(Honors) What is the letter code for a sublevel with l = 1?
p
All the forms of electromagnetic radiation together comprise the…
Electromagnetic spectrum

(Honors) Is the following set of quantum numbers allowed? If no, why not?
n =4, l = -1, ml = 0, ms = +1/2
No. l must be from 0 to (n-1). l cannot be a negative number.
(Honors) Complete the table:


A unit of frequency equal to 1 wave per second.
Hertz (Hz)
Consider the following orbital diagram for nitrogen. Is the ground state electron configuration given acceptable? If no, why not?

Yes.
A spectrum containing all visible wavelengths of light
Continuous spectrum

What energy is associated with a photon of electromagnetic radiation whose frequency is 3.6x1012 Hz?

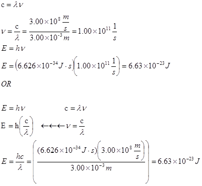
How much energy is associated with microwave radiation whose wavelength is 3.00mm (3.00x10-3m)?

A form of energy that exhibits wavelike behavior as it travels through space.
Or
Oscillating (changing in a regular, repeating way over time) electric and magnetic fields that travel through empty space
Electromagnetic Radiation
A 3D region around the nucleus that indicates the probable location of an electron
Orbital
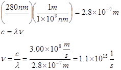
Ultraviolet radiation with a wavelength of less than 280nm may be used as a germicide. What is the frequency of this radiation?

The height of the wave above the x-axis
Amplitude

A state in which an atom has a higher potential energy than it has in its ground state
Excited state
(Honors) Is the following set of quantum numbers allowed? If no, why not?
n = 5, l = 1, ml = -1, ms = -1
No. The only allowed values for ms are +1/2 or -1/2.
A particle of electromagnetic radiation having zero mass and carrying a quantum of energy
Photon
Complete the table


(Honors) The quantum number that indicates the two fundamental spin states of an electron
The spin quantum number (ms)
How many sublevels are there in the 3rd energy level (n=3)? What are their names?
3: 3s, 3p, 3d
A human body emits infrared radiation of around 7.95x10-21J per photon. What is the frequency associated with this radiation?

(Honors) What are the values for n and l for a 3p sublevel?
n = 3
l = 1
The lowest energy state of an atom
Ground state
The distance between corresponding points on adjacent waves.
Wavelegnth (λ)

(Honors) If n=3, what are the possible values for l?
l may be equal to 0, 1, or 2 (corresponding to an s, p, and d sublevel)