Chapter 6 Flashcards

(32 cards)

1
Q

The joint distribution of two r.v.s X and Y provides . . .

A

complete information about the probability of the vector (X, Y) falling into any subset of the plane

How well did you know this?
1
Not at all
2
3
4
5
Perfectly
2
Q

The marginal distribution of X is the. . .

A

individual distribution of X, “ignoring” the value of Y

How well did you know this?
1
Not at all
2
3
4
5
Perfectly
3
Q

The conditional distribution of X given
Y = y is the. . .

A

“updated” distribution for X after observing Y = y

How well did you know this?
1
Not at all
2
3
4
5
Perfectly
4
Q

The joint CDF of r.v.s X and Y is the function FX,Y given by . . .

A
How well did you know this?
1
Not at all
2
3
4
5
Perfectly
5
Q

The joint PMF of discrete r.v.s X and Y is the function pX,Y given
by . . .

A
How well did you know this?
1
Not at all
2
3
4
5
Perfectly
6
Q

For discrete r.v.s X and Y, the marginal PMF of X is . . .

A
How well did you know this?
1
Not at all
2
3
4
5
Perfectly
7
Q

The operation of summing over the possible values of Y in order to convert the joint PMF into the marginal PMF of X is known as _______________________

A

marginalizing out Y

How well did you know this?
1
Not at all
2
3
4
5
Perfectly
8
Q

For discrete r.v.s X and Y, the conditional PMF of Y given X = x is . . .

A
How well did you know this?
1
Not at all
2
3
4
5
Perfectly
9
Q

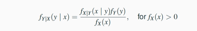
We can also relate the conditional distribution of Y given X = x
to that of X given Y = y, using Bayes’ rule such that . . .

A
How well did you know this?
1
Not at all
2
3
4
5
Perfectly
10
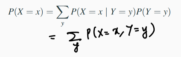
Q

Relate the conditional distribution of Y given X = x to that of X given Y = y using the LOTP

A
How well did you know this?
1
Not at all
2
3
4
5
Perfectly
11
Q

Random variables X and Y are independent if for all x and y . . .

A
How well did you know this?
1
Not at all
2
3
4
5
Perfectly
12
Q

If X and Y are discrete, this is equivalent to the condition __________________ for all x, y, and it is also equivalent to the condition _____________________ for all x, y such that _______________________

A
How well did you know this?
1
Not at all
2
3
4
5
Perfectly
13
Q

Remember that in general, the marginal distributions _________ determine the joint distribution BUT in the special case of ________________, the marginal distributions are all we need in order to specify the joint distribution; we can get the joint PMF by . . .

A

do not
independence
multiplying the marginal PMFs

How well did you know this?
1
Not at all
2
3
4
5
Perfectly
14
Q

Formally, in order for X and Y to have a continuous joint distribution, we require that the joint CDF _______________ be . . .

A
How well did you know this?
1
Not at all
2
3
4
5
Perfectly
15
Q

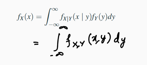
For continuous r.v.s X and Y with joint PDF fX,Y , the marginal PDF of X is . . .

A
How well did you know this?
1
Not at all
2
3
4
5
Perfectly
16
Q

For continuous r.v.s X and Y with joint PDF fX,Y , the conditional PDF of Y given X = x is . . .

17
Q

we can recover the joint PDF fX,Y if we have the conditional PDF fY|X and the corresponding marginal fX :

18
Q

For continuous r.v.s X and Y , we have the following continuous
form of Bayes’ rule:

19
Q

For continuous r.v.s X and Y , we have the following continuous
form of LOTP:

20
Q

How is the independence of continuous r.v.s X and Y determined?

21
Q

Let g be a function from R2 to R. If X and Y are discrete, then E(g(X,Y)) = _______. If X and Y are continuous, then E(g(X,Y)) = _______.

22
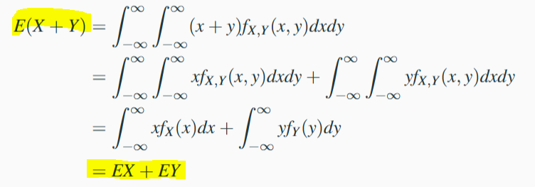
Q

Let X and Y be continuous r.v.s (the analogous method also works in the discrete case). Then E(X + Y) = ________________

23
Q

The covariance between r.v.s X and Y is _________________ or equivalently __________________________

24
Q

If X and Y are independent, then their covariance is _________. We say that these r.v.s are ______________

A

zero
uncorrelated

25
Cov(X, X) = _________
Var(X)
26
Cov(X, Y) = _____________
Cov(Y, X)
27
Cov(X, c) = ____________
0 for any constant c
28
Cov(aX, Y) = _____________
aCov(X, Y) for any constant a
29
Cov(X + Y, Z) = _______________
Cov(X, Z) + Cov(Y, Z)
30
Cov(X + Y, Z + W) = . . .
Cov(X, Z) + Cov(X, W) + Cov(Y, Z) + Cov(Y, W)
31
Var(X + Y) = ____________
Var(X) + Var(Y) + 2Cov(X, Y)
32
The **correlation** between r.v.s X and Y is . . .