Continuous Random Variable
Random variable whose values fall within an interval
Density Curve (Function)
Assigns probabilities to any interval of possible random variable values
Density Curve Analogous To…
A histogram, which converges to the density curve
P(X = c) for any c
0
Area under the Density Function curve
1
Normal Distribution
Symmetric and bell-shaped continuous random variable distribution
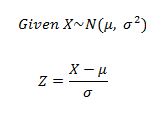
Normal Distribution in terms of X

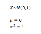
Standard Normal Distribution
Where the mean is 0 and the standard deviation is 1
Standard Normal Distribution in terms of X

Finding Z from some Normally Distributed X

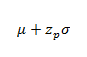
Finding X from some Standard Normal Z

P(a < Z < b)
P(Z < b) - P(Z < a)
N(0,1) Transformations
N(0,y) shifts it up or down if > 1 and down if < 1 N(x,0) shifts it right if > 1 and down if < 1
Z Values and Percentiles (Standard)
If P(Z < zp) = p we say zp is the pth quantile or p*100th percentile of the standard normal distribution
Z Values and Percentiles (General)
pth quantile or p*100th percentile is
