Chapter 7: Diffusion- Random Motion At The Molecular Level Flashcards

(27 cards)

1
Q

Define Brownian motion

A

The random process by which molecules move in a solution. It is driven by the thermal energy of the system.

How well did you know this?
1
Not at all
2
3
4
5
Perfectly
2
Q

Define diffusion

A

The net movement of ions or molecules from a region of high concentration to on of lower concentration until evenly distributed.

How well did you know this?
1
Not at all
2
3
4
5
Perfectly
3
Q

Diffusion is an example of _______ transport.

A

Passive

How well did you know this?
1
Not at all
2
3
4
5
Perfectly
4
Q

State Fick’s first law

A

The molecular flux due to diffusion is proportional to the concentration gradient, given an inhomogeneous initial concentration field.

How well did you know this?
1
Not at all
2
3
4
5
Perfectly
5
Q

Give the equation for Fick’s first law

A

D = diffusion coefficient
J = diffusive flux
dc/dx = concentration gradient

How well did you know this?
1
Not at all
2
3
4
5
Perfectly
6
Q

What is the Stoke-Einstein formula?

A

An expression of the diffusion constant, D.

D = diffusion constant
T = temperature
ξ = frictional constant = 6πηa (η = viscosity; a = radius of sphere)
µ = mobility

How well did you know this?
1
Not at all
2
3
4
5
Perfectly
7
Q

Give the equation for Fick’s first law in three dimensions

A

∆c = change in concentration

How well did you know this?
1
Not at all
2
3
4
5
Perfectly
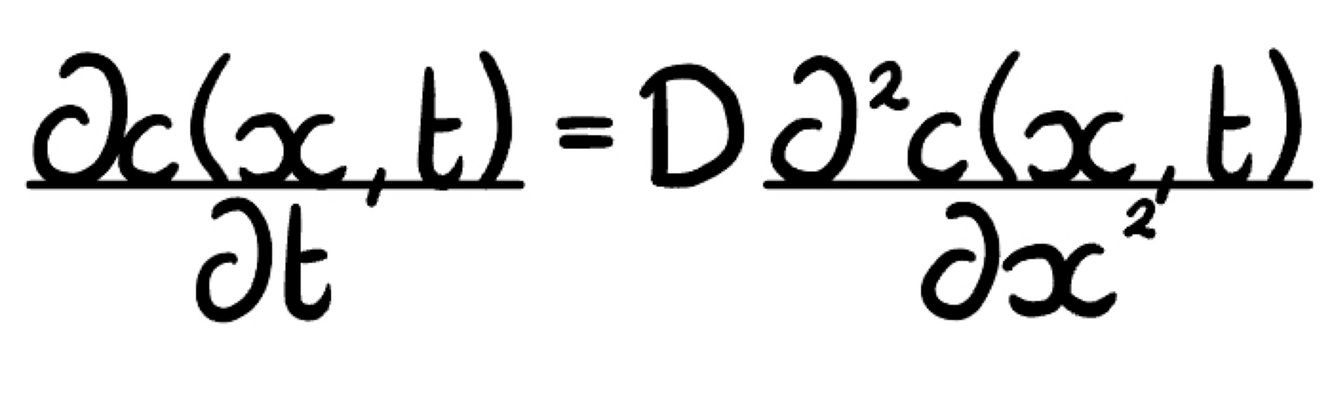
8
Q

State Fick’s second law

A

There is a fundamental connection between the passage of time and the square of the period that diffusion occurs over, given an initial inhomogeneous concentration field.

How well did you know this?
1
Not at all
2
3
4
5
Perfectly
9
Q

Give the equation for Fick’s second law

A

D = diffusion coefficient
t = time

How well did you know this?
1
Not at all
2
3
4
5
Perfectly
10
Q

How can Fick’s second law be solved?

A

The initial conditions and the boundary conditions must be known for the diffusion pathway.

How well did you know this?
1
Not at all
2
3
4
5
Perfectly
11
Q

Give the equation for Fick’s second law in three dimensions

A
How well did you know this?
1
Not at all
2
3
4
5
Perfectly
12
Q

Convert Cartesian coordinates to spherical coordinates

A
How well did you know this?
1
Not at all
2
3
4
5
Perfectly
13
Q

Convert Cartesian unit vectors to spherical unit vectors

A
How well did you know this?
1
Not at all
2
3
4
5
Perfectly
14
Q

What is the Langevin model?

A

A model of molecular motion that assumes that particles in a solution can be represented as having two forces acting on them, a dissipative force due to friction and a random force representing Brownian motion that fluctuates randomly as a function of time. Collisions with other particles due to Brownian motion cause the particle to move in one direction and the drag force acts in the opposite direction to slow the particle down.

How well did you know this?
1
Not at all
2
3
4
5
Perfectly
15
Q

Give the equation for the Langevin model in 1D

A

m = mass of the particle
dv/dt = acceleration of the particle
f(t) = fluctuating random force
v = velocity of the particle

How well did you know this?
1
Not at all
2
3
4
5
Perfectly
16
Q

The random force in the Langevin model fluctuates randomly so there is the ____ probability of it acting from the left or right. Hence the average force is ___.

17
Q

Define time autocorrelation function

A

A concept that is used to analyse and describe the dynamics of a system.

18
Q

What is the velocity autocorrelation function for a system?

A

The average autocorrelation function for all particles, found by taking the product at times t = 0 and later times.

19
Q

Give the equipartition theorem for ideal gas

A

v_rms = root mean square velocity
C(0) = autocorrelation function

20
Q

What is the purpose of the equipartition theorem for an ideal gas?

A

To describe the autocorrelation function for velocity at t = 0.

21
Q

How does the rms velocity change in 3 dimensions?

A

A factor of 3 is added to the is added to the numerator (hence, there is a factor of 3 in the autocorrelation function).

22
Q

What is the velocity autocorrelation function of the Langevin model in 1D?

A

m = mass of the particle
C(t) = velocity autocorrelation function
ξ = frictional constant

23
Q

What is the Green-Kubo relationship?

A

The relationship between the autocorrelation function (integrated from 0 to infinity) and the diffusion constant.

24
Q

Give the equation for the Green-Kubo relationship

A

D = diffusion constant
ξ = frictional constant
m = mass of the particle

25
According to the Green-Kubo relationship, the faster the movement of molecules, the _____ collisions and the ______ the rate of diffusion.
Fewer Faster
26
What is the Green-Kubo relationship also known as?
The fluctuation-dissipation theorem
27
For three dimensional models of the Green-Kubo relationship, the autocorrelation function equals ____ times the diffusion constant, _D.
Three 3D