Chapter 6: Harmonic Functions Flashcards

(5 cards)

1
Q

Define Harmonic Function

A
How well did you know this?
1
Not at all
2
3
4
5
Perfectly
2
Q

Harmonic Function Breakdown

A
How well did you know this?
1
Not at all
2
3
4
5
Perfectly
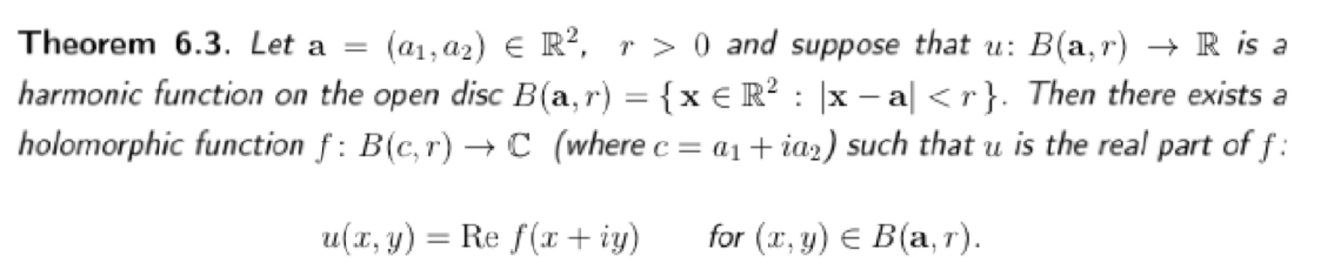
3
Q

Harmonic Function on Open Disc Implies

A
How well did you know this?
1
Not at all
2
3
4
5
Perfectly
4
Q

Holomorphic Function on an Open Disc implies

A
How well did you know this?
1
Not at all
2
3
4
5
Perfectly
5
Q

Define Harmonic Conjugate

A
How well did you know this?
1
Not at all
2
3
4
5
Perfectly