Joint Probability Mass Function for Discrete Variables
Joint Probability Mass Function for Continuous Variables
Joint Probability Density Function for Continuous Variables
Example of Joint Probability Density
Marginal Densities in example

Independent Random Variables
Independent Random Variables Explained
Conditional Distributions
Expected Value
Covariance
Correlation

Correlation Coefficient

Properties of the Correlation Coefficient

Joint PMF of Two Discrete Random Variables
Marginal PMF of Two Discrete RVs
Example: Joint Probability Distribution of 2 Discrete RVs
Example: Joint Probability Distribution of 2 Discrete RVs (contd.)
Finding Marginal Distributions from Previous Example
Two Continuous Random Variables
If A is the two-dimensional rectangle
If A is the two-dimensional rectangle
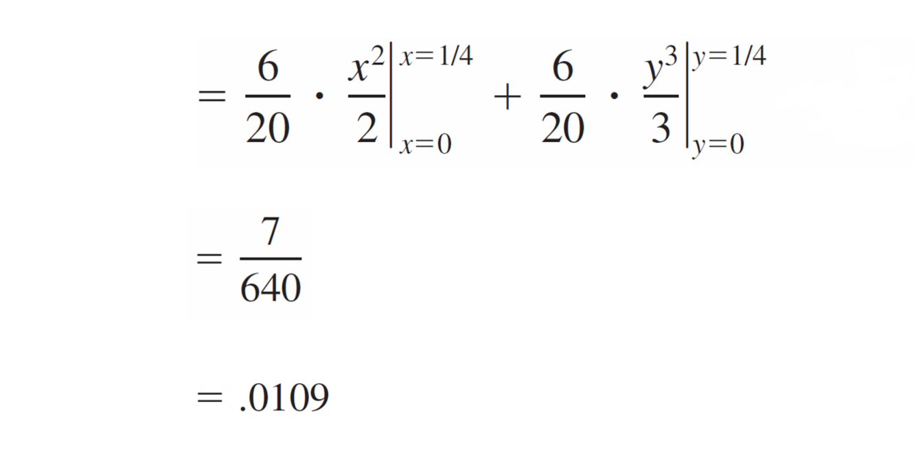
Example 3
Example 3 contd.