Chapter 6 - Price Discrimination Flashcards

(40 cards)

1
Q

price discrimination

A

the practice of setting different prices for the same good depending on quantity purchased, on the buyer’s characteristics or on various sale clauses

How well did you know this?
1
Not at all
2
3
4
5
Perfectly
2
Q

goal of price discrimination

A

goal of price discrimination is for the seller to make the most profit possible and to capture the market’s consumer surplus and generate the most revenue possible for a good sold

How well did you know this?
1
Not at all
2
3
4
5
Perfectly
3
Q

customer markets

A

markets where the sale terms are tailored to each individual customer

How well did you know this?
1
Not at all
2
3
4
5
Perfectly
4
Q

customer markets

A

markets where the sale terms are tailored to each individual customer

How well did you know this?
1
Not at all
2
3
4
5
Perfectly
5
Q

perfect price discrimination

A

seller has perfect information about each buyer’s valuation and is able to set a different price to each buyer.
optimal policy is to sell at a price equal to the willingness to pay by each customer

How well did you know this?
1
Not at all
2
3
4
5
Perfectly
6
Q

resale possibility

A

when segmenting a market and setting different prices to different segments, one must beware of the possibility of resale (arbitrage opportunity)

How well did you know this?
1
Not at all
2
3
4
5
Perfectly
7
Q

price discrimination allows the seller to create additional consumer surplus and capture existing consumer surplus. Its success requires that…

A

…resale be expensive or impossible

How well did you know this?
1
Not at all
2
3
4
5
Perfectly
8
Q

first degree price discrimination

A

perfect price discrimination

a firm sellls each unit at the maximum amount any customer is willing to pay for it (auction)

How well did you know this?
1
Not at all
2
3
4
5
Perfectly
9
Q

second degree price discrimination

A

price depends on the quantity purchased

How well did you know this?
1
Not at all
2
3
4
5
Perfectly
10
Q

third degree price discrimination

A

different prices are set in different markets (grous)

How well did you know this?
1
Not at all
2
3
4
5
Perfectly
11
Q

market segmentation

A

selection by indicators, seller divides buyers into groups, setting a different price for each group

How well did you know this?
1
Not at all
2
3
4
5
Perfectly
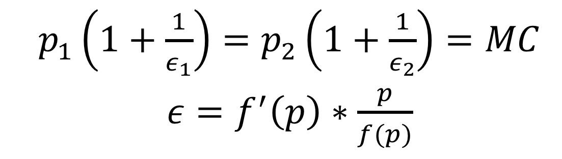
12
Q

Elasticity rule

A

under discrimination by market segmentation, a seller should charge a lower price in those market segments with greater price elasticity

How well did you know this?
1
Not at all
2
3
4
5
Perfectly
13
Q

home bias

A

demand elasticities tend to be lower in the domestic market

domestic goods are more highly valued than foreign goods

How well did you know this?
1
Not at all
2
3
4
5
Perfectly
14
Q

limits of the market segmentation

A
  1. elasticities in each submarket will be very similar to that of the neighbour submarket and you will not get much out of segmentation
  2. elasticities vary a lot across neighbour segments and there will be a resale or arbitrage problems
How well did you know this?
1
Not at all
2
3
4
5
Perfectly
15
Q

self selection

A

the seller indirectly sorts consumers by offering different deals or packages which consumers will choose and self-select according to the group they belong to

How well did you know this?
1
Not at all
2
3
4
5
Perfectly
16
Q

versioning

A

selling several versions of the same product at different prices with different quality or characteristics
high-end consumers buy high-end products and the other way around

How well did you know this?
1
Not at all
2
3
4
5
Perfectly
17
Q

damaged goods

A

extreme form of versioning

firms reduce the quality of some of their products in order to price discriminate

18
Q

incentive constraint

A

way to make sure a high-end consumer has no incentive to go for the deal that is intended for the low-end consumer

19
Q

participation constraint

A

when the price cannot be greater than the low-end consumer’s willingness to pay

20
Q

information surplus

A

the surplus achieved by having information about high-end consumers, and therefore being able to offer the high type

21
Q

bundling or tie-in sales

A

groups of products that are sold together
pure bundling = buyers must purchase the bundle or nothing
mixed bundling = consumers are offered the choice between purchasing the bundle or one of the separate parts

22
Q

durable goods

A

can wait to be bought if their future price is expected to change

23
Q

when selling a durable good, sellers may prefer to commit not to price discriminate over time. In fact, due to “strategic” purchase delays, profits may be lower under price discrimination

A

high-value buyers will wait for prices to lower and therefore profits will decrease

24
Q

coase conjecture

A

the waiting game may unravel to the point that the seller is forced to lower prices from the very beginning

25
non-linear pricing
second degree price discrimination | consists in charging a lower price when buying a second unit
26
two-part tariff
fixed part, which each consumer must pay regardless of quantity purchased and a variable part proportional to the quantity purchased
27
``` if the seller can set a two-part tariff and all consumers have identical demands, then the (variable) price that maximises total profits is the same that maximises total surplus, that is a price equal to (1). Total efficiency (2) but consumer welfare (3) as a result of a nonlinear pricing ```
1. marginal cost 2. increases 3. decreases
28
a monopolist's optimal two-part tariff consists of a positive fixed fee and a variable fee that is (1) than monopoly price. Total surplus is therefore (2) than under uniform pricing
1. lower | 2. greater
29
ascending price auction (English auction)
start at a low price, ask for higher bids and continue until no bidder wants to outbid the highest extant bid
30
descending aution (Dutch)
start with a high price and then gradually decrease it until a bidder makes a sign
31
first-price auction
requires bidders to submit a sealed bid. The highest bid is then selected, and the bidder pays the amount specified in the bid
32
second-price auction
bidders submit sealed bids, the highest bid wins but the price paid by the winning bidder is the second highest bid
33
winner's curse
an outcome in which the winner prevails by submitting a bid that is not only higher than competing bids, but also higher than the true value of the item
34
discriminatory auction
multiple homogeneous products are sold at different prices
35
uniform price auction
a multiunit auction in which a fixed number of identical units of a homogenous commodity are sold for the same price
36
simultaneously ascending auction
in each round, bidders are allowed to submit bids for each project on the block. each new bid must be higher than the previous highest bid plus a minimum increment
37
welfare in price discrimination
total welfare is greater under price discrimination consumer surplus is lower under price discrimination (=0) more consumers are served under price discrimination
38
it may happen that total efficiency decreases as a result of price discrimination
for example if perfect price discrimination is costly, it may be that the gains for the seller do not compensate the losses imposed on consumers
39
prospect theory
consumers like paying a lower price than others, but much more than that they dislike paying a higher price than others
40
Laws against price discrimination (to some extent)
Robinson-Patman Act | Article 102 forbidding the abuse of dominant position