What is the difference between a vector and a scalar?
A vector possesses both magnitude and direction. A scalar only possesses magnitude.
The unit vector of u is denoted as … .
û
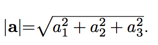
How is the magnitude of a vector calculated?

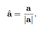
The unit vector in the direction of a is … .

The scalar product / dot product of two vectors is defined as … .

What does θ denote in the scalar product?
θ denotes the smaller angle between the two vectors.
If a and b are perpendicular or orthogonal,
then … .
a.b = 0
If a.b = 0, then a and b are … .
perpendicular / orthogonal ´