not at all
2
3
4
5
Perfectly
10
Q

Why does ≤ and < give the same result?

A
How well did you know this?
1
Not at all
2
3
4
5
Perfectly
11
Q
A
How well did you know this?
1
Not at all
2
3
4
5
Perfectly
12
Q
A
How well did you know this?
1
Not at all
2
3
4
5
Perfectly
13
Q
A
How well did you know this?
1
Not at all
2
3
4
5
Perfectly
14
Q

Why do we standardise our data (using coding)?

A

Because the data is much easier to analyse and work with

How well did you know this?
1
Not at all
2
3
4
5
Perfectly
15
Q

How is the standard normal distribution denoted?

A
How well did you know this?
1
Not at all
2
3
4
5
Perfectly
16
Q

What is the formula for converting your variable into a standard normal variable?

17
Q

What is this notation equivalent to?