Chapter 4 Flashcards

(15 cards)

1
Q

Reflection about x-axis: R2

A
How well did you know this?
1
Not at all
2
3
4
5
Perfectly
2
Q

Reflection about y-axis: R2

A
How well did you know this?
1
Not at all
2
3
4
5
Perfectly
3
Q

Reflection about (y = x): R2

A
How well did you know this?
1
Not at all
2
3
4
5
Perfectly
4
Q

Reflection about x-axis: R3

A
How well did you know this?
1
Not at all
2
3
4
5
Perfectly
5
Q

Reflection about y-axis: R3

A
How well did you know this?
1
Not at all
2
3
4
5
Perfectly
6
Q

Reflection about yz plane: R3

A
How well did you know this?
1
Not at all
2
3
4
5
Perfectly
7
Q

Orthogonal projection onto x-axis: R2

A
How well did you know this?
1
Not at all
2
3
4
5
Perfectly
8
Q

Orthogonal projection onto y-axis: R2

A
How well did you know this?
1
Not at all
2
3
4
5
Perfectly
9
Q

Orthogonal projection onto xy-plane: R3

A
How well did you know this?
1
Not at all
2
3
4
5
Perfectly
10
Q

Orthogonal projection onto xz-plane: R3

A
How well did you know this?
1
Not at all
2
3
4
5
Perfectly
11
Q

Orthogonal projection onto yz-plane: R3

A
How well did you know this?
1
Not at all
2
3
4
5
Perfectly
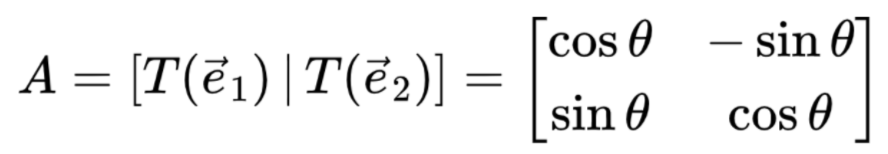
12
Q

Rotation operator on R2:

A
How well did you know this?
1
Not at all
2
3
4
5
Perfectly
13
Q

Counterclockwise rotation about the + x-axis through an angle theta

A
How well did you know this?
1
Not at all
2
3
4
5
Perfectly
14
Q

Counterclockwise rotation about the + y-axis through an angle theta

A
How well did you know this?
1
Not at all
2
3
4
5
Perfectly
15
Q

Counterclockwise rotation about the + z-axis through an angle theta

A
How well did you know this?
1
Not at all
2
3
4
5
Perfectly