Chapter 7 Algebraic Methods - Year 1 Flashcards

(12 cards)

1
Q

Simplify the following expression?

A
How well did you know this?
1
Not at all
2
3
4
5
Perfectly
2
Q

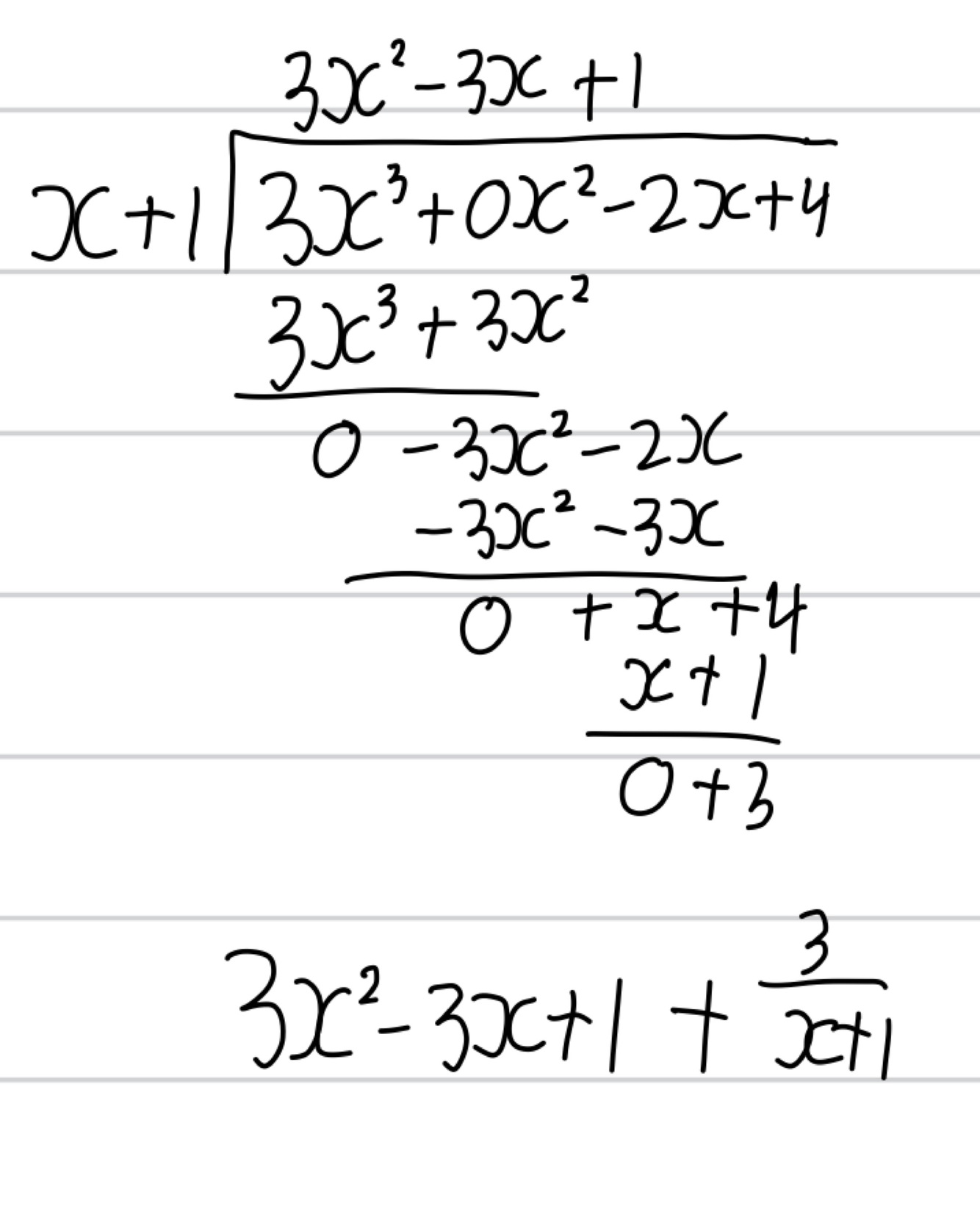
Explain the core consent of algebraic long division?

A

You do the first term divided the x term in the denominator
Then you multiply that number by the whole denominator and write it beneath the original numerator
Then subtract the 2 terms
Bring down the next term
Then repeat the steps

How well did you know this?
1
Not at all
2
3
4
5
Perfectly
3
Q

What else do you need to consider when doing algebraic long division?

A

The x terms need to be in descending powers of x

If there is no x term you need to add in 0x

How well did you know this?
1
Not at all
2
3
4
5
Perfectly
4
Q

Using algebraic long division how do you know if something is a factor?

A

When there is a no remainder (=0)

How well did you know this?
1
Not at all
2
3
4
5
Perfectly
5
Q

What is the trickiest way you would be asked to write a remainder of a algebraic long division question?

A

The divided result + (the remainder / the factor divided by)

How well did you know this?
1
Not at all
2
3
4
5
Perfectly
6
Q

What does the factor theorem allow us to do?

A

Check easily for factors of an equation

How well did you know this?
1
Not at all
2
3
4
5
Perfectly
7
Q

How does the factor theorem work?

A

If you have f(x) and f(p) = then (x-p) is a factor.
If (x+p) is a factor then f(-p) will =0

How well did you know this?
1
Not at all
2
3
4
5
Perfectly
8
Q

Using the factor theorem, how do you show that x+2 is a factor?

A

Substitute -2 in for x nd then show that it =0

How well did you know this?
1
Not at all
2
3
4
5
Perfectly
9
Q

Using the factor theorem how can you factorise an cubic easily?

A

Start checking values
Once you find a value that makes the equation =0 reverse the sign and x+p will be your factor
Then use algebraic long division to work out the remainder and then factorise the quadratic sensibly

How well did you know this?
1
Not at all
2
3
4
5
Perfectly
10
Q

What is a quick tip of how to find factors of cubics using the factor theorem?

A

Look at what it ends in. If it ends in 3 then the factor will likely be 3,6 or 9

Etc

How well did you know this?
1
Not at all
2
3
4
5
Perfectly
11
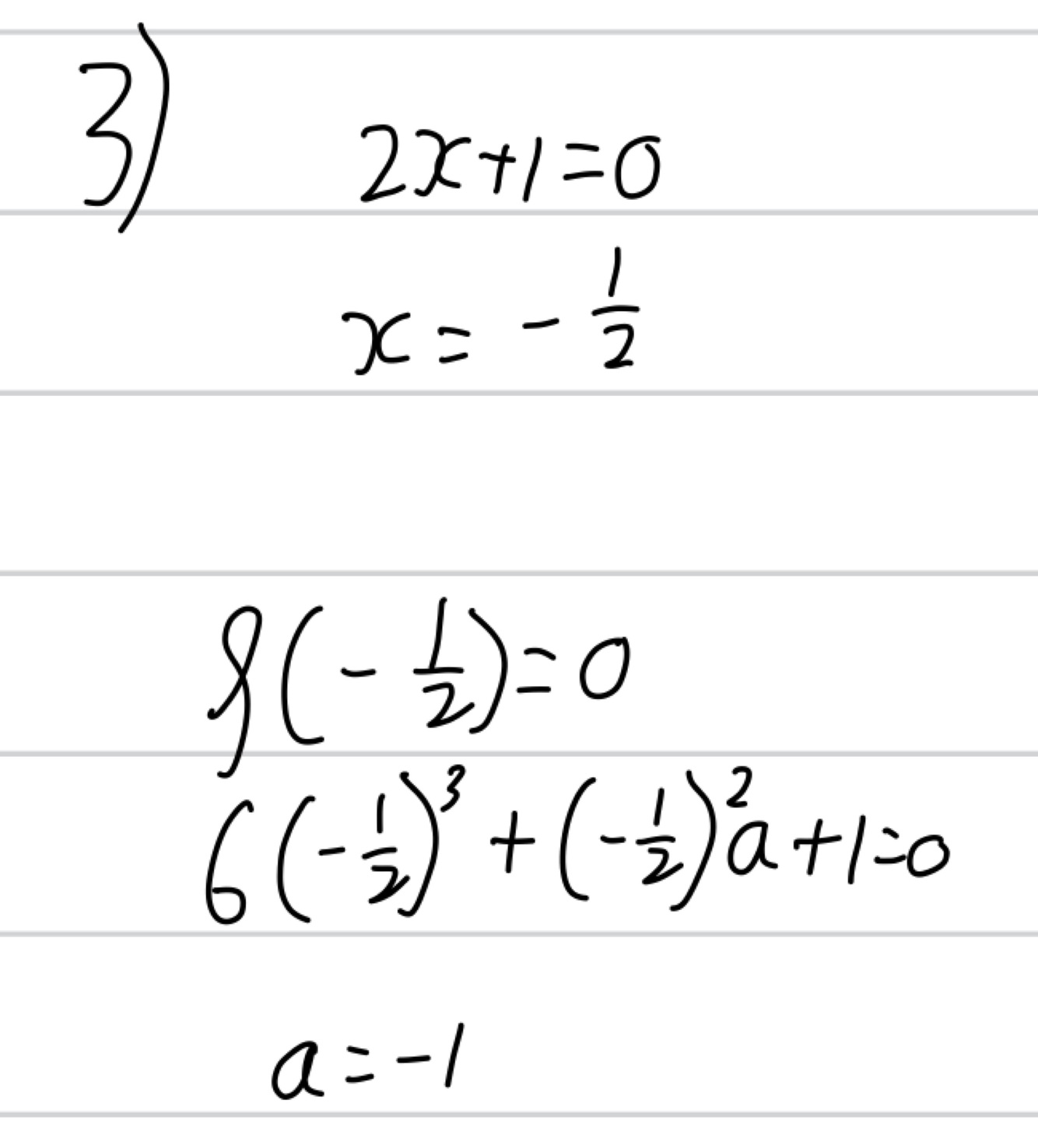
Q

Using the factor theorem, what would you substitute into f(x) to show that (2x-1) is a factor?

A

2x-1=0
x=1/2

1/2

How well did you know this?
1
Not at all
2
3
4
5
Perfectly
12
Q

If you are given a cubic with an unknown in it and you are told a factor how do you find the unknown?

A

Use the factor theorem and substitute the factor in as x (reversed sign) then set the equation =0

Then solve for the unknown

How well did you know this?
1
Not at all
2
3
4
5
Perfectly